The Preparation and Characterization of Chitosan-Based Hydrogels Cross-Linked by Glyoxal
Abstract
1. Introduction
2. Materials and Methods
2.1. Chitosan Characterization
2.2. Sample’s Preparation
2.3. Scanning Electron Microscope
2.4. Thermal Properties
2.5. Polyphenol Loading and Release
2.6. Mechanical Properties
2.7. Swelling Properties
2.8. Blood Compatibility
2.9. Dental Culture Studies
3. Results
3.1. Scanning Electron Microscope
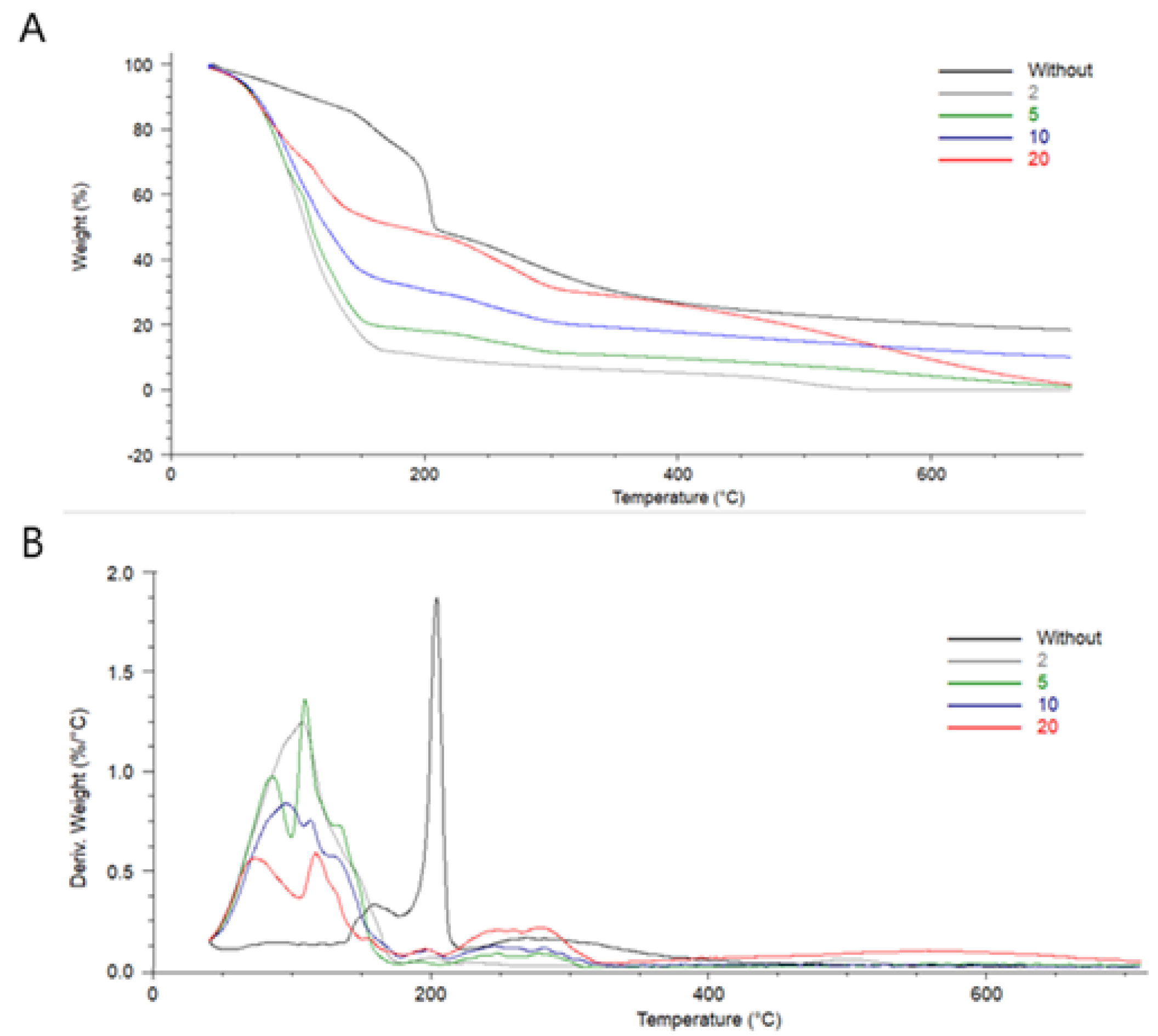
3.2. Thermal Properties
3.3. Polyphenol Loading and Release
3.4. Mechanical Properties
3.5. Swelling Properties
3.6. Blood Compatibility
3.7. Cell Culture Studies
4. Discussion
5. Conclusions
Author Contributions
Funding
Institutional Review Board Statement
Informed Consent Statement
Data Availability Statement
Conflicts of Interest
References
- Smith, R.; Russo, J.; Fiegel, J.; Brogden, N. Antibiotic Delivery Strategies to Treat Skin Infections When Innate Antimicrobial Defense Fails. Antibiotics 2020, 9, 56. [Google Scholar] [CrossRef]
- El-Banna, F.S.; Mahfouz, M.E.; Leporatti, S.; El-Kemary, M.; Hanafy, N.A.N. Chitosan as a Natural Copolymer with Unique Properties for the Development of Hydrogels. Appl. Sci. 2019, 9, 2193. [Google Scholar] [CrossRef]
- Naskar, S.; Sharma, S.; Kuotsu, K. Chitosan-based nanoparticles: An overview of biomedical applications and its preparation. J. Drug Deliv. Sci. Technol. 2019, 49, 66–81. [Google Scholar] [CrossRef]
- Lopes, G.K.; Schulman, H.M.; Hermes-Lima, M. Polyphenol tannic acid inhibits hydroxyl radical formation from Fenton reaction by complexing ferrous ions1. Biochim. Biophys. Acta (BBA) Gen. Subj. 1999, 1472, 142–152. [Google Scholar] [CrossRef]
- Khan, N.S.; Ahmad, A.; Hadi, S. Anti-oxidant, pro-oxidant properties of tannic acid and its binding to DNA. Chem. Interact. 2000, 125, 177–189. [Google Scholar] [CrossRef]
- Wang, L.; Stegemann, J.P. Glyoxal crosslinking of cell-seeded chitosan/collagen hydrogels for bone regeneration. Acta Biomater. 2011, 7, 2410–2417. [Google Scholar] [CrossRef] [PubMed]
- Jawad, A.H.; Norrahma, S.S.A.; Hameed, B.; Ismail, K. Chitosan-glyoxal film as a superior adsorbent for two structurally different reactive and acid dyes: Adsorption and mechanism study. Int. J. Biol. Macromol. 2019, 135, 569–581. [Google Scholar] [CrossRef]
- Gupta, K.; Jabrail, F.H. Glutaraldehyde and glyoxal cross-linked chitosan microspheres for controlled delivery of centchroman. Carbohydr. Res. 2006, 341, 744–756. [Google Scholar] [CrossRef] [PubMed]
