Strong Interfacial Perpendicular Magnetic Anisotropy in Exchange-Biased NiO/Co/Au and NiO/Co/NiO Layered Systems
Abstract
1. Introduction
2. Experiment
3. Results and Discussion
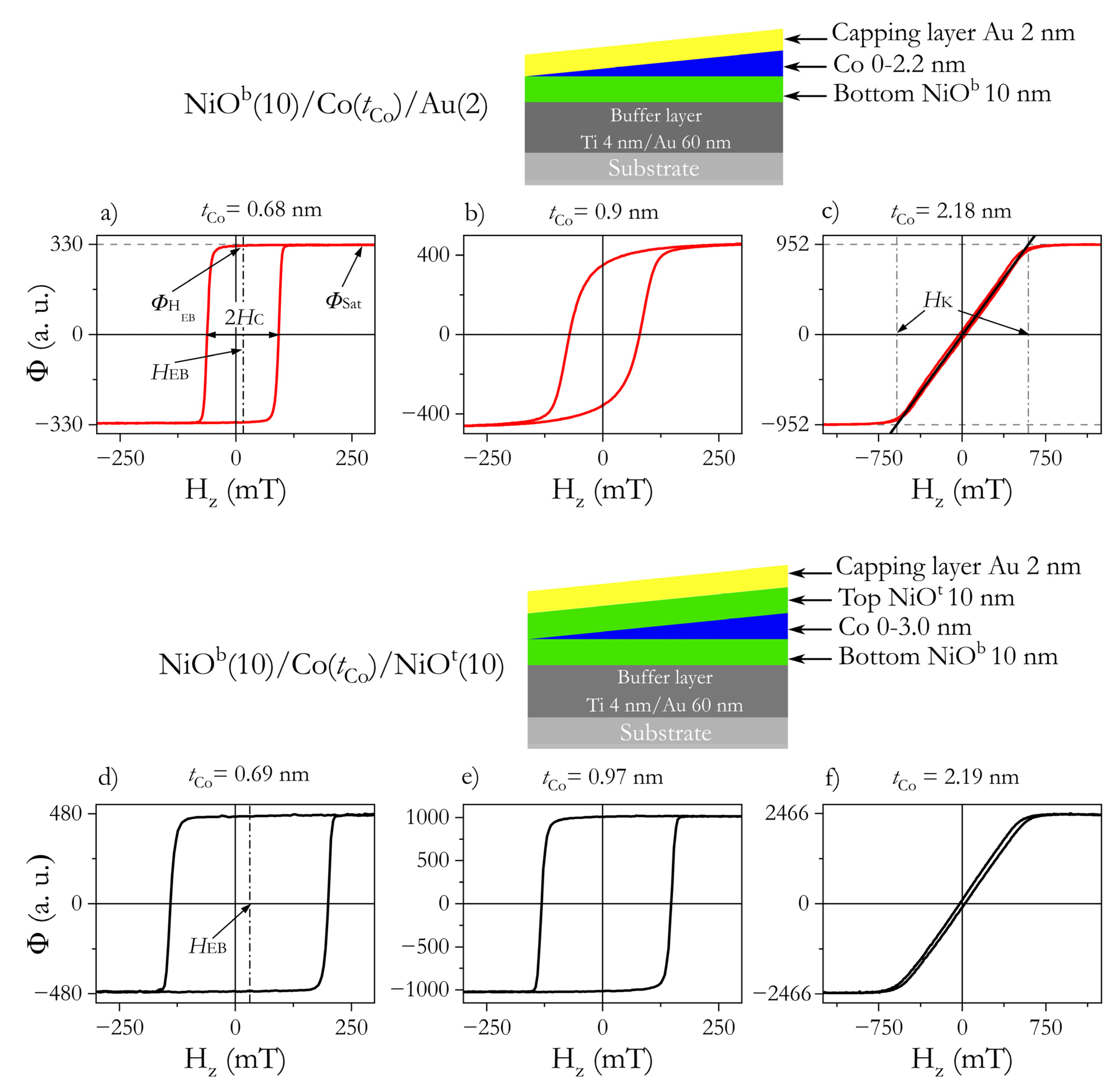
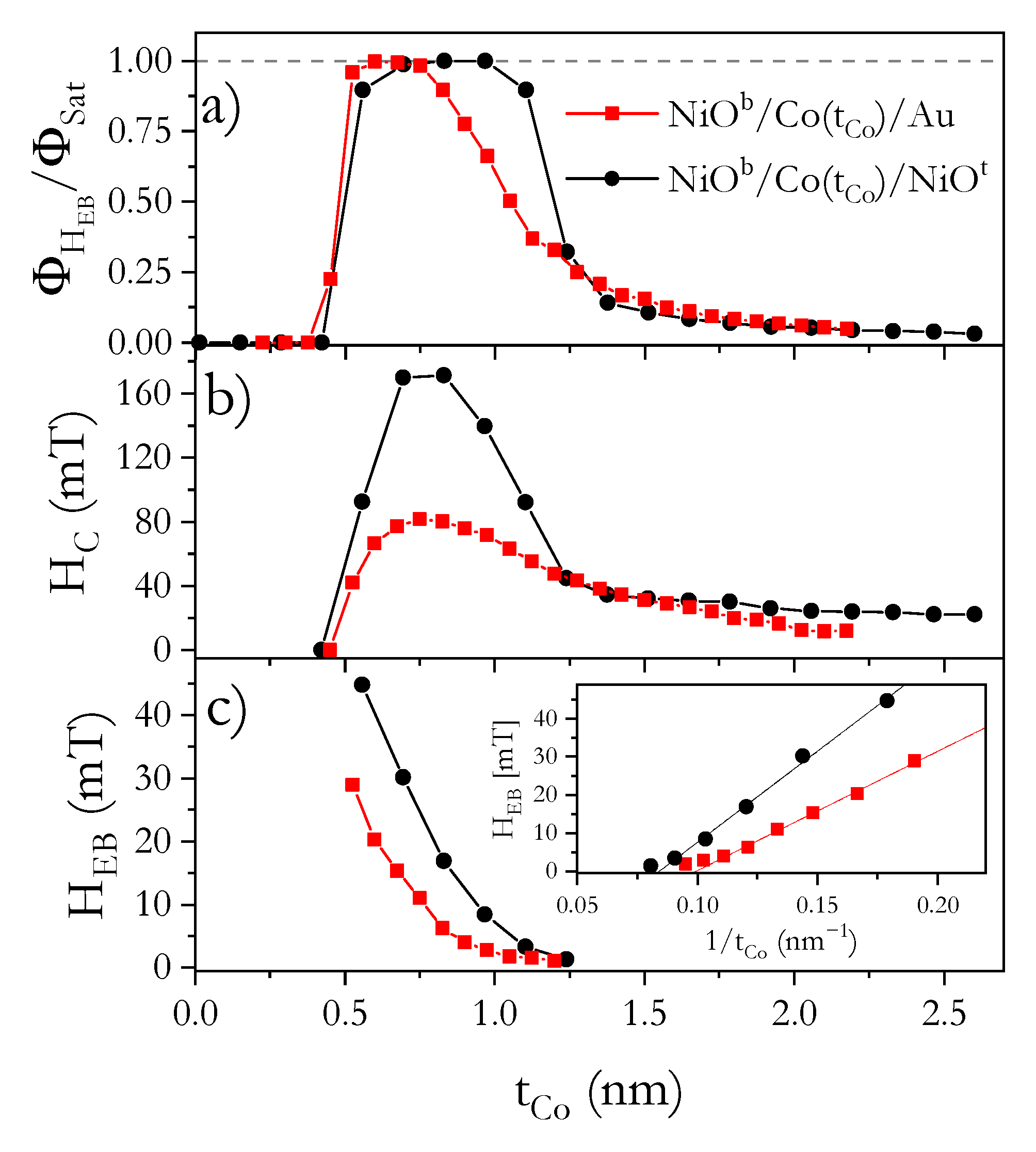
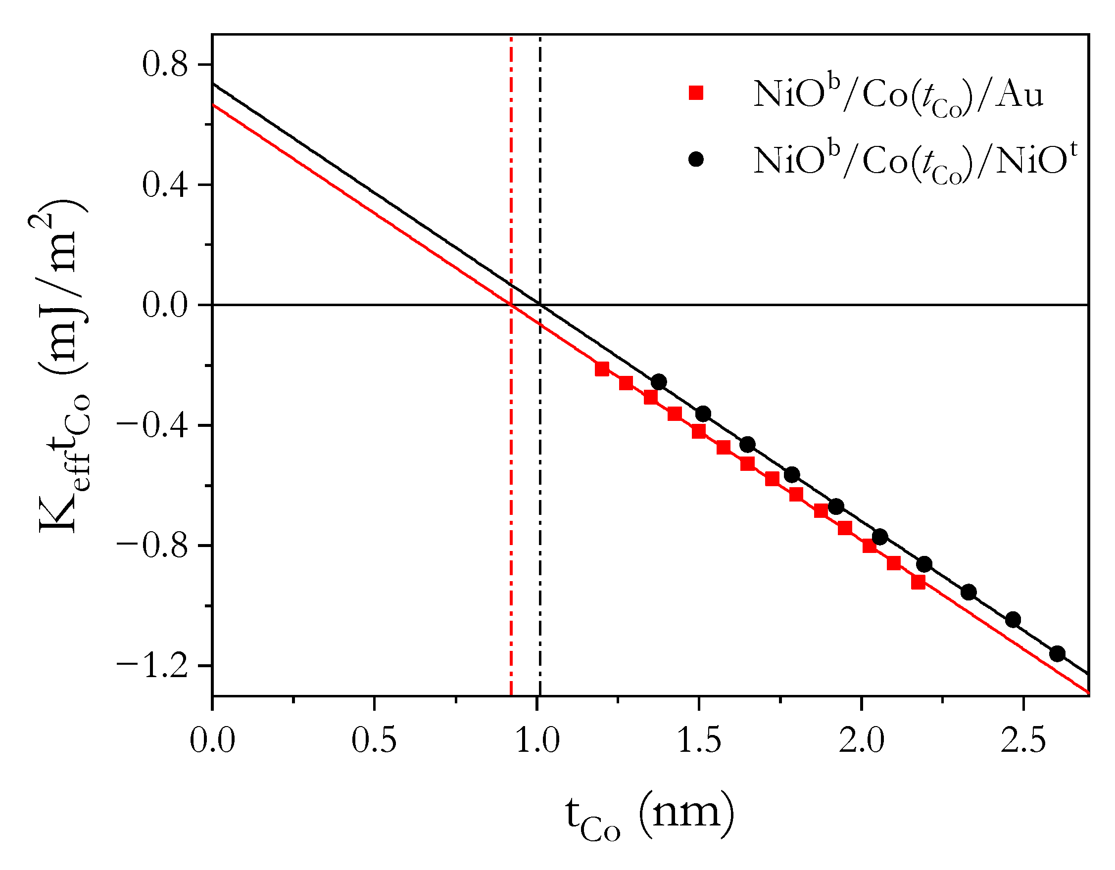
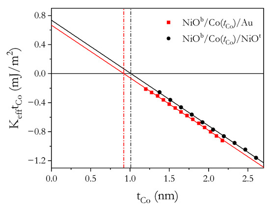
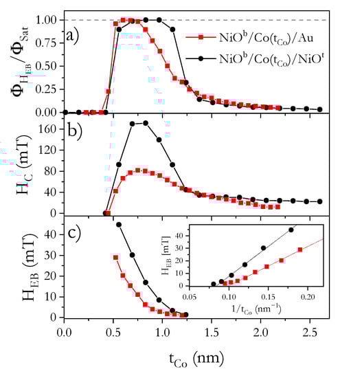
3.1. Magnetic Properties of NiOb/Co/Au and NiOb/Co/NiOt Systems in As-Deposited State
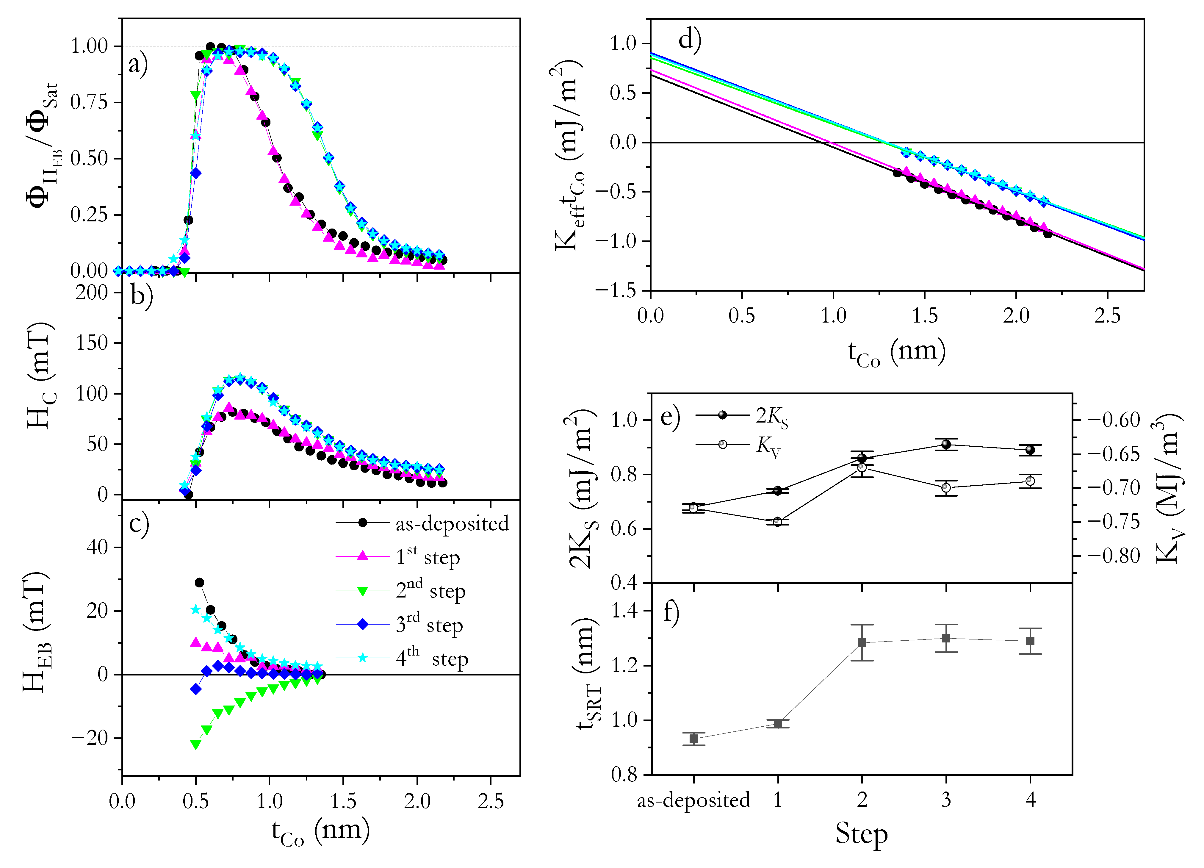
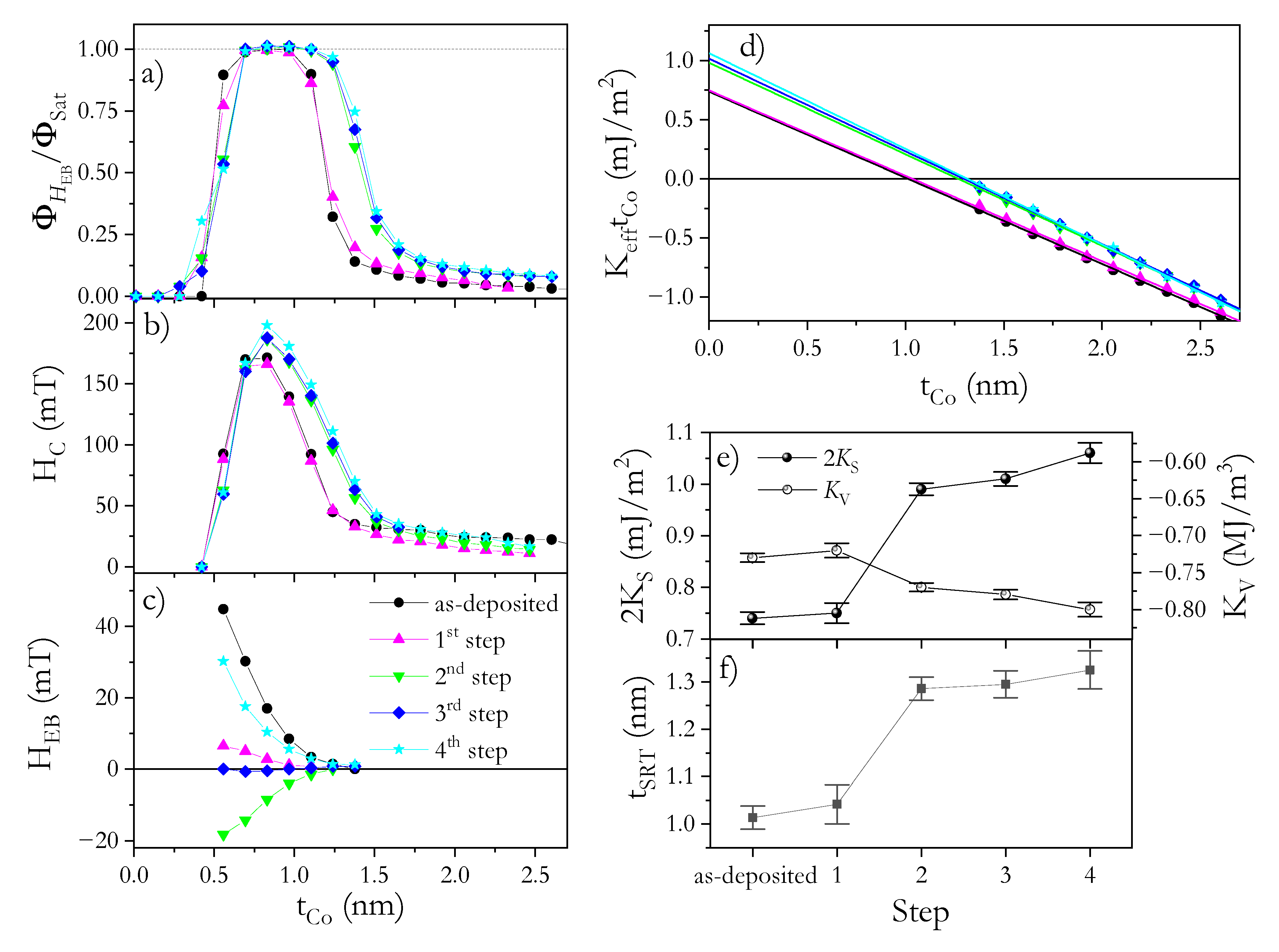
3.2. Magnetic Properties of NiOb/Co/Au and NiOb/Co/NiOt Systems after Different FC Steps
4. Conclusions
Author Contributions
Funding
Institutional Review Board Statement
Informed Consent Statement
Data Availability Statement
Conflicts of Interest
References
- Spörl, K.; Weller, D. Interface anisotropy and chemistry of magnetic multilayers: Au/Co, Pt/Co and Pd/Co. J. Magn. Magn. Mater. 1991, 93, 379–385. [Google Scholar] [CrossRef]
- Johnson, M.T.; Bloemen, P.J.H.; Broeder, F.J.A.D.; De Vries, J.J. Magnetic anisotropy in metallic multilayers. Rep. Prog. Phys. 1996, 59, 1409–1458. [Google Scholar] [CrossRef]
- Broeder, F.D.; Hoving, W.; Bloemen, P. Magnetic anisotropy of multilayers. J. Magn. Magn. Mater. 1991, 93, 562–570. [Google Scholar] [CrossRef]
- Néel, L. Anisotropie magnétique superficielle et surstructures d’orientation. J. Phys. 1954, 15, 225–239. [Google Scholar] [CrossRef]
- Piramanayagam, S.N. Perpendicular recording media for hard disk drives. J. Appl. Phys. 2007, 102, 011301. [Google Scholar] [CrossRef]
- Meiklejohn, W.H.; Bean, C.P. New Magnetic Anisotropy. Phys. Rev. 1957, 105, 904–913. [Google Scholar] [CrossRef]
