Abstract
A novel and promising hydrogel drug delivery system (DDS) capable of releasing 5‑fluorouracil (5-FU) in a prolonged and controlled manner was obtained using ε‑caprolactone‑poly(ethylene glycol) (CL-PEG) or rac‑lactide-poly(ethylene glycol) (rac‑LA-PEG) copolymers. Copolymers were synthesized via the ring-opening polymerization (ROP) process of cyclic monomers, ε‑caprolactone (CL) or rac-lactide (rac-LA), in the presence of zirconium(IV) octoate (Zr(Oct)4) and poly(ethylene glycol) 200 (PEG 200) as catalyst and initiator, respectively. Obtained triblock copolymers were characterized by nuclear magnetic resonance (NMR) and gel permeation chromatography (GPC) techniques; the structure and tacticity of the macromolecules were determined. The relationship between the copolymer structure and the reaction conditions was evaluated. The optimal conditions were specified as 140 °C and 24 h. In the next step, CL-PEG and rac-LA-PEG copolymers were chemically crosslinked using hexamethylene diisocyanate (HDI). Selected hydrogels were subjected to in vitro antitumor drug release studies, and the release data were analyzed using zero-order, first-order, and Korsmeyer-Peppas mathematical models. Controlled and prolonged (up to 432 h) 5-FU release profiles were observed for all examined hydrogels with first-order or zero-order kinetics. The drug release mechanism was generally denoted as non-Fickian transport.
1. Introduction
Tumors are the diseases that have most affected human health in recent years. According to WHO statistics, cancer is the second leading cause of death worldwide and is responsible for an estimated 9.6 million deaths in 2018. Globally, approximately one in six deaths is due to cancer. Every year, the number of people who died from tumors has risen significantly. It is possibly due to an aging population and changes in the living environment and daily habits. The most common cancers are lung, breast, colorectal, prostate, skin cancer (non-melanoma), and stomach. In turn, the most common causes of cancer death are: lung, colorectal, stomach, liver, and breast cancers [1].
5-FU (5-fluoropyrimidine-2,4-[1H,3H]-dione) is a cytotoxic drug from the group of antimetabolites [2,3,4]. 5-FU has a broad spectrum of anti-cancer activity. It is used both in monotherapy and in combined therapy of malignant neoplasms, primarily colon, rectal, breast, stomach, pancreatic or skin cancer, and in Bowen’s disease or other precancerous conditions [5,6].
Although intravenous infusion is the most widely used form of 5-FU, numerous attempts are being made to develop alternative dosage forms of this drug. Among them, the most common are polymeric innovative drug delivery systems, such as implants [7,8], microspheres [9,10,11], nanoparticles [12,13,14], macromolecular prodrugs [15,16], or hydrogels [17,18,19,20]. The use of such solutions is mainly aimed at enabling targeted therapy, limiting the biodistribution of the active drug to the target tissue only and reducing its systemic concentration. This strategy increases the effectiveness of treatment and reduces side effects. The desirable characteristics of drug delivery systems (DDSs) are sustained and controlled release profiles, which increase the efficacy and safety of therapy and also enhance patient comfort and compliance [20]. In addition, special efforts are being made to achieve release kinetics as close as possible to zero-order kinetics.
Hydrogels are one of the kinds of prospective anti-cancer drug carriers. Owing to the unique properties of hydrogels, researchers have made significant progress in tumor model reconstruction, tumor diagnosis, and therapy. Notably, hydrogel-based systems can be adjusted to respond to cancer-specific hallmarks and/or external stimuli (e.g., enzyme, antigen, heat, pH, light, and ultrasound). In addition, a hydrogel carrier can cause less serious side effects than systemic chemotherapy and may result in a sustained delivery of the drug at tumor sites. Furthermore, hydrogels have excellent biocompatibility and biodegradability and low toxicity [21].
One of the key stages of hydrogel formation is crosslinking, which can be physical or due to the chemical reactions, creating interactions between the gel-forming macromolecules [21,22,23,24]. Among the polymers used in the hydrogel technology, both natural and synthetic materials are used. Natural polymers, although commonly used as gel-forming materials, are difficult to process and have worse mechanical properties than synthetic ones [25]. However, special attention should be given to the biodegradability and biocompatibility of these systems when used as biomedical devices.
Nowadays, very extensive research is being conducted on the use of hydrogel matrices as DDSs, including antitumor drugs. Hydrogels are capable of releasing hydrophilic and hydrophobic drugs; also, gel-forming macromolecules serve as solubilizers for insoluble substances. There are few major strategies for obtaining hydrogel DDSs. It is possible to simply dissolve the drug into a polymer solution to form a drug-loaded hydrogel; the drug can be loaded into self-forming micelles of macromolecules [26]. The other strategy is to create chemically bonded macromolecular prodrugs capable of forming hydrogels in aqueous media [27]. On the other hand, there are some developments when the hydrophobic active substances are loaded into special carriers (e.g., nanoparticles) and subsequently incorporated into a gel-forming matrix [25].
So far, numerous 5-FU hydrogel delivery systems have been established. Among them, there are developments such as hydrogels [28,29], injectable hydrogels [26], nanogels [18], and smart hydrogels sensitive to various stimuli [27,30], which seem to be promising carriers of antitumor drugs. However, due to the hydrophilic properties of 5-FU, one of the major problems associated with 5‑FU‑releasing hydrogels are relatively rapid drug release with not zero-order kinetics. In addition, some of these systems are not biodegradable, which is a serious drawback in biomedical applications [31,32]. In recent years, biodegradable and biocompatible polymers of cyclic esters [33,34], such as ε‑caprolactone (CL), rac-lactide (rac-LA), L,L-lactide (LL-LA), or glycolide (GA), are extensively studied in various biomedical applications, including hydrogel drug delivery systems releasing antitumor drugs. Hydrogels as 5-FU DDSs are defined in the literature, but reports on biodegradable, especially triblock CL-PEG (glycol polyethylene) and LA-PEG copolymers such as 5-FU hydrogel DDSs are limited. To date, reports on these materials are mainly based on physically crosslinked matrices, which allow the rapid drug release and following first-order kinetics; burst release was also observed [35,36]. The synthesis of CL-PEG and LA-PEG copolymers is usually carried out via ROP reaction, using a stannous octoate (Sn(Oct)2) as catalyst. However, zirconium-based catalysts have a reduced toxicity when compared to Sn(Oct)2; they are described as inert and eliminated with urine and bile [37].
