Helmet Phthalocyaninato Iron Complex as a Primary Drier for Alkyd Paints
Abstract
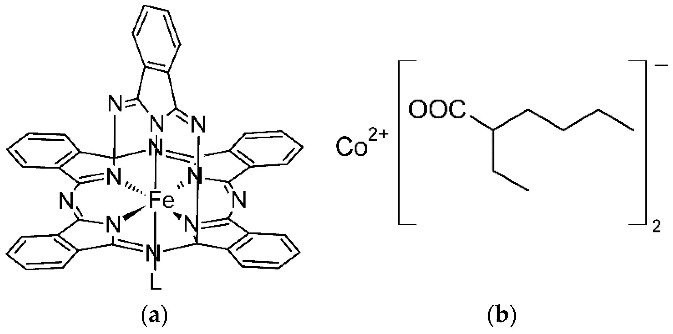
1. Introduction
2. Materials and Methods
2.1. Preparation of Test Formulations
2.2. Measurements of Drying Time
2.3. Determination of the Film Hardness
2.4. MEK Resistance and Dry Film Thickness
2.5. Infrared and Raman Spectroscopy
2.6. Measurements of Film Coloration
3. Results and Discussion
3.1. Mechanical Tests on Test Coatings
3.2. Characterization of the Binders by Vibration Spectroscopy
3.3. Investigation of the Autoxidation Kinetics on Test Coatings
3.4. Coloration of Test Coatings
4. Conclusions
Supplementary Materials
Author Contributions
Funding
Institutional Review Board Statement
Informed Consent Statement
Data Availability Statement
Conflicts of Interest
References
- Bottari, G.; de la Torre, G.; Guldi, D.M.; Torres, T. Covalent and Noncovalent Phthalocyanine−Carbon Nanostructure Systems: Synthesis, Photoinduced Electron Transfer, and Application to Molecular Photovoltaics. Chem. Rev. 2010, 110, 6768–6816. [Google Scholar] [CrossRef]
- Sorokin, A.B. Phthalocyanine metal complexes in catalysis. Chem. Rev. 2013, 113, 8152–8191. [Google Scholar] [CrossRef] [PubMed]
- Kieler, H.M.; Bierman, M.J.; Guzei, I.A.; Liska, P.J.; McGaff, R.W. Racemic iron(III) and cobalt(III) complexes containing a new pentadente “helmet” phthalocyaninato ligand. Chem. Commun. 2006, 31, 3326–3328. [Google Scholar] [CrossRef]
- Brash, A.R. Lipoxygenases: Occurrence, functions, catalysis, and acquisition of substrate. J. Biol. Chem. 1999, 274, 23679–23682. [Google Scholar] [CrossRef]
- Skobelev, I.Y.; Kudrik, E.V.; Zalomaeva, O.V.; Albrieux, F.; Afanasiev, P.; Kholdeeva, O.A.; Sorokin, A.B. Efficient epoxidation of olefins by H2O2 catalyzed by iron “helmet” phthalocyanines. Chem. Commun. 2013, 49, 5577–5579. [Google Scholar] [CrossRef]
- McGaff, R.W. Bridged Phthalocyanine-and Napththalocyanine—Metal Complex Catalysts and Methods of Using and Purifying the Same. US Patent Application No. 0022233 A1, 26 January 2017. [Google Scholar]
- Brown, E.S.; Robinson, J.R.; McCoy, A.M.; McGaff, R.W. Efficient catalytic cycloalkane oxidation employing a “helmet” phthalocyaninato iron(III) complex. Dalton Trans. 2011, 40, 5921–5925. [Google Scholar] [CrossRef]
- Peterson, B.M.; Herried, M.E.; Neve, R.L.; McGaff, R.W. Oxidation of primary and secondary benzylic alcohols with hydrogen peroxide and tert-butyl hydroperoxide catalyzed by a “helmet” phthalocyaninato iron complex in the absence of added organic solvent. Dalton Trans. 2014, 43, 17899–17903. [Google Scholar] [CrossRef]
- Neve, R.L.; Eidenschink, M.C.; Guzei, I.A.; Peterson, B.M.; Vang, G.M.; McGaff, R.W. Homogeneous catalytic oxidation of unactivated primary and secondary alcohols employing a versatile “Helmet” phthalocyaninato iron complex catalyst without added organic solvent. ChemistrySelect 2016, 1, 5182–5186. [Google Scholar] [CrossRef]