- Meiklejohn, W.H. Exchange Anisotropy—A Review. J. Appl. Phys. 1962, 33, 1328–1335. [Google Scholar] [CrossRef]
- Maat, S.; Takano, K.; Parkin, S.S.P.; Fullerton, E.E. Perpendicular exchange bias ofCo/Ptmultilayers. Phys. Rev. Lett. 2001, 87, 087202. [Google Scholar] [CrossRef]
- Ikeda, S.; Miura, K.T.; Yamamoto, H.; Mizunuma, K.; Gan, H.D.; Endo, M.; Kanai, S.; Hayakawa, J.; Matsukura, F.; Ohno, H. A perpendicular-anisotropy CoFeB–MgO magnetic tunnel junction. Nat. Mater. 2010, 9, 721–724. [Google Scholar] [CrossRef]
- Schott, M.; Bernand-Mantel, A.; Ranno, L.; Pizzini, S.; Vogel, J.; Béa, H.; Baraduc, C.; Auffret, S.; Gaudin, G.; Givord, D. The skyrmion switch: Turning magnetic skyrmion bubbles on and off with an electric field. Nano Lett. 2017, 17, 3006–3012. [Google Scholar] [CrossRef] [PubMed]
- Boulle, O.; Vogel, J.; Yang, H.; Pizzini, S.; Chaves, D.D.S.; Locatelli, A.; Menteş, T.O.; Sala, A.; Buda-Prejbeanu, L.D.; Klein, O.; et al. Room-temperature chiral magnetic skyrmions in ultrathin magnetic nanostructures. Nat. Nanotechnol. 2016, 11, 449–454. [Google Scholar] [CrossRef]
- Mlynczak, E.; Gurgul, J.; Przewoznik, J.; Ślęzak, D.W.; Freindl, K.; Spiridis, N.; Korecki, J. Effect of interfacial iron oxidation on the exchange bias in CoO/Fe bilayers. Appl. Surf. Sci. 2014, 304, 86–90. [Google Scholar] [CrossRef]
- Ślęzak, M.; Ślęzak, T.; Dróżdż, P.; Matlak, B.; Matlak, K.; Kozioł-Rachwał, A.; Zając, M.; Korecki, J. How a ferromagnet drives an antiferromagnet in exchange biased CoO/Fe(110) bilayers. Sci. Rep. 2019, 9, 1–8. [Google Scholar] [CrossRef]