In this study, we report the synthesis of novel hydrogels as potential carriers of a hydrophilic antitumor agent; 5-FU has been used as a model drug. The goal of the research was to develop an alternative antitumor DDS capable of releasing 5-FU in a prolonged and controlled manner with reduced burst release. Hydrogels have been obtained from copolymers of CL (or rac-LA) and PEG, which have been chemical crosslinked with 1,6‑diisocyanatohexane (HDI). The copolymers have been synthesized via the ring-opening polymerization (ROP) process in the presence of stannous zirconium (Zr(Oct)4) as catalyst. The resulting crosslinking polymers were tested to release 5-FU from them. The rate of drug release from the synthesized DDSs has been analyzed in vitro. It is suspected that the obtained hydrogels will show prolonged and controlled drug release profiles, and the release kinetics will be close to zero order.
2. Materials and Methods
2.1. Materials
ε‑Caprolactone (2‑Oxepanone, CL, 99%, Aldrich, Poznan, Poland), 3,6‑dimethyl‑1,4‑dioxane‑2,5‑dione (rac‑lactide, rac‑LA, 99%, Sigma-Aldrich, Poznan, Poland), zirconium(IV) 2‑ethylhexanoate (zirconium octoate, Zr(Oct)4, Sigma‑Aldrich, Poznan, Poland), toluene (99.8%, POCh, Gliwice, Poland), hydrochloric acid (HCl, ChemPur, Piekary Slaskie, Poland), stannous 2‑ethylhexanoate (stannous octoate, Sn(Oct)2, 95 %, Aldrich, Poznan, Poland), dichloromethane (DCM, CH2CL2, ≥99.8%, POCh, Gliwice, Poland), 1,6‑diisocyanatohexane (hexamethylene diisocyanate, HDI, 98%, Aldrich, Poznan, Poland), poly(ethylene glycol) 200 (PEG 200, pure, Fluka, Warsaw, Poland), poly(ethylene glycol) 600 (PEG 600, pure, Fluka, Warsaw, Poland), 5‑fluorouracil (5-FU, 99%, TCI, Zwijndrecht, Belgium), phosphate-buffered saline (PBS, pH 7.00 ± 0.05, ChemPur, Piekary Slaskie, Poland), and trifluoroacetic acid (TFA, 99%, Sigma-Aldrich, Poznan, Poland) were used as received.
2.2. NMR Data
The 1H NMR spectrum of CL-PEG: 1.38 ppm (‑O‑CH2-CH2-CH2-CH2-CH2-), 1.65 ppm (-O-CH2-CH2-CH2-CH2-CH2-), 2.31 ppm (-O(O)C-CH2-CH2-CH2-CH2-CH2-), 3.65 ppm (-O-CH2-CH2-) from PEG mers and (‑CH2‑CH2-CH2-CH2-CH2-OH end groups), 4.06 ppm (-O-CH2-CH2-CH2-CH2-CH2-) and 4.23 ppm (-O-CH2-CH2-O(O)C-CH2-CH2-CH2-CH2-CH2-). The 13C NMR spectrum of CL-PEG: 24.7 ppm (-O(O)C-CH2-CH2-CH2-CH2-CH2-), 25.6 ppm (-O(O)C-CH2-CH2-CH2-CH2-CH2‑), 28.4 ppm (-O-CH2-CH2-CH2-CH2-CH2-), 34.2 ppm (-O(O)C-CH2-CH2-CH2-CH2-CH2-), 64.2 ppm (-O-CH2-CH2-CH2-CH2-CH2-), 70.6 ppm (-O-CH2-CH2-O-), and 173.6 ppm (-O(O)C-CH2-CH2-CH2-CH2-CH2-).
The 1H NMR spectrum of rac‑lactide-poly(ethylene glycol) (rac-LA-PEG): 1.57 ppm (-O(O)C-CH(CH3)-), 3.63 ppm (‑O‑CH2‑CH2‑O‑), 4.29 ppm (-O(O)C-CH(CH3)-OH end group), and 5.17 ppm (‑O(O)C-CH(CH3)-). 13C NMR spectrum of rac-LA-PEG: 16.7 ppm (-O(O)C-CH(CH3)-), 69.0 ppm (-O(O)C-CH(CH3)-), 70.5 ppm (‑O‑CH2‑CH2‑O‑) and 169.3 ppm (-O(O)C-CH(CH3)-). 13C NMR signals used for microstructure analysis: 69.14 ppm (sis, iii, iis, sii tetrads), 69.31 ppm (isi, iss tetrads), 69.45 ppm (sss tetrads), 69.55 ppm (ssi tetrads).
2.3. Synthesis of Copolymers CL, LA and PEG
First, 1.0 mL CL or 1.0 g rac-LA were placed into 10 mL glass ampoules under argon atmosphere, and 1.0 mL of toluene was added. In the next step, catalyst Zr(Oct)4 and initiator (PEG 200) were added. Monomer/initiator and initiator/catalyst ratios were constant and equal to 100:1 and 2:1, respectively. The tubes were sealed and thermostated in an oil bath by 24–48 h, and the temperatures was in the range of 60–80 °C. In the other process, polymerization was carried out in melt, and the temperature range was 100–160 °C.
When the reaction was completed, the cooled product was dissolved in DCM and extracted with 5% hydrochloric acid (HCl) and distilled water. Subsequently, the organic phase was evaporated, and the final product was dried in a vacuum to isolate the powder or oil polymer.
The process scale was extended, and the reaction was conducted using 5.0 g or 5.0 mL of monomer, when the synthesis parameters (24 h, 140 °C) were optimized.
In addition, CL‑PEG and rac-LA‑PEG copolymers were synthesized within 1–4 h to evaluate polymerization kinetics at the beginning of the reaction.
2.4. Preparation of Hydrogels
Hydrogels have been prepared by chemical crosslinking with HDI. The reaction was carried out in an open system. A beaker was placed in a 70 °C oil bath equipped with a thermometer, filled with a calculated amount of PEG 600, and left for 20 min to equalize the temperature. Subsequently, 0.5 g of copolymer was added, and a catalytic amount of Sn(Oct)2 was added dropwise after 20 min. After 5 min, the solution was combined with HDI and left in 70 °C for 24 h.