- Monier, M.; Ayad, D.; Wei, Y.; Sarhan, A. Preparation of cross-linked chitosan/glyoxal molecularly imprinted resin for efficient chiral resolution of aspartic acid isomers. Biochem. Eng. J. 2010, 51, 140–146. [Google Scholar] [CrossRef]
- Kaczmarek-Szczepańska, B.; Miłek, O.; Michalska-Sionkowska, M.; Osyczka, A.M. Biostudies of scaffolds based on chitosan/tannic acid cross-linked by glyoxal. Mater. Lett. 2021, 292, 129667. [Google Scholar] [CrossRef]
- de Moura, C.M.; de Moura, J.M.; Madeira Soares, N.; de Almeida Pinto, L.A. Evaluation of molar weight and deacetylation degree of chitosan during chitin deacetylation reaction: Used to produce biofilm. Chem. Eng. Process 2011, 50, 351–355. [Google Scholar] [CrossRef]
- Kozlowska, J.; Prus, W.; Stachowiak, N. Microparticles based on natural and synthetic polymers for cosmetic applications. Int. J. Biol. Macromol. 2019, 129, 952–956. [Google Scholar] [CrossRef]
- Agili, F.A.; Aly, S.F.M. Physicochemical characterization and release properties of oral drug delivery: A pH-sensitive nano-composite based on sodium alginate–pectin–tannic acid–silver. Polym. Polym. Comp. 2019, 28, 598–608. [Google Scholar] [CrossRef]
- Madhyastha, H.; Madhyastha, R.; Thakur, A.; Kentaro, S.; Dev, A.; Singh, S.; Chandrashekharappa, B.R.; Kumar, H.; Acevedo, O.; Nakajima, Y.; et al. c-Phycocyanin primed silver nano conjugates: Studies on red blood cell stress resilience mechanism. Colloids Surf. B Biointerfaces 2020, 194, 111211. [Google Scholar] [CrossRef] [PubMed]
- Lyu, Y.; Ren, H.; Yu, M.; Li, X.; Li, D.; Mu, C. Using oxidized amylose as carrier of linalool for the development of antibacterial wound dressing. Carbohydr. Polym. 2017, 174, 1095–1105. [Google Scholar] [CrossRef] [PubMed]
- Zhou, H.Y.; Zhang, Y.P.; Zhang, W.F.; Chen, X.G. Biocompatibility and characteristics of injectable chitosan-based thermo-sensitive hydrogel for drug delivery. Carbohyd. Polym. 2011, 83, 1643–1651. [Google Scholar] [CrossRef]
- Bakkar, M.; Liu, Y.; Fang, D.; Stegen, C.; Su, X.; Ramamoorthi, M.; Lin, L.-C.; Kawasaki, T.; Makhoul, N.; Pham, H.; et al. A Simplified and Systematic Method to Isolate, Culture, and Characterize Multiple Types of Human Dental Stem Cells from a Single Tooth. Breast Cancer 2017, 1553, 191–207. [Google Scholar] [CrossRef]
- Łukowicz, K.; Zagrajczuk, B.; Nowak, A.; Niedźwiedzki, Ł.; Laczka, M.; Cholewa-Kowalska, K.; Osyczka, A.M. The role of CaO/SiO2 ratio and P2O5 content in gel-derived bioactive glass-polymer composites in the modulation of their bioactivity and osteoinductivity in human BMSCs. Mater. Sci. Eng. C 2020, 109, 110535. [Google Scholar] [CrossRef]