- Monso, S.; Rodmacq, B.; Auffret, S.; Casali, G.; Fettar, F.; Gilles, B.; Dieny, B.; Boyer, P. Crossover from in-plane to perpendicular anisotropy in Pt/CoFe/AlOx sandwiches as a function of Al oxidation: A very accurate control of the oxidation of tunnel barriers. Appl. Phys. Lett. 2002, 80, 4157–4159. [Google Scholar] [CrossRef]
- Rodmacq, B.; Auffret, S.; Dieny, B.; Monso, S.; Boyer, P. Crossovers from in-plane to perpendicular anisotropy in magnetic tunnel junctions as a function of the barrier degree of oxidation. J. Appl. Phys. 2003, 93, 7513. [Google Scholar] [CrossRef]
- Yang, H.; Boulle, O.; Cros, V.; Fert, A.; Chshiev, M. Controlling Dzyaloshinskii-Moriya interaction via chirality dependent atomic-layer stacking, insulator capping and electric field. Sci. Rep. 2018, 8, 1–7. [Google Scholar] [CrossRef] [PubMed]
- Belabbes, A.; Bihlmayer, G.; Blügel, S.; Manchon, A. Oxygen-enabled control of Dzyaloshinskii-Moriya Interaction in ultra-thin magnetic films. Sci. Rep. 2016, 6, 24634. [Google Scholar] [CrossRef] [PubMed]
- Kuświk, P.; Matczak, M.; Kowacz, M.; Szuba-Jabłoński, K.; Michalak, N.; Szymański, B.; Ehresmann, A.; Stobiecki, F. Asymmetric domain wall propagation caused by interfacial Dzyaloshinskii-Moriya interaction in exchange biased Au/Co/NiO layered system. Phys. Rev. B 2018, 97, 024404. [Google Scholar] [CrossRef]
- Kuświk, P.; Matczak, M.; Kowacz, M.; Lisiecki, F.; Stobiecki, F. Determination of the Dzyaloshinskii-Moriya interaction in exchange biased Au/Co/NiO systems. J. Magn. Magn. Mater. 2019, 472, 29–33. [Google Scholar] [CrossRef]
- Kolesnikov, A.; Stebliy, M.; Davydenko, A.; Kozlov, A.; Osmushko, I.; Korochentsev, V.; Ognev, A.; Gerasimenko, A.; Sadovnikov, A.; Gubanov, V.; et al. Magnetic properties and the interfacial Dzyaloshinskii-Moriya interaction in exchange biased Pt/Co/NixOy films. Appl. Surf. Sci. 2020, 543, 148720. [Google Scholar] [CrossRef]
