Natural Fibres as a Sustainable Reinforcement Constituent in Aligned Discontinuous Polymer Composites Produced by the HiPerDiF Method
Abstract
1. Introduction
2. Materials and Methodology
2.1. Fibres
2.2. ADN Preforms
2.3. Matrices and Prepregging
2.4. ADNFRC Manufacture
2.5. Mechanical Testing
2.6. Visual Characterisation
2.7. Density, Porosity, and Water Absorption of ADNFRC
3. Results
3.1. Properties of ADN Preforms
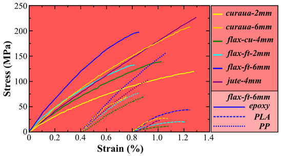
3.2. Mechanical Properties of ADNFRC
3.3. Physical Properties of ADNFRC
4. Discussion
5. Conclusions
Supplementary Materials
Author Contributions
Funding
Institutional Review Board Statement
Informed Consent Statement
Data Availability Statement
Acknowledgments
Conflicts of Interest
References
- Soutis, C. Fibre reinforced composites in aircraft construction. Prog. Aerosp. Sci. 2005, 41, 143–151. [Google Scholar] [CrossRef]
- Adam, H. Carbon fibre in automotive applications. Mater. Des. 1997, 18, 349–355. [Google Scholar] [CrossRef]
- Rubino, F.; Nisticò, A.; Tucci, F.; Carlone, P. Marine application of fiber reinforced composites: A review. J. Mar. Sci. Eng. 2020, 8, 26. [Google Scholar] [CrossRef]
- Mishnaevsky, L.; Branner, K.; Petersen, H.; Beauson, J.; McGugan, M.; Sørensen, B. Materials for wind turbine blades: An overview. Materials 2017, 10, 1285. [Google Scholar] [CrossRef] [PubMed]
- Mohanty, A.K.; Vivekanandhan, S.; Pin, J.M.; Misra, M. Composites from renewable and sustainable resources: Challenges and innovations. Science 2018, 362, 536–542. [Google Scholar] [CrossRef]
- Jawaid, M.; Thariq, M. Sustainable Composites for Aerospace Applications; Woodhead Publishing Series in Composites Science and Engineering; Elsevier Science: Amsterdam, The Netherlands, 2018. [Google Scholar]
- Conroy, A.; Halliwell, S.; Reynolds, T.; Waterman, A. Recycling Fibre Reinforced Polymers in Construction: A Guide to Best Practicable Environmental Option Building Research Establishment; IHS BRE Press: Berkshire, UK, 2004. [Google Scholar]
- Fitzgerald, A.; Proud, W.; Kandemir, A.; Murphy, R.J.; Jesson, D.A.; Trask, R.S.; Hamerton, I.; Longana, M.L. A life cycle engineering perspective on biocomposites as a solution for a sustainable recovery. Sustainability 2021, 13, 1160. [Google Scholar] [CrossRef]
- Saheb, D.N.; Jog, J.P. Natural fiber polymer composites: A review. Adv. Polym. Technol. 1999, 18, 351–363. [Google Scholar] [CrossRef]
- Fogorasi, M.; Barbu, I. The potential of natural fibres for automotive sector-review. In IOP Conference Series: Materials Science and Engineering; IOP Publishing: Bristol, UK, 2017; Volume 252, p. 012044. [Google Scholar] [CrossRef]
- Nirmal, U.; Hashim, J.; Megat Ahmad, M. A review on tribological performance of natural fibre polymeric composites. Tribol. Int. 2015, 83, 77–104. [Google Scholar] [CrossRef]
- Fangueiro, R.; Rana, S. Natural Fibres: Advances in Science and Technology Towards Industrial Applications From Science to Market; Springer: Dordrecht, The Netherlands, 2016. [Google Scholar] [CrossRef]
- Yao, Y.; Li, M.; Lackner, M.; Herfried, L. A continuous fiber-reinforced additive manufacturing processing based on PET fiber and PLA. Materials 2020, 13, 3044. [Google Scholar] [CrossRef]
- Chacón, J.; Caminero, M.; Núñez, P.; García-Plaza, E.; García-Moreno, I.; Reverte, J. Additive manufacturing of continuous fibre reinforced thermoplastic composites using fused deposition modelling: Effect of process parameters on mechanical properties. Compos. Sci. Technol. 2019, 181, 107688. [Google Scholar] [CrossRef]