- Alemdar, N. Synthesis of chitosan-based hydrogel by using photopolymerization technique. Anadolu Univ. J. Sci. Technol. Appl. Sci. Eng. 2016, 17, 391–400. [Google Scholar] [CrossRef]
- Gierszewska, M.; Ostrowska-Czubenko, J.; Chrzanowska, E. Characteristics of ascorbic acid release from tpp-crosslinked chitosan/alginate polyelectrolyte complex membranes. Prog. Chem. Appl. Chitin Deriv. 2018, XXIII, 76–87. [Google Scholar] [CrossRef]
- Hu, X.; Yan, L.; Wang, Y.; Xu, M. Microwave-assisted synthesis of nutgall tannic acid–based salecan polysaccharide hydrogel for tunable release of β-lactoglobulin. Int. J. Biol. Macromol. 2020, 161, 1431–1439. [Google Scholar] [CrossRef] [PubMed]
- Weber, M.; Steinle, H.; Golombek, S.; Hann, L.; Schlensak, C.; Wendel, H.P.; Avci-Adali, M. Blood-contacting Biomaterials: In vitro evaluation of the hemocompatibility. Front. Bioeng. Biotechnol. 2018, 6, 99. [Google Scholar] [CrossRef]
- Pires, A.L.R.; Motta, L.A.; Dias, A.M.A.; de Sousa, H.C.; Moraes, A.M.; Braga, M.E.M. Towards wound dressings with im-proved properties: Effects of poly(dimethylsiloxane) on chitosan-alginate films loaded with thymol and beta-carotene. Mater. Sci. Eng. C 2018, 93, 595–605. [Google Scholar] [CrossRef] [PubMed]
- Guo, N.; Zhang, L.; Wang, J.; Wang, S.; Zou, Y.; Wang, X. Novel fabrication of morphology tailored nanostructures with Gelatin/Chitosan Co-polymeric bio-composited hydrogel system to accelerate bone fracture healing and hard tissue nursing care management. Process. Biochem. 2020, 90, 177–183. [Google Scholar] [CrossRef]
- Kaczmarek, B.; Mazur, O. Collagen-Based Materials Modified by Phenolic Acids—A Review. Materials 2020, 13, 3641. [Google Scholar] [CrossRef] [PubMed]
- Kaczmarek, B.; Wekwejt, M.; Nadolna, K.; Owczarek, A.; Mazur, O.; Pałubicka, A. The mechanical properties and bactericidal degradation effectiveness of tannic acid-based thin films for wound care. J. Mech. Behav. Biomed. Mater. 2020, 110, 103916. [Google Scholar] [CrossRef]
- Lv, X.; Zhang, W.; Liu, Y.; Zhao, Y.; Zhang, J.; Hou, M. Hygroscopicity modulation of hydrogels based on carboxymethyl chitosan/Alginate polyelectrolyte complexes and its application as pH-sensitive delivery system. Carbohyd. Polym. 2018, 198, 86–93. [Google Scholar] [CrossRef]
- Onaciu, A.; Munteanu, R.A.; Moldovan, C.S.; Berindan-Neagoe, I. Hydrogels Based Drug Delivery Synthesis, Characterization and Administration. Pharmaceutics 2019, 11, 432. [Google Scholar] [CrossRef]
- Kaczmarek, B. Tannic Acid with Antiviral and Antibacterial Activity as A Promising Component of Biomaterials—A Minireview. Materials 2020, 13, 3224. [Google Scholar] [CrossRef]