- Guang, Y.; Bykova, I.; Liu, Y.; Yu, G.; Goering, E.; Weigand, M.; Gräfe, J.; Kim, S.K.; Zhang, J.; Zhang, H.; et al. Creating zero-field skyrmions in exchange-biased multilayers through X-ray illumination. Nat. Commun. 2020, 11, 1–6. [Google Scholar] [CrossRef] [PubMed]
- Yu, G.; Jenkins, A.; Jiang, W.; Han, X.; Li, X.; Jayich, A.C.B.; Amiri, P.K.; Wang, K.L.; Ma, X.; Razavi, S.A.; et al. Room-temperature skyrmions in an antiferromagnet-based heterostructure. Nano Lett. 2018, 18, 980–986. [Google Scholar] [CrossRef] [PubMed]
- Rana, K.G.; Finco, A.; Denneulin, T.; Dunin-Borkowski, R.E.; Gaudin, G.; Jacques, V.; Boulle, O.; Fabre, F.; Chouaieb, S.; Haykal, A.; et al. Room-temperature skyrmions at zero field in exchange-biased ultrathin films. Phys. Rev. Appl. 2020, 13, 044079. [Google Scholar] [CrossRef]
- Polenciuc, I.; Vick, A.J.; Allwood, D.A.; Hayward, T.J.; Vallejo-Fernandez, G.; O’Grady, K.; Hirohata, A. Domain wall pinning for racetrack memory using exchange bias. Appl. Phys. Lett. 2014, 105, 162406. [Google Scholar] [CrossRef]
- Parkin, S.S.P.; Hayashi, M.; Thomas, L. Magnetic domain-wall racetrack memory. Science 2008, 320, 190–194. [Google Scholar] [CrossRef]
- Zhang, Y.; Zhang, X.; Hu, J.; Nan, J.; Zheng, Z.; Zhang, Z.; Zhang, Y.; Vernier, N.; Ravelosona, D.; Zhao, W. Ring-shaped Racetrack memory based on spin orbit torque driven chiral domain wall motions. Sci. Rep. 2016, 6, 35062. [Google Scholar] [CrossRef]
- Sort, J.; Dieny, B.; Nogués, J. Exchange bias in antiferromagnetic-ferromagnetic-antiferromagnetic structures with out-of-plane magnetization. Phys. Rev. B 2005, 72, 104412. [Google Scholar] [CrossRef]