2.5. In Vitro Studies of 5-FU Release from Hydrogels
2.5.1. 5‑FU Loading
5-FU was loaded to the hydrogel matrices by physical mixing due to the following procedure. Around 5.0 % (m/m) of 5-FU was added to the crosslinked hydrogel sample and mixed with DCM to suspend the 5-FU and dissolve the matrix. The mixture was dried in vacuum at room temperature to obtain a drug-loaded hydrogel film.
2.5.2. 5-FU Release Studies
In vitro 5-FU release experiments were performed in 37 °C with PBS exchange. Vials containing hydrogel films were filled with 4.0 mL of PBS buffer (pH 7.00 ± 0.05), sealed, and left in 37 °C for 2 h. Then, the solution was removed for further testing and replaced with fresh PBS. Subsequent samples were obtained at selected intervals. Release studies have been conducted for 600 h.
2.6. Measurements
2.6.1. Structural Analysis
The synthesized copolymers structure, PEG content, and microstructure (rac-LA-PEG) were characterized using 1H and 13C NMR techniques (Varian 300 MHz, Palo Alto, CA, USA). The spectra were registered in CDCl3 and DMSO-d6. The 1H spectra were recorded under following conditions: 300 MHz, 1 s repetition time, 2 s acquisition time, 32, 64 or 128 scans. 13C: 75.4 MHz, 5 s repetition time, 1.4 s acquisition time, 20,000 scans per each spectrum. The percentage molar amount of PEG in a copolymer chain was estimated using the following formulas:
For CL-PEG:
For rac‑LA‑PEG:
Transesterification coefficient (T) was determined with the 13C NMR spectra of rac‑LA‑PEG copolymers.
The average molecular weight and molecular weight distribution were determined on a LabAlliance gel permeation chromatograph equipped with Jordi Gel DVB mixed bed (250 mm × 10 mm) column and refractive detector, using chloroform as solvent. The flow rate was 1 mL/min. The average molecular weights were calibrated with polystyrene standards.
Acute toxicity of the obtained copolymers was determined with Spirotox and Microtox tests, using luminometer Microtox M500 (ModernWater, New Castle, PA, USA).
Crosslinked hydrogels were tested for the water absorption abilities. Approximately 0.5 g of polymer was placed in a 10 mL beaker and dissolved in DCM. Subsequently, the solvent was evaporated and the mass of the polymer film obtained was calculated. Afterwards, 4.0 mL of water was applied and left at room temperature for 7 days. In the next step, the unabsorbed amount of water was decanted, the residue mass was determined, and the percentage of water absorption ability was calculated.
2.6.2. HPLC Analysis
Preliminary 5‑FU determination conditions were developed using a Dionex system consisting of a pump type 7580, Jetstream II Plus (WO Industrial Electronics, Vienna, Austria) thermostat, DAD-detector UVD 340S. A pre-column Phenomenex C‑18 4 mm × 3 mm and column Phenomenex Luna C‑18 25 cm × 4.6 mm (particle size 5 µm) were used. The analytical wavelength was 266 nm according to the literature [38]. The mobile phase was composed of solvent A (H2O + 0.1% TFA) and solvent B (acetonitrile (ACN) + 0.1% TFA), and the gradient conditions were described in Table S1 (Supplementary Materials).
Column temperature was 35 °C, the injection volume was 20 µL, and the flow rate was 1.0 mL/min. The described method was moved to a Hitachi Chromaster system consisting of a pump type 5160, thermostat 5310, DAD-detector UVD 5430, and autosampler model 5260. The method was validated, and the concentrations of 5‑FU were determined.
2.7. Mathematical Models for 5‑FU Release Studies
The release data points were subjected to zero-order and first-order kinetics and Higuchi and Korsmeyer–Peppas models. Calculations were made on the basis of formulas:
Zero-order model:
First-order model:
Korsmeyer–Peppas model:
where F is the fraction of 5-FU released up to time (t), F0 is the initial concentration of 5-FU, k is the constant of the mathematical models, and n is the exponent of the Korsmeyer–Peppas model [39].
3. Results and Discussion
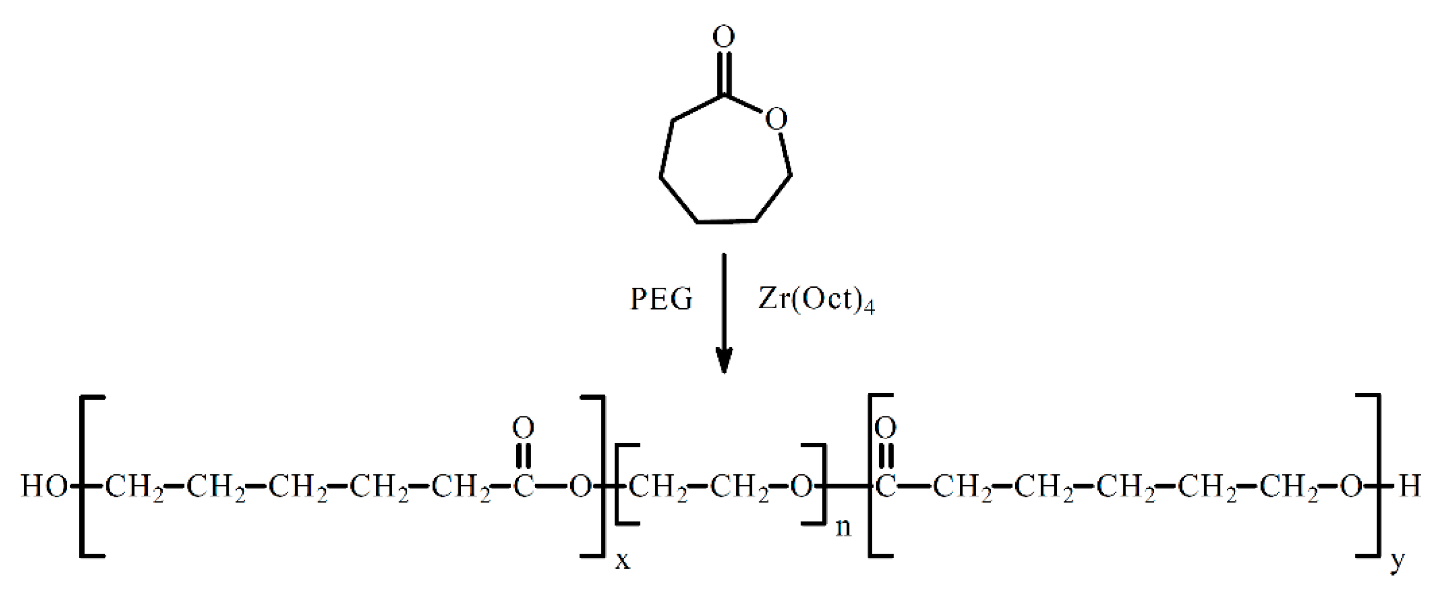
The goal of this research was to obtain polyester-based hydrogels as 5-FU carriers. The hydrogels were synthesized by two steps. Firstly, ROP of CL (or rac-LA) and PEG was carried out with Zr(Oct)4 as a catalyst (Scheme 1).