- Yu, H.; Potter, K.; Wisnom, M. A novel manufacturing method for aligned discontinuous fibre composites (High Performance-Discontinuous Fibre method). Compos. Part Appl. Sci. Manuf. 2014, 65, 175–185. [Google Scholar] [CrossRef]
- Matthew Such, C.W.; Potter, K. Aligned Discontinuous fibre composites: A short history. J. Multifunct. Compos. 2014, 2, 155–168. [Google Scholar] [CrossRef]
- Yu, H.; Potter, K. Method and Apparatus for Aligning Discontinuous Fibres. UK Patent Application Number EP2986768B1, 19 July 2017. [Google Scholar]
- Yu, H.; Longana, M.L.; Jalalvand, M.; Wisnom, M.R.; Potter, K.D. Pseudo-ductility in intermingled carbon/glass hybrid composites with highly aligned discontinuous fibres. Compos. Part Appl. Sci. Manuf. 2015, 73, 35–44. [Google Scholar] [CrossRef]
- Longana, M.L.; Ong, N.; Yu, H.; Potter, K.D. Multiple closed loop recycling of carbon fibre composites with the HiPerDiF (High Performance Discontinuous Fibre) method. Compos. Struct. 2016, 153, 271–277. [Google Scholar] [CrossRef]
- Longana, M.L.; Yu, H.; Jalavand, M.; Wisnom, M.R.; Potter, K.D. Aligned discontinuous intermingled reclaimed/virgin carbon fibre composites for high performance and pseudo-ductile behaviour in interlaminated carbon-glass hybrids. Compos. Sci. Technol. 2017, 143, 13–21. [Google Scholar] [CrossRef]
- Tapper, R.J.; Longana, M.L.; Yu, H.; Hamerton, I.; Potter, K.D. Development of a closed-loop recycling process for discontinuous carbon fibre polypropylene composites. Compos. Part Eng. 2018, 146, 222–231. [Google Scholar] [CrossRef]
- Longana, M.L.; Yu, H.; Hamerton, I.; Potter, K.D. Development and application of a quality control and property assurance methodology for reclaimed carbon fibers based on the HiPerDiF (High Performance Discontinuous Fibre) method and interlaminated hybrid specimens. Adv. Manuf. Polym. Compos. Sci. 2018, 4, 48–55. [Google Scholar] [CrossRef]
- Longana, M.; Ondra, V.; Yu, H.; Potter, K.; Hamerton, I. Reclaimed carbon and flax fibre composites: Manufacturing and mechanical properties. Recycling 2018, 3, 52. [Google Scholar] [CrossRef]
- Tapper, R.J.; Longana, M.L.; Hamerton, I.; Potter, K.D. A closed-loop recycling process for discontinuous carbon fibre polyamide 6 composites. Compos. Part Eng. 2019, 179, 107418. [Google Scholar] [CrossRef]
- Aravindan, P.; Becagli, F.; Longana, M.L.; Blok, L.G.; Pozegic, T.R.; Huntley, S.J.; Rendall, T.; Hamerton, I. Remanufacturing of woven carbon fibre fabric production waste into high performance aligned discontinuous fibre composites. J. Compos. Sci. 2020, 4, 68. [Google Scholar] [CrossRef]
- Kandemir, A.; Pozegic, T.R.; Hamerton, I.; Eichhorn, S.J.; Longana, M.L. Characterisation of natural fibres for sustainable discontinuous fibre composite materials. Materials 2020, 13, 2129. [Google Scholar] [CrossRef] [PubMed]
- SkyFlex K51 Epoxy PrepregTechnical Data Sheet; SKChemicals: Seoul, Korea; Available online: http://www.triplehcomposites.co.uk/userfiles/files/SKR%20K51%20ver1_0(1).pdf (accessed on 2 February 2021).
- 3D4MAKERSPLA (Polylactic Acid) Filament Technical Information. Available online: https://www.3d4makers.com/products/pla-filament (accessed on 2 February 2021).
- Tang, J.; Swolfs, Y.; Longana, M.L.; Yu, H.; Wisnom, M.R.; Lomov, S.V.; Gorbatikh, L. Hybrid composites of aligned discontinuous carbon fibers and self-reinforced polypropylene under tensile loading. Compos. Part Appl. Sci. Manuf. 2019, 123, 97–107. [Google Scholar] [CrossRef]
- HiPerDiF Web Page, Bristol Composites Institute, University of Bristol. Available online: http://www.bristol.ac.uk/composites/research/hiperdif/ (accessed on 1 January 2021).