- Stamps, R.L. Mechanisms for exchange bias. J. Phys. D Appl. Phys. 2000, 33, R247–R268. [Google Scholar] [CrossRef]
- Jiang, J.; Xiu, X.; Wen, K.; Cao, W.; He, Y.; Wang, S. Perpendicular magnetic anisotropy of Pd/Co55Mn25Si20/NiO/Pd sputtering films. J. Magn. Magn. Mater. 2020, 505, 166709. [Google Scholar] [CrossRef]
- Doudin, B.; Redmond, G.; Gilbert, S.E.; Ansermet, J.-P. Magnetoresistance governed by fluctuations in ultrasmall NI/NIO/Co junctions. Phys. Rev. Lett. 1997, 79, 933–936. [Google Scholar] [CrossRef]
- Yang, H.; Yang, S.-H.; Qi, D.-C.; Rusydi, A.; Kawai, H.; Saeys, M.; Leo, T.; Smith, D.J.; Parkin, S.S.P. Negative tunneling magnetoresistance by canted magnetization inMgo/NioTunnel barriers. Phys. Rev. Lett. 2011, 106, 167201. [Google Scholar] [CrossRef] [PubMed]
- Wang, H.; Du, C.; Hammel, P.C.; Yang, F. Antiferromagnonic spin transport fromY3Fe5O12into NiO. Phys. Rev. Lett. 2014, 113, 097202. [Google Scholar] [CrossRef] [PubMed]
- Głowiński, H.; Lisiecki, F.; Kuświk, P.; Dubowik, J.; Stobiecki, F. Influence of adjacent layers on the damping of magnetization precession in CoxFe100-x films. J. Alloy. Compd. 2019, 785, 891–896. [Google Scholar] [CrossRef]
- Moriyama, T.; Takei, S.; Nagata, M.; Yoshimura, Y.; Matsuzaki, N.; Terashima, T.; Tserkovnyak, Y.; Ono, T. Anti-damping spin transfer torque through epitaxial nickel oxide. Appl. Phys. Lett. 2015, 106, 162406. [Google Scholar] [CrossRef]
- Wei, L.; Hu, Z.; Zheng, R.; Hu, Y.; Du, J.; Du, G.; Yuan, Y.; Wang, J.; Tu, H.; You, B.; et al. Full electric control of exchange bias at room temperature by resistive switching. Adv. Mater. 2018, 30. [Google Scholar] [CrossRef]