Scheme 1.
Ring-opening polymerization of ε‑caprolactone (CL) using zirconium(IV) octoate (Zr(Oct)4) and poly(ethylene glycol) 200 (PEG 200).
Table 1.
Copolymerization of CL and PEG in the presence of Zr(Oct)4.
Table 2.
Copolymerization of rac-lactide (rac-LA) and PEG in the presence of Zr(Oct)4.
The Mn of the synthesized copolymers of CL-PEG was in the range of 2800–13,600 g/mol, depending on the reaction parameters and method of synthesis; the dispersity index (Đ) varied from 1.49–2.42. For the reactions carried out in toluene, it has been found that the increase in reaction time and temperature increases both Mn and Đ. The reproducibility of the process was satisfactory, the differences in these parameters for two samples synthesized under the same conditions being 200 g/mol and 0.04, respectively. Similar relationships were observed for the synthesis carried out in bulk, but the Mn and Đ values were higher than those in toluene. We assume that these parameters do not depend on the synthesis method but are related to the higher temperatures used for the reactions in bulk.
In turn, the Mn of the copolymers of rac-LA-PEG was in the range of 2300–11,700 g/mol with Đ ranged from 1.62 to 2.64. It is presumed that high Đ values are associated with high temperature and a long reaction time. It was noted that the increase in these parameters increases Đ. It is suspected that at high temperatures, the propagation rate is much higher than the initiation rate of the polymerization process, and the prolonged reaction time exacerbates this effect. Elevated Đ values were noted for another zirconium-based catalyst when the reaction was carried out under similar conditions [40]. For the reaction carried out in optimized conditions (140 °C, 24 h), the Đ values were acceptable. It has been found that Mn of these copolymers is slightly lower when compared to CL-PEG copolymers and the Đ is higher, although the overall results are similar. The major observed difference between two methods of synthesis is correlated with the reaction yield. The process conducted in toluene showed very low efficiency, so bulk-method synthesis was considered as a preferred method, providing the optimum product with desired yield.
The structure of the CL-PEG and rac-LA-PEG copolymers was analyzed by 1H or 13C NMR. The characteristic signals observed on the spectra confirmed the structure of obtained copolymers. 1H and 13C NMR spectra of CL‑PEG and rac-LA-PEG copolymers are shown in Figures S1–S4 (Supplementary Materials).
The microstructure of rac-LA-PEG copolymers was evaluated by 13C NMR spectra with the tetrads distribution (for the methine carbon) (Figure 1). When the intermolecular transesterification process does not occur during ROP, the resonance lines, due to iss, sss, and ssi tetrads, have not been observed in the methine region. The values of transesterification coefficient (T) were determined from the proportion of iss tetrad using Bernoullian statistics. The experimental isi relative weight can essentially vary from 0.125 (random linkage of lactyl units) to 0.25 (Bernoullian addition of pairs). It is known that the T values vary from 0 to 1, and in a stereoselective process, the upper limit related to the isi tetrad relative weights is higher [41].
Figure 1.
The 13C NMR spectrum of rac‑lactide-poly(ethylene glycol) (rac-LA-PEG) microstructure analysis (in CDCl3).
The T values observed for rac-LA-PEG copolymers synthesized in toluene ranged from 0.72 to approximately 1 (Table 2). The increase in temperature and time of the process has been observed to minimize the transesterification coefficient. It is assumed that in the conditions mentioned, the rate of polymerization is higher than the rate of transesterification reactions, and hence, the observed T values are lower. When polymerization has been done under bulk conditions, the dependences are slightly different. The T value tends to be independent of time and temperature (up to 140 °C) and ranges from 0.32 to 0.72. As the reaction temperature reaches 160 °C, the effect becomes significant and the T value increases. What is significant is that the transesterification coefficients for bulk reactions are evidently lower compared to the toluene process; therefore, this method of synthesis was considered to be preferred. However, all synthesized rac-LA-PEG copolymers have significant T values; thus, their microstructure must be defined as atactic. Since intense transesterification takes place, no conclusions can be made on the stereoselectivity of Zr(Oct)4 as an ROP catalyst. However, it can be concluded that the catalyst system (in certain monomer/co-initiator and co-initiator/catalyst molar ratios) promotes the occurrence of a transesterification side reactions.
In the next step of our study, the CL-PEG and rac-LA-PEG copolymers were obtained in a larger scale (Table 3).
Table 3.
Synthesis of ε‑caprolactone‑poly(ethylene glycol) (CL-PEG) and rac-LA-PEG copolymers in a larger scale.
Optimal process conditions were defined as 140 °C and 24 h, and bulk-method synthesis was considered to be preferred. Under these conditions, the co-initiator content in the macromolecules was the lowest, and the reaction continued with the optimum yield. In addition, the rac-LA-PEG copolymers were distinguished by a low T factor.
Cytotoxic studies of the synthesized copolymers have been carried out (Table 4). It has been found that CL-PEG and rac-LA-PEG copolymeric matrices are not toxic to all test bionts, because the sample is considered to be toxic when the percent of the toxicity effect (PE) is greater than 20.
Table 4.
Cytotoxicity of the obtained copolymers.
In the further step, hydrogels were obtained from the synthesized CL-PEG and rac‑LA-PEG copolymers, which were cross-linked with HDI. Sn(Oct)2 was used as polyaddition catalysts. The crosslinking reaction parameters are shown in Table 5.
Table 5.
Crosslinking reaction parameters.