- Shahidi, F.; Yeo, J. Bioactivities of Phenolics by Focusing on Suppression of Chronic Diseases: A Review. Int. J. Mol. Sci. 2018, 19, 1573. [Google Scholar] [CrossRef]
- Abu Zarin, M.; Wan, H.Y.; Isha, A.; Armania, N. Antioxidant, antimicrobial and cytotoxic potential of condensed tannins from Leucaena leucocephala hybrid-Rendang. Food Sci. Hum. Wellness 2016, 5, 65–75. [Google Scholar] [CrossRef]
- Talón, E.; Trifkovic, K.T.; Vargas, M.; Chiralt, A.; González-Martínez, C. Release of polyphenols from starch-chitosan based films containing thyme extract. Carbohydr. Polym. 2017, 175, 122–130. [Google Scholar] [CrossRef] [PubMed]
- Dadwal, V.; Bhatt, S.; Joshi, R.; Gupta, M. Development and characterization of controlled released polyphenol rich micro-encapsulate of Murraya koenigii bark extract. J. Food Process. Preserv. 2020, 44, 14438. [Google Scholar] [CrossRef]
- Lišková, J.; Douglas, T.E.; Beranová, J.; Skwarczyńska, A.; Božič, M.; Samal, S.K.; Modrzejewska, Z.; Gorgieva, S.; Kokol, V.; Bačáková, L. Chitosan hydrogels enriched with polyphenols: Antibacterial activity, cell adhesion and growth and mineralization. Carbohydr. Polym. 2015, 129, 135–142. [Google Scholar] [CrossRef] [PubMed]
- Liu, J.; Pu, H.; Liu, S.; Kan, J.; Jin, C. Synthesis, characterization, bioactivity and potential application of phenolic acid grafted chitosan: A review. Carbohydr. Polym. 2017, 174, 999–1017. [Google Scholar] [CrossRef]
- Kaczmarek, B.; Miłek, O.; Nadolna, K.; Owczarek, A.; Kleszczyński, K.; Osyczka, A.M. Normal and cancer cells response on the thin films based on chitosan and tannic acid. Toxicol. Vitr. 2020, 62, 104688. [Google Scholar] [CrossRef]
- Hasan, M.M.; Khan, M.N.; Haque, P.; Rahman, M.M. Novel alginate-di-aldehyde cross-linked gelatin/nano-hydroxyapatite bioscaffolds for soft tissue regeneration. Int. J. Biol. Macromol. 2018, 117, 1110–1117. [Google Scholar] [CrossRef]
- Zhang, W.; Ling, C.; Liu, H.; Zhang, A.; Mao, L.; Wang, J.; Chao, J.; Backman, L.J.; Yao, Q.; Chen, J. Tannic acid-mediated dual peptide-functionalized scaffolds to direct stem cell behavior and osteochondral regeneration. Chem. Eng. J. 2020, 396, 125232. [Google Scholar] [CrossRef]
- Liu, J.; Zhao, Z.; Ruan, J.; Weir, M.D.; Ma, T.; Ren, K.; Schneider, A.; Oates, T.W.; Li, A.; Zhao, L.; et al. Stem cells in the periodontal ligament differentiated into osteogenic, fibrogenic and cementogenic lineages for the regeneration of the periodontal complex. J. Dent. 2020, 92, 103259. [Google Scholar] [CrossRef] [PubMed]