- Kuświk, P.; Szymański, B.; Anastaziak, B.; Matczak, M.; Urbaniak, M.; Ehresmann, A.; Stobiecki, F. Enhancement of perpendicular magnetic anisotropy of Co layer in exchange-biased Au/Co/NiO/Au polycrystalline system. J. Appl. Phys. 2016, 119, 215307. [Google Scholar] [CrossRef]
- Grochot, K.; Karwacki, Ł.; Łazarski, S.; Skowroński, W.; Kanak, J.; Powroźnik, W.; Kuświk, P.; Kowacz, M.; Stobiecki, F.; Stobiecki, T. Current-induced magnetization switching of exchange-biased NiO heterostructures characterized by spin-orbit torque. Phys. Rev. Appl. 2021, 15, 014017. [Google Scholar] [CrossRef]
- Jamet, J.-P.; Lemerle, S.; Meyer, P.; Ferré, J.; Bartenlian, B.; Bardou, N.; Chappert, C.; Veillet, P.; Rousseaux, F.; Decanini, D.; et al. Dynamics of the magnetization reversal in Au/Co/Au micrometer-size dot arrays. Phys. Rev. B 1998, 57, 14320–14331. [Google Scholar] [CrossRef]
- Pommier, J.; Meyer, P.; Pénissard, G.; Ferré, J.; Bruno, P.; Renard, D. Magnetization reversal in ultrathin ferromagnetic films with perpendicular anistropy: Domain observations. Phys. Rev. Lett. 1990, 65, 2054–2057. [Google Scholar] [CrossRef]
- Kisielewski, M.; Tekielak, M.; Wawro, A.; Baczewski, L.T.; Maziewski, A. New possibilities for tuning ultrathin cobalt film magnetic properties by a noble metal overlayer. Phys. Rev. Lett. 2002, 89, 087203. [Google Scholar] [CrossRef] [PubMed]
- Gweon, H.K.; Lim, S.H. Evolution of strong second-order magnetic anisotropy in Pt/Co/MgO trilayers by post-annealing. Appl. Phys. Lett. 2020, 117, 082403. [Google Scholar] [CrossRef]
- Gweon, H.K.; Park, H.-J.; Kim, K.-W.; Lee, K.-J.; Lim, S.H. Intrinsic origin of interfacial second-order magnetic anisotropy in ferromagnet/normal metal heterostructures. NPG Asia Mater. 2020, 12, 1–6. [Google Scholar] [CrossRef]