- Dubrulle, L.; Lebeuf, R.; Nardello-Rataj, V. Oxidative drying properties of a helmet pentadentate phthalocyanine-derived iron(III) complex. Prog. Org. Coat. 2019, 131, 364–370. [Google Scholar] [CrossRef]
- Honzíček, J. Curing of Air-Drying Paints: A Critical Review. Ind. Eng. Chem. Res. 2019, 58, 12485–12505. [Google Scholar] [CrossRef]
- Hofland, A. Alkyd resins: From down and out to alive and kicking. Prog. Org. Coat. 2012, 73, 274–282. [Google Scholar] [CrossRef]
- Leyssens, L.; Vinck, B.; Van Der Straeten, C.; Wuyts, F.; Maes, L. Cobalt toxicity in humans—A review of the potential sources and systemic health effects. Toxicology 2017, 378, 43–56. [Google Scholar] [CrossRef]
- Simpson, N.; Maaijen, K.; Roelofsen, Y.; Hage, R. The Evolution of Catalysis for Alkyd Coatings: Responding to Impending Cobalt Reclassification with Very Active Iron and Manganese Catalysts, Using Polydentate Nitrogen Donor Ligands. Catalysts 2019, 9, 825. [Google Scholar] [CrossRef]
- Bouwman, E.; van Gorkum, R. A study of new manganese complexes as potential driers for alkyd paints. J. Coat. Technol. Res. 2007, 4, 491–503. [Google Scholar] [CrossRef]
- Wu, J.Z.; Bouwman, E.; Reedijk, J. Chelating ligands as powerful additives to manganese driers for solvent-borne and water-borne alkyd paints. Prog. Org. Coat. 2004, 49, 103–108. [Google Scholar] [CrossRef]
- Matušková, E.; Honzíček, J. Performance of Manganese(III) Acetylacetonate in Solvent-Borne and High-Solid Alkyd Formulations. Materials 2020, 13, 642. [Google Scholar] [CrossRef]
- Preininger, O.; Honzíček, J.; Kalenda, P.; Vinklárek, J. Drying activity of oxovanadium(IV) 2-ethylhexanoate in solvent-borne alkyd paints. J. Coat. Technol. Res. 2016, 13, 479–487. [Google Scholar] [CrossRef]
- Charamzová, I.; Honzíček, J.; Kalenda, P.; Vinklárek, J.; Císařová, I. Dimeric Oxidovanadium(IV) Complex Bearing 1,10-Phenanthroline. Crystallogr. Rep. 2020, 65, 1129–1132. [Google Scholar] [CrossRef]
- Preininger, O.; Vinklárek, J.; Honzíček, J.; Mikysek, T.; Erben, M. A promising drying activity of environmentally friendly oxovanadium(IV) complexes in air-drying paints. Prog. Org. Coat. 2015, 88, 191–198. [Google Scholar] [CrossRef]
- Preininger, O.; Charamzová, I.; Vinklárek, J.; Císařová, I.; Honzíček, J. Oxovanadium(IV) complexes bearing substituted pentane-2,4-dionate ligands: Synthesis, structure and drying activity in solvent-borne alkyd paints. Inorg. Chim. Acta 2017, 462, 16–22. [Google Scholar] [CrossRef]
- Charamzová, I.; Machálková, A.; Vinklárek, J.; Císařová, I.; Honzíček, J. Benzyl substituted oxidovanadium (IV) pentane-2, 4-dionates: Synthesis, structure and drying properties. Inorg. Chim. Acta 2019, 492, 243–248. [Google Scholar] [CrossRef]
- Charamzová, I.; Vinklárek, J.; Kalenda, P.; Císařová, I.; Honzíček, J. Oxidovanadium(V) dithiocarbamates as driers for alkyd binders. J. Coat. Technol. Res. 2020, 17, 1113–1122. [Google Scholar] [CrossRef]
- de Boer, J.W.; Wesenhagen, P.V.; Wenker, E.C.; Maaijen, K.; Gol, F.; Gibbs, H.; Hage, R. The Quest for Cobalt-Free Alkyd Paint Driers. Eur. J. Inorg. Chem. 2013, 3581–3591. [Google Scholar] [CrossRef]