Finally, hydrogel DDSs of 5-FU have been obtained by the incorporation method. The mean weight of the developed devices was about 500 mg, corresponding to approximately 20 mg of 5-FU (5-FU content was adjusted to about 5%).
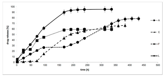
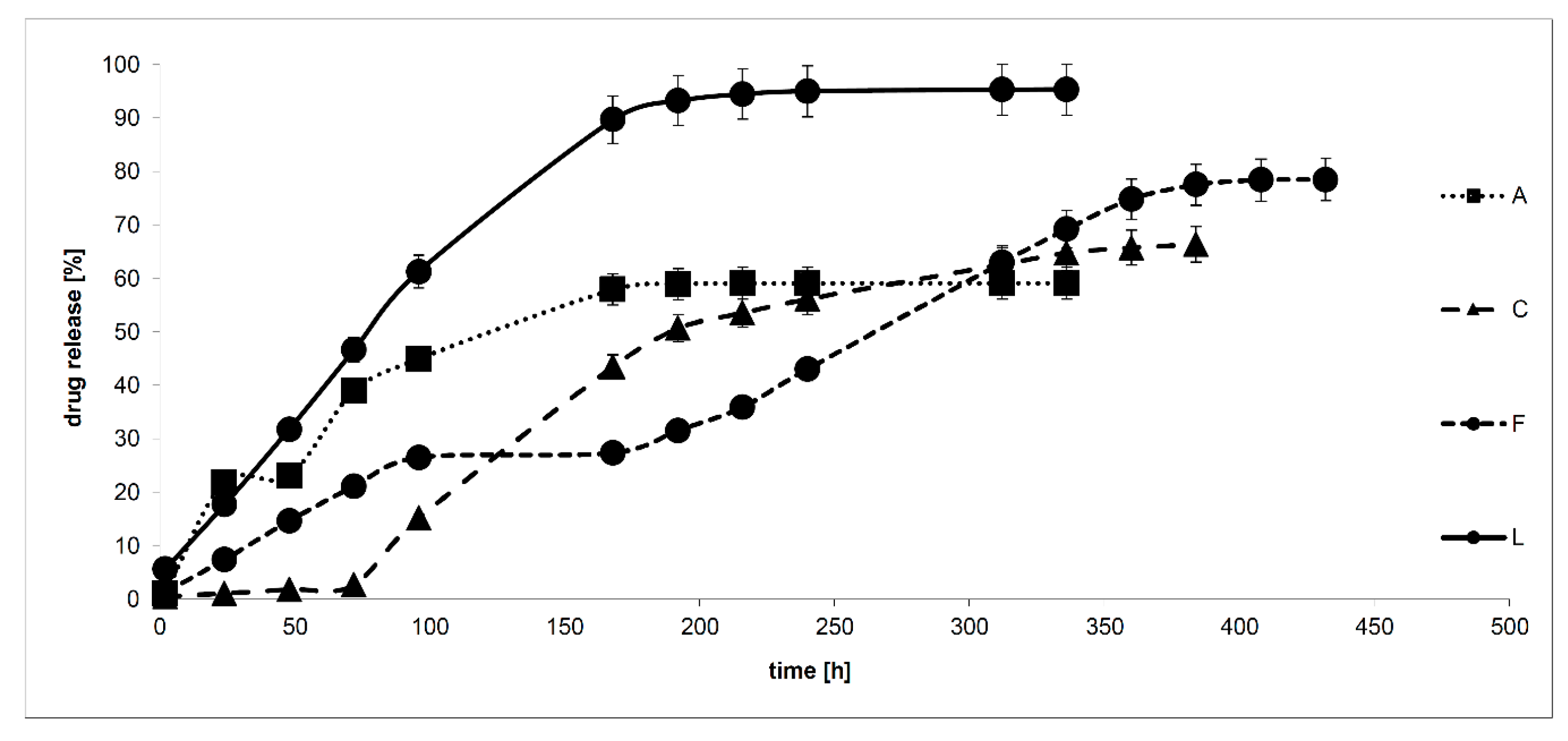
The kinetic release of 5-FU from the synthesized hydrogel devices A, C (CL-PEG-HDI), and F, L (rac‑LA-PEG-HDI) was determined at pH 7.0 ± 0.05 and 37 °C for 600 h (Figure 2). The samples for drug release kinetics evaluation were selected based on the copolymer type and water-absorption capacity of the crosslinked matrices. The ordinate of the plot was calculated based on the cumulative amount of drug released.
Figure 2.
5‑fluorouracil (5-FU) release profile from the CL-PEG-HDI and rac-LA-PEG-HDI hydrogels. HDI: hexamethylene diisocyanate.
CL-PEG-HDI matrices (A, C) showed prolonged drug release profiles, up to 336 and 384 h for A and C, respectively. After 2 h of the experiment, the 5-FU cumulative release was about 1%. Subsequently, for the A matrix, the release rate increased significantly up to 22% after 24 h, reaching plateau after 168 h (59% of 5‑FU was released at this time). In the case of the C matrix, the release rate remained constant up to 72 h and then increased rapidly to 51% after 192 h. After 334 h of the experiment, the cumulative 5-FU release was 66%.
Cumulative release plots for rac‑LA-PEG-HDI matrices (F, L) reveal more controlled and closer to zero-order kinetic drug release profiles. The release rate appears to have been maintained throughout the experiment and decreased slightly after 360 h for the F matrix. The cumulative drug release rate was 78% after 432 h of incubation. A similar release profile was observed for the L matrix, but in this case, the release rate was 61% after 96 h compared to 27% for the F matrix. The drug release rate was maintained up to 192 h when the cumulative release rate reached plateau after 192 h (93% of 5-FU was released at that time).
It was observed that an increase in HDI/polymer and PEG 600/polymer ratios generally increased the release rate for rac‑LA-PEG-HDI hydrogels. Higher PEG 600 content increases the hydrophilicity of the hydrogel, which increases the water absorption capacity, facilitates the penetration of water molecules into the inner layers of the hydrogel, and elevates the release rate of the hydrophilic 5-FU. Although, when the HDI/polymer and PEG 600/polymer ratios were lower, the drug release kinetics became closer to zero-order kinetics, as it was observed for F (zero-order kinetics) and L (first-order kinetics) hydrogels. It is presumed that in the studied case, the decrease in HDI and PEG 600 content increase the significance of erosive release mechanisms with a simultaneous decrease in the amount of diffusion mechanisms, which was confirmed by the n values from the Korsmeyer–Peppas model (0.741 for zero-order F hydrogel, compared to 0.601 first-order L hydrogel). For rac‑LA-PEG-HDI hydrogels, the significant effect of HDI/polymer and PEG 600/polymer ratios was not observed.