- Kuświk, P.; Stobiecki, F.; Szymański, B.; Urbaniak, M.; Falkowski, M.; Jagielski, J.; Mazalski, P. Effect of He ions irradiation on anisotropy and magnetoresistance of (NiFe/Au/Co/Au)10 multilayers. Nucl. Instr. Met. Phys. Res. Sect. B Beam Interact. Mater. Atoms 2012, 272, 88–91. [Google Scholar] [CrossRef]
- Dieny, B.; Chshiev, M. Perpendicular magnetic anisotropy at transition metal/oxide interfaces and applications. Rev. Mod. Phys. 2017, 89, 025008. [Google Scholar] [CrossRef]
- Chen, X.; Feng, C.; Wu, Z.L.; Yang, F.; Liu, Y.; Jiang, S.; Li, M.H.; Yu, G.H. Interfacial oxygen migration and its effect on the magnetic anisotropy in Pt/Co/MgO/Pt films. Appl. Phys. Lett. 2014, 104, 052413. [Google Scholar] [CrossRef]
- Ehresmann, A.; Junk, D.; Engel, D.; Paetzold, A.; Roll, K. On the origin of ion bombardment induced exchange bias modifications in polycrystalline layers. J. Phys. D Appl. Phys. 2005, 38, 801–806. [Google Scholar] [CrossRef]
- Kuświk, P.; Gaul, A.; Urbaniak, M.; Schmidt, M.; Aleksiejew, J.; Ehresmann, A.; Stobiecki, F. Tailoring perpendicular exchange bias coupling in AU/Co/NiO systems by Ion bombardment. Nanomaterials 2018, 8, 813. [Google Scholar] [CrossRef] [PubMed]
- Takano, M.; Terashima, T.; Bando, Y.; Ikeda, H. Neutron diffraction study of artificial CoO-NiO superlattices. Appl. Phys. Lett. 1987, 51, 205–206. [Google Scholar] [CrossRef]
- Kuch, W.; Chelaru, L.I.; Offi, F.; Wang, J.; Kotsugi, M.; Kirschner, J. Tuning the magnetic coupling across ultrathin antiferromagnetic films by controlling atomic-scale roughness. Nat. Mater. 2006, 5, 128–133. [Google Scholar] [CrossRef] [PubMed]






| Steps | (K) | (mT) |
|---|---|---|
| 1st | 350 | +170 |
| 2nd | 450 | +170 |