- Blok, L.; Longana, M.; Woods, B. Fabrication and characterisation of aligned discontinuous carbon fibre reinforced thermoplastics as feedstock material for fused filament fabrication. Materials 2020, 13, 4671. [Google Scholar] [CrossRef] [PubMed]
- Standard Test Method for Tensile Properties of Polymer Matrix Composite Materials; Standard, ASTM International: West Conshohocken, PA, USA, 2016. [CrossRef]
- Standard Test Methods for Apparent Porosity, Liquid Absorption, Apparent Specific Gravity, and Bulk Density of Refractory Shapes by Vacuum Pressure; Standard, ASTM International: West Conshohocken, PA, USA, 2016. [CrossRef]
- Hamad, K.; Kaseem, M.; Deri, F. Melt rheology of poly (lactic acid)/low density polyethylene polymer blends. Adv. Chem. Eng. Sci. 2011, 1, 208–214. [Google Scholar] [CrossRef]
- Kergariou, C.D.; Le Duigou, A.; Popineau, V.; Gager, V.; Kervoelen, A.; Perriman, A.; Saidani-Scott, H.; Allegri, G.; Panzera, T.H.; Scarpa, F. Measure of porosity in flax fibres reinforced polylactic acid biocomposites. Compos. Part Appl. Sci. Manuf. 2021, 141, 106183. [Google Scholar] [CrossRef]
- Wang, W.; Sain, M.; Cooper, P. Study of moisture absorption in natural fiber plastic composites. Compos. Sci. Technol. 2006, 66, 379–386. [Google Scholar] [CrossRef]
- Piemonte, V.; Gironi, F. Kinetics of hydrolytic degradation of PLA. J. Polym. Environ. 2013, 21, 313–318. [Google Scholar] [CrossRef]
- van der Werf, H.M.; Turunen, L. The environmental impacts of the production of hemp and flax textile yarn. Ind. Crop. Prod. 2008, 27, 1–10. [Google Scholar] [CrossRef]
- EUROPEAN LINEN. Available online: http://news.europeanflax.com/lin/ (accessed on 28 January 2021).









| Constutient | Density (g cm) | Elastic Modulus (GPa) | Tensile Strength (MPa) | Critical Length (mm) | Ref. |
|---|---|---|---|---|---|
| Fibres | |||||
| curaua | 1.50 | 39 | 660 | 2.22 | [26] |
| flax-ft | 1.54 | 52 | 580 | 1.56 | [26] |
| flax-cu | 1.40 | - | - | - | [23] |
| jute | 1.51 | 27 | 300 | 0.84 | [26] |
| Matrices | |||||
| epoxy | 1.20 | - | - | - | [27] |
| PLA | 1.24 | - | 45 | - | [28] |
| PP | 0.92 | 1.5 | - | - | [29] |
| ADN Preforms | Curaua (2 and 6 mm) | Flax-cu (4 mm) | Flax-ft (2 and 6 mm) | Jute (4 mm) |
|---|---|---|---|---|
| Aerial Weight (g/m) | 116.21 | 33.53 | 79.17 | 65.38 |
| SD (g/m) | 5.64 | 9.09 | 5.46 | 6.01 |
| ADNFRC | Apparent Density (g cm) | Apparent Porosity (%) | Water Absorption (%) | Bulk Density (g cm) |
|---|---|---|---|---|
| F6/Epoxy | 1.35 ± 0.04 | 37.15 ± 2.12 | 44.02 ± 3.43 | 0.85 ± 0.03 |
| F6/PLA | 1.26 ± 0.04 | 38.52 ± 2.45 | 49.68 ± 3.48 | 0.78 ± 0.01 |
| F6/PP | 1.24 ± 0.01 | 20.00 ± 2.89 | 20.23 ± 3.49 | 0.99 ± 0.03 |
| ADNFRC | F6/Epoxy | F6/PLA | F6/PP |
|---|---|---|---|
| 0.427 | Na (0.074 *) | 0.516 |
Publisher’s Note: MDPI stays neutral with regard to jurisdictional claims in published maps and institutional affiliations. |
© 2021 by the authors. Licensee MDPI, Basel, Switzerland. This article is an open access article distributed under the terms and conditions of the Creative Commons Attribution (CC BY) license (https://creativecommons.org/licenses/by/4.0/).
Share and Cite
Kandemir, A.; Longana, M.L.; Panzera, T.H.; del Pino, G.G.; Hamerton, I.; Eichhorn, S.J. Natural Fibres as a Sustainable Reinforcement Constituent in Aligned Discontinuous Polymer Composites Produced by the HiPerDiF Method. Materials 2021, 14, 1885. https://doi.org/10.3390/ma14081885
Kandemir A, Longana ML, Panzera TH, del Pino GG, Hamerton I, Eichhorn SJ. Natural Fibres as a Sustainable Reinforcement Constituent in Aligned Discontinuous Polymer Composites Produced by the HiPerDiF Method. Materials. 2021; 14(8):1885. https://doi.org/10.3390/ma14081885
Chicago/Turabian StyleKandemir, Ali, Marco L. Longana, Tulio H. Panzera, Gilberto G. del Pino, Ian Hamerton, and Stephen J. Eichhorn. 2021. "Natural Fibres as a Sustainable Reinforcement Constituent in Aligned Discontinuous Polymer Composites Produced by the HiPerDiF Method" Materials 14, no. 8: 1885. https://doi.org/10.3390/ma14081885
APA StyleKandemir, A., Longana, M. L., Panzera, T. H., del Pino, G. G., Hamerton, I., & Eichhorn, S. J. (2021). Natural Fibres as a Sustainable Reinforcement Constituent in Aligned Discontinuous Polymer Composites Produced by the HiPerDiF Method. Materials, 14(8), 1885. https://doi.org/10.3390/ma14081885