- Wescott, D.; Pinkerton, M.; Gaffey, B.; Beggs, K.; Milne, T.; Meikle, M. Osteogenic Gene Expression by Human Periodontal Ligament Cells under Cyclic Tension. J. Dent. Res. 2007, 86, 1212–1216. [Google Scholar] [CrossRef]











| Specimen | Tmax (1) [°C] | Tmax (2) [°C] | Tmax (3) [°C] |
|---|---|---|---|
| Without | 159.33 | 203.80 | 268.95 |
| 2 | 107.21 | 200.52 | - * |
| 5 | 83.53 | 109.21 | 277.20 |
| 10 | 94.30 | 198.58 | 281.88 |
| 20 | 117.02 | 195.90 | 278.84 |
| Polyphenol Solution [%] | Zero-Order | First-Order | Higuchi | Ritger–Peppas | |||||
|---|---|---|---|---|---|---|---|---|---|
| k0 | R2 | k0 | R2 | k0 | R2 | k0 | R2 | n | |
| 2 | 0.0109 | 0.9213 | 0.0261 | 0.9331 | 0.1514 | 0.9942 | 0.6502 | 0.9611 | 0.6890 |
| 5 | 0.0118 | 0.9256 | 0.0269 | 0.9381 | 0.1531 | 0.9934 | 0.6513 | 0.9625 | 0.7011 |
| 10 | 0.0122 | 0.9209 | 0.0275 | 0.9405 | 0.1533 | 0.9957 | 0.6530 | 0.9604 | 0.7288 |
| 20 | 0.0125 | 0.9241 | 0.0281 | 0.9497 | 0.1542 | 0.9908 | 0.6538 | 0.9617 | 0.7301 |
| Polyphenol Solution [%] | Hemolysis Rate [%] |
|---|---|
| Without | 63.84 ± 3.80 |
| Without/washed | −0.10 ± 0.09 |
| 2 | −0.09 ± 0.07 |
| 5 | −0.12 ± 0.11 |
| 10 | −0.16 ± 0.08 |
| 20 | −0.21 ± 0.15 |
Publisher’s Note: MDPI stays neutral with regard to jurisdictional claims in published maps and institutional affiliations. |
© 2021 by the authors. Licensee MDPI, Basel, Switzerland. This article is an open access article distributed under the terms and conditions of the Creative Commons Attribution (CC BY) license (https://creativecommons.org/licenses/by/4.0/).
Share and Cite
Kaczmarek-Szczepańska, B.; Mazur, O.; Michalska-Sionkowska, M.; Łukowicz, K.; Osyczka, A.M. The Preparation and Characterization of Chitosan-Based Hydrogels Cross-Linked by Glyoxal. Materials 2021, 14, 2449. https://doi.org/10.3390/ma14092449
Kaczmarek-Szczepańska B, Mazur O, Michalska-Sionkowska M, Łukowicz K, Osyczka AM. The Preparation and Characterization of Chitosan-Based Hydrogels Cross-Linked by Glyoxal. Materials. 2021; 14(9):2449. https://doi.org/10.3390/ma14092449
Chicago/Turabian StyleKaczmarek-Szczepańska, Beata, Olha Mazur, Marta Michalska-Sionkowska, Krzysztof Łukowicz, and Anna Maria Osyczka. 2021. "The Preparation and Characterization of Chitosan-Based Hydrogels Cross-Linked by Glyoxal" Materials 14, no. 9: 2449. https://doi.org/10.3390/ma14092449
APA StyleKaczmarek-Szczepańska, B., Mazur, O., Michalska-Sionkowska, M., Łukowicz, K., & Osyczka, A. M. (2021). The Preparation and Characterization of Chitosan-Based Hydrogels Cross-Linked by Glyoxal. Materials, 14(9), 2449. https://doi.org/10.3390/ma14092449