The 5-FU release data points were subjected to a zero-order, first-order and Korsmeyer–Peppas models to evaluate the kinetics and the drug release mechanism from the obtained hydrogel carriers.
The R2 values for the zero-order kinetics model were relatively low, namely 0.7407 for A and 0.8259 for L hydrogels. Similarly, the R2 value for the first-order kinetics model was too low and was not identified with the A matrix. Based on the data in Table 6, it can be concluded that the drug was released with first-order kinetics rather from C (R2 = 0.9575) and L (R2 = 0.9101) matrices. In turn, 5-FU was released with zero-order kinetics from the F matrix (R2 = 0.9712).
Table 6.
Analysis data of 5-FU release from hydrogels.
In the Korsmeyer–Peppas model, the value of n characterized the drug release mechanism. In the case of A, F, and L hydrogels, the n value corresponds to the non-Fickian transport (0.45 < n = 0.89). The values of R2 for A, F, and L matrices were above 0.9. As shown in Table 6, the R2 value for C hydrogel was very small, and the mechanism of drug release cannot be specified.
Although hydrogels are typically characterized by relatively rapid drug release with not zero-order kinetics, as established in our work, systems appear to have slightly different properties due to extended polyester chain fragments, which are relatively hydrophobic. In addition, the developed hydrogels were chemically crosslinked with HDI, which further enhanced the hydrophobicity of the system. As a result, the overall hydrophobicity of the matrices was substantial, and the water permeability has been reduced. For this reason, the amount of drug released was relatively low, and release kinetics were more controlled and closer to zero order. Furthermore, according to the Korsmeyer–Peppas mathematical models, the drug release mechanism was defined as non‑Fickian diffusion (in most cases), involving diffusion and erosion processes.
4. Conclusions
New hydrogels as 5-FU carriers have been synthesized and characterized. The hydrogels were obtained from CL-PEG or rac‑LA-PEG copolymers and HDI as a crosslinking agent. The matrices have been successfully synthesized through the ROP of CL and rac‑LA in the presence of Zr(Oct)4 as catalyst. The Zr-based catalyst was active when the reactions were carried out both in solvent and “in bulk”. Due to the significantly lower yield of the products obtained in the solvent process, the method “in bulk” was established as the preferred method. The structure of the copolymers has been confirmed by NMR spectroscopy. Intensive intermolecular transesterification processes have been observed during rac‑LA polymerization, making it impossible to clearly establish the stereoselectivity of Zr(Oct)4 in the ROP process. The microstructure of the rac‑LA-PEG copolymers obtained was described as atactic. T values were in the range of 0.32–0.72 for rac‑LA-PEG copolymers obtained by the bulk method and tend to be independent of the time and temperature process (up to 140 °C). The optimal reaction conditions for CL-PEG and rac‑LA-PEG copolymers synthesis were defined as 140 °C and 24 h, and bulk polymerization was the preferred process.
It was observed that an increase in HDI/polymer and PEG 600/polymer ratios generally increases the 5‑FU release rate. Although, when the above mentioned ratios are lower, the drug release kinetics become closer to zero-order kinetics.
5-FU was released from the crosslinked CL‑PEG and rac‑LA-PEG hydrogels in a controlled and prolonged manner (up to 432 h). The release kinetics was defined as first or zero order. The release rate was dependent on the type of copolymer and the degree of crosslinking. In general, higher matrix hydrophilicity increases the release rate of the hydrophilic drug from the obtained hydrogel matrices, which is correlated with higher water absorption ability and improved access of the water molecules to the interior layers of the matrix. The release mechanism was defined as non‑Fickian transport.
In summary, the mentioned synthesis appears to be suitable for the preparation of hydrogels for biomedical applications; the synthesized products were non-toxic. Moreover, according to the literature, the system is considered to be biodegradable [33,34]. The release of 5-FU from hydrogel matrices has been prolonged and controlled, making the developed materials promising drug delivery systems for antitumor therapy.
Supplementary Materials
The following are available online at https://www.mdpi.com/1996-1944/14/1/98/s1, Table S1: HPLC gradient for 5-FU analysis; Figure S1: The 1H NMR spectrum of CL-PEG (in CDCl3); Figure S2: The 13C NMR spectrum of CL-PEG (in CDCl3); Figure S3: The 1H NMR spectrum of rac-LA-PEG (in CDCl3); Figure S4: The 13C NMR spectrum of rac-LA-PEG (in CDCl3).
Author Contributions
A.K.: chemical, structural, analytical and pharmaceutical research, methodology, investigation, formal analysis, and writing—original draft; M.Z.-P.: analytical research, methodology, writing—original draft; E.O.: investigation, formal analysis, and writing—original draft and editing; G.N.-J.: biological research, methodology, investigation; A.D.: biological research, methodology, investigation; M.S.: conceptualization, chemical, structural, analytical and pharmaceutical research, investigation, writing—original draft, editing, and supervision. All authors have read and agreed to the published version of the manuscript.
Funding
This research was funded by Medical University of Warsaw, grant numbers FW23/N/20:MAT and FW23/N/19:MAT.
Institutional Review Board Statement
Not applicable.
Informed Consent Statement
Not applicable.
Data Availability Statement
The data presented in this study are available on request from the corresponding author.
Conflicts of Interest
The authors declare no conflict of interest.