| 3rd | 350 | −170 |
| 4th | 450 | −170 |
| System | (MJ/m3) | (mJ/m2) | (nm) |
|---|---|---|---|
| NiOb/Co/Au | −0.73 ± 0.01 | 0.68 ± 0.01 | 0.93 ± 0.01 |
| NiOb/Co/ NiOt | −0.73 ± 0.01 | 0.74 ± 0.01 | 1.01 ± 0.01 |
| Au/Co/Au [36] | −0.58 | 0.65 | 1.12 |
| Au/Co/NiO/Au [36] | −1.06 | 1.4 | 1.32 |
Publisher’s Note: MDPI stays neutral with regard to jurisdictional claims in published maps and institutional affiliations. |
© 2021 by the authors. Licensee MDPI, Basel, Switzerland. This article is an open access article distributed under the terms and conditions of the Creative Commons Attribution (CC BY) license (http://creativecommons.org/licenses/by/4.0/).
Share and Cite
Kowacz, M.; Anastaziak, B.; Schmidt, M.; Stobiecki, F.; Kuświk, P. Strong Interfacial Perpendicular Magnetic Anisotropy in Exchange-Biased NiO/Co/Au and NiO/Co/NiO Layered Systems. Materials 2021, 14, 1237. https://doi.org/10.3390/ma14051237
Kowacz M, Anastaziak B, Schmidt M, Stobiecki F, Kuświk P. Strong Interfacial Perpendicular Magnetic Anisotropy in Exchange-Biased NiO/Co/Au and NiO/Co/NiO Layered Systems. Materials. 2021; 14(5):1237. https://doi.org/10.3390/ma14051237
Chicago/Turabian StyleKowacz, Mateusz, Błażej Anastaziak, Marek Schmidt, Feliks Stobiecki, and Piotr Kuświk. 2021. "Strong Interfacial Perpendicular Magnetic Anisotropy in Exchange-Biased NiO/Co/Au and NiO/Co/NiO Layered Systems" Materials 14, no. 5: 1237. https://doi.org/10.3390/ma14051237
APA StyleKowacz, M., Anastaziak, B., Schmidt, M., Stobiecki, F., & Kuświk, P. (2021). Strong Interfacial Perpendicular Magnetic Anisotropy in Exchange-Biased NiO/Co/Au and NiO/Co/NiO Layered Systems. Materials, 14(5), 1237. https://doi.org/10.3390/ma14051237