References
- Carugo, A.; Draetta, G.F. Academic Discovery of Anticancer Drugs: Historic and Future Perspectives. Annu. Rev. Cancer Biol. 2019, 3, 385–408. [Google Scholar] [CrossRef]
- Zhang, N.; Yin, Y.; Xu, S.-J.; Chen, W.-S. 5-Fluorouracil: Mechanisms of Resistance and Reversal Strategies. Molecules 2008, 13, 1551–1569. [Google Scholar] [CrossRef] [PubMed]
- Zhao, X.; Yu, Y.-T. Incorporation of 5-fluorouracil into U2 snRNA blocks pseudouridylation and pre-mRNA splicing in vivo. Nucleic Acids Res. 2006, 35, 550–558. [Google Scholar] [CrossRef] [PubMed]
- Mojardín, L.; Botet, J.; Quintales, L.; Moreno, S.; Salas, M. New Insights into the RNA-Based Mechanism of Action of the Anticancer Drug 5′-Fluorouracil in Eukaryotic Cells. PLoS ONE 2013, 8, e78172. [Google Scholar] [CrossRef]
- Longley, D.B.; Harkin, D.P.; Johnston, P.G. 5-Fluorouracil: Mechanisms of action and clinical strategies. Nat. Rev. Cancer 2003, 3, 330–338. [Google Scholar] [CrossRef]
- Apetoh, L.; Ghiringhelli, F. Enhancing the anticancer effects of 5-fluorouracil: Current challenges and future perspectives. Biomed. J. 2015, 38, 111. [Google Scholar] [CrossRef]
- Guerra, G.D.; Cerrai, P.; Tricoli, M.; Maltinti, S. Release of 5-fluorouracil by biodegradable poly(ester-ether-ester)s. Part I: Release by fused thin sheets. J. Mater. Sci. Mater. Electron. 2001, 12, 313–317. [Google Scholar] [CrossRef]
- Hou, J.; Li, C.; Cheng, L.; Guo, S.; Zhang, Y.; Tang, T. Study on hydrophilic 5-fluorouracil release from hydrophobic poly(ϵ-caprolactone) cylindrical implants. Drug Dev. Ind. Pharm. 2011, 37, 1068–1075. [Google Scholar] [CrossRef]
- Rahman, Z.; Kohli, K.; Khar, R.K.; Ali, M.; Charoo, N.A.; Shamsher, A.A.A. Characterization of 5-fluorouracil microspheres for colonic delivery. AAPS PharmSciTech 2006, 7, E113–E121. [Google Scholar] [CrossRef]
- Martini, L.G.; Collett, J.H.; Attwood, D. The Release of 5-Fluorouracil from Microspheres of Poly(ε-Caprolactone- co -ethylene Oxide). Drug Dev. Ind. Pharm. 2000, 26, 7–12. [Google Scholar] [CrossRef]
- He-Ping, L.; Li, H.; Wang, Z.-D.; Zhang, J.-J.; Deng, M.-F.; Chen, S.-L. Preparation and In Vitro Release of Ramose Chitosan-Based-5-Fluorouracil Microspheres. J. Korean Chem. Soc. 2013, 57, 88–93. [Google Scholar] [CrossRef]
- Lai, L.; Guo, H. Preparation of new 5-fluorouracil-loaded zein nanoparticles for liver targeting. Int. J. Pharm. 2011, 404, 317–323. [Google Scholar] [CrossRef] [PubMed]
- Rata, D.M.; Cadinoiu, A.N.; Atanase, L.I.; Popa, M.; Mihai, C.-T.; Solcan, C.; Ochiuz, L.; Vochita, G. Topical formulations containing aptamer-functionalized nanocapsules loaded with 5-fluorouracil—An innovative concept for the skin cancer therapy. Mater. Sci. Eng. C 2021, 119, 111591. [Google Scholar] [CrossRef] [PubMed]
- Smith, J.A.; Affram, K.; Nottingham, E.L.; Han, B.; Amissah, F.; Krishnan, S.; Trevino, J.; Agyare, E. Application of smart solid lipid nanoparticles to enhance the efficacy of 5-fluorouracil in the treatment of colorectal cancer. Sci. Rep. 2020, 10, 1–14. [Google Scholar] [CrossRef] [PubMed]
- Jin, Q.; Mitschang, F.; Agarwal, S. Biocompatible Drug Delivery System for Photo-Triggered Controlled Release of 5-Fluorouracil. Biomacromolecules 2011, 12, 3684–3691. [Google Scholar] [CrossRef]
- Doi, N.; Sasai, Y.; Yamauchi, Y.; Adachi, T.; Kuzuya, M.; Kondo, S.-I. Development of Novel Polymeric Prodrugs Synthesized by Mechanochemical Solid-State Copolymerization of Hydroxyethylcellulose and Vinyl Monomers. Chem. Pharm. Bull. 2015, 63, 992–997. [Google Scholar] [CrossRef]
- Cho, H.; Chung, N.; JeongHo, A. Poly(d,l-lactide-ran-ε-caprolactone)-poly(ethylene glycol)-poly(d,l-lactide-ran-ε-caprolactone) as parenteral drug-delivery systems. Biomaterials 2004, 25, 3733–3742. [Google Scholar] [CrossRef]
- Dalwadi, C.; Gc, P. Thermosensitive nanohydrogel of 5-fluorouracil for head and neck cancer: Preparation, characterization and cytotoxicity assay. Int. J. Nanomed. 2018, 13, 31–33. [Google Scholar] [CrossRef]
- Mishra, G.P.; Kinser, R.; Wierzbicki, I.H.; Alany, R.G.; Alani, A. In situ gelling polyvalerolactone-based thermosensitive hydrogel for sustained drug delivery. Eur. J. Pharm. Biopharm. 2014, 88, 397–405. [Google Scholar] [CrossRef]
- Seo, H.W.; Kim, D.Y.; Kwon, D.Y.; Kwon, J.S.; Jin, L.M.; Lee, B.; Kim, J.-H.; Min, B.-H.; Kim, M.S. Injectable intratumoral hydrogel as 5-fluorouracil drug depot. Biomaterials 2013, 34, 2748–2757. [Google Scholar] [CrossRef]
- Kasiński, A.; Zielińska-Pisklak, M.; Oledzka, E.; Sobczak, M. Smart Hydrogels—Synthetic Stimuli-Responsive Antitumor Drug Release Systems. Int. J. Nanomed. 2020, 15, 4541–4572. [Google Scholar] [CrossRef]
- Ferreira, N.; Ferreira, L.; Cardoso, V.; Boni, F.; Souza, A.; Gremião, M. Recent advances in smart hydrogels for biomedical applications: From self-assembly to functional approaches. Eur. Polym. J. 2018, 99, 117–133. [Google Scholar] [CrossRef]
- Mahinroosta, M.; Farsangi, Z.J.; Allahverdi, A.; Shakoori, Z. Hydrogels as intelligent materials: A brief review of synthesis, properties and applications. Mater. Today Chem. 2018, 8, 42–55. [Google Scholar] [CrossRef]
- Mathew, A.P.; Uthaman, S.; Cho, K.; Cho, C.-S.; Park, I.-K. Injectable hydrogels for delivering biotherapeutic molecules. Int. J. Biol. Macromol. 2018, 110, 17–29. [Google Scholar] [CrossRef] [PubMed]
- Wu, J.; Qu, Y.; Shi, K.; Chu, B.; Jia, Y.; Xiao, X.; He, Q.; Qian, Z. Camptothecin@HMSNs/thermosensitive hydrogel composite for applications in preventing local breast cancer recurrence. Chin. Chem. Lett. 2018, 29, 1819–1823. [Google Scholar] [CrossRef]
- Abdullah, O.; Minhas, M.U.; Ahmad, M.; Ahmad, S.; Ahmad, A. Synthesis of hydrogels for combinatorial delivery of 5-fluorouracil and leucovorin calcium in colon cancer: Optimization, in vitro characterization and its toxicological evaluation. Polym. Bull. 2019, 76, 3017–3037. [Google Scholar] [CrossRef]
- Yun, Q.; Wang, S.S.; Xu, S.; Yang, J.P.; Fan, J.; Yang, L.L.; Chen, Y.; Fu, S.Z.; Wu, J.B. Use of 5-Fluorouracil Loaded Micelles and Cisplatin in Thermosensitive Chitosan Hydrogel as an Efficient Therapy against Colorectal Peritoneal Carcinomatosis. Macromol. Biosci. 2017, 17, 1600262. [Google Scholar] [CrossRef]
- Blanco, M.D.; Fernándezace, L.G.-; Gómez, C.; Sastre, R.L.; Teijón, J. In-vivo drug delivery of 5-fluorouracil using poly(2-hydroxyethyl methacrylate-co-acrylamide) hydrogels. J. Pharm. Pharmacol. 2000, 52, 1319–1325. [Google Scholar] [CrossRef]
- Yi, H.; Cho, H.-J.; Cho, S.-M.; Lee, D.-G.; El-Aty, A.A.; Yoon, S.-J.; Bae, G.-W.; Nho, K.; Kim, B.; Lee, C.-H.; et al. Pharmacokinetic properties and antitumor efficacy of the 5-fluorouracil loaded PEG-hydrogel. BMC Cancer 2010, 10, 211. [Google Scholar] [CrossRef]
- Lee, S.M.; Chun, C.; Heo, J.Y.; Song, S.-C. Injectable and thermosensitive poly(organophosphazene) hydrogels for a 5-fluorouracil delivery. J. Appl. Polym. Sci. 2009, 113, 3831–3839. [Google Scholar] [CrossRef]
- Cirillo, G.; Curcio, M.; Nicoletta, F.P.; Iemma, F. Injectable Hydrogels for Cancer Therapy over the Last Decade. Pharmaceutics 2019, 11, 486. [Google Scholar] [CrossRef] [PubMed]
- Entezar-Almahdi, E.; Mohammadi-Samani, S.; Tayebi, L.; Farjadian, F. Recent Advances in Designing 5-Fluorouracil Delivery Systems: A Stepping Stone in the Safe Treatment of Colorectal Cancer. Int. J. Nanomed. 2020, 15, 5445–5458. [Google Scholar] [CrossRef] [PubMed]
- Dash, T.K.; Konkimalla, V.B. Poly-є-caprolactone based formulations for drug delivery and tissue engineering: A review. J. Control. Release 2012, 158, 15–33. [Google Scholar] [CrossRef] [PubMed]
- Munim, S.A.; Raza, Z.A. Poly(lactic acid) based hydrogels: Formation, characteristics and biomedical applications. J. Porous Mater. 2018, 26, 881–901. [Google Scholar] [CrossRef]
- Wang, Y.; Gong, C.; Yang, L.; Wu, Q.J.; Shi, S.; Shi, H.; Qian, Z.; Wei, Y.-Q. 5-FU-hydrogel inhibits colorectal peritoneal carcinomatosis and tumor growth in mice. BMC Cancer 2010, 10, 402. [Google Scholar] [CrossRef]
- Gong, C.; Wang, C.; Wang, Y.; Wu, Q.; Zhang, D.; Luo, F.; Qian, Z. Efficient inhibition of colorectal peritoneal carcinomatosis by drug loaded micelles in thermosensitive hydrogel composites. Nanoscale 2012, 4, 3095–3104. [Google Scholar] [CrossRef]
- Dobrzyński, P. Mechanism of ε-caprolactone polymerization and ε-caprolactone/trimethylene carbonate copolymerization carried out with Zr(Acac)4. Polymer 2007, 48, 2263–2279. [Google Scholar] [CrossRef]
- Maring, J.G.; Schouten, L.; Greijdanus, B.; De Vries, E.G.E.; Uges, D.R.A. A Simple and Sensitive Fully Validated HPLC-UV Method for the Determination of 5-Fluorouracil and Its Metabolite 5,6-Dihydrofluorouracil in Plasma. Ther. Drug Monit. 2005, 27, 25–30. [Google Scholar] [CrossRef]
- Singhvi, G.; Singh, M. Review: In-vitro drug release characterization models. Int. J. Pharm. Sci. Res. 2011, 2, 77–84. [Google Scholar]
- Dobrzyński, P.; Pastusiak, M.; Jaworska, J.; Kaczmarczyk, B.; Kwiecień, M.; Kawalec, M. Zirconium (IV) Acetylacetonate: Ring-Opening Initiator Mediating One-Step Synthesis of Biodegradable Polyacids. Adv. Polym. Technol. 2019, 2019, 3761430. [Google Scholar] [CrossRef]
- Kasperczyk, J.; Bero, M. Stereoselective polymerization of racemic dl-lactide in the presence of butyllithium and butylmagnesium. Structural investigations of the polymers. Polymer 2000, 41, 391–395. [Google Scholar] [CrossRef]
Publisher’s Note: MDPI stays neutral with regard to jurisdictional claims in published maps and institutional affiliations. |
© 2020 by the authors. Licensee MDPI, Basel, Switzerland. This article is an open access article distributed under the terms and conditions of the Creative Commons Attribution (CC BY) license (http://creativecommons.org/licenses/by/4.0/).