- Charamzová, I.; Vinklárek, J.; Honzíček, J. Effect of primary driers on oxidative drying of high-solid alkyd binder: Investigation of thickness effects by mechanical tests and infrared spectroscopy. Prog. Org. Coat. 2018, 125, 177–185. [Google Scholar] [CrossRef]
- Křižan, M.; Vinklárek, J.; Erben, M.; Císařová, I.; Honzíček, J. Autoxidation of alkyd resins catalyzed by iron(II) bispidine complex: Drying performance and in-depth infrared study. Prog. Org. Coat. 2017, 111, 361–370. [Google Scholar] [CrossRef]
- Křižan, M.; Vinklárek, J.; Erben, M.; Růžičková, Z.; Honzíček, J. Iron(II) complex with modified bispidine ligand: Synthesis and catalytic alkyd drying. Inorg. Chim. Acta 2019, 486, 636–641. [Google Scholar] [CrossRef]
- Erben, M.; Veselý, D.; Vinklárek, J.; Honzíček, J. Acyl-substituted ferrocenes as driers for solvent-borne alkyd paints. J. Mol. Catal. A Chem. 2012, 353–354, 13–21. [Google Scholar] [CrossRef]
- Honzíček, J.; Fedorova, T.; Vinklárek, J.; Mikysek, T.; Císařová, I. Modified Ferrocenes as Primary Driers for Formulations of Alkyd Paints. Coatings 2020, 10, 873. [Google Scholar] [CrossRef]
- AKZO Nobel Coatings International, B.V. Coating Composition Comprising an Autoxidizable Resin and an Iron–ligand Complex, Substrate Coated with Such Coating Composition, and Use of Such Iron–ligand complex. WO Patent 001410 A1, 7 January 2021. [Google Scholar]
- ASTM D5895-20. Standard Test Methods for Evaluating Drying or Curing During Film Formation of Organic Coatings Using Mechanical Recorders; ASTM International: West Conshohocken, PA, USA, 2020. [Google Scholar]
- ISO 1522:2006. Paints and Varnishes—Pendulum Damping Test; International Organization for Standardization: Genève, Switzerland, 2007. [Google Scholar]
- ASTM D4752-20. Standard Practice for Measuring MEK Resistance of Ethyl Silicate (Inorganic) Zinc-Rich Primers by Solvent Rub; ASTM International: West Conshohocken, PA, USA, 2020. [Google Scholar]
- ISO 2808:2007. Paints and Varnishes—Determination of Film Thickness; International Organization for Standardization: Genève, Switzerland, 2007. [Google Scholar]
- Socrates, G. Infrared and Raman Characteristic Group Frequencies: Tables and Charts; JWS: Chichester, West Sussex, UK, 2001. [Google Scholar]
- Ellis, G.; Claybourn, M.; Richards, S.E. The application of Fourier transform Raman spectroscopy to the study of paint systems. Spectrochim. Acta Part A 1990, 46, 227–241. [Google Scholar] [CrossRef]
- De Viguerie, L.; Payard, P.A.; Portero, E.; Walter, P.; Cotte, M. The drying of linseed oil investigated by Fourier transform infrared spectroscopy: Historical recipes and influence of lead compounds. Prog. Org. Coat. 2016, 93, 46–60. [Google Scholar] [CrossRef]
- Börzel, H.; Comba, P.; Hagen, K.S.; Lampeka, Y.D.; Lienke, A.; Linti, G.; Merz, M.; Pritzkow, H.; Tsymbal, L.V. Iron coordination chemistry with tetra-, penta- and hexadentate bispidine-type ligands. Inorg. Chim. Acta 2002, 337, 407–419. [Google Scholar] [CrossRef]






| Binder | Drier | C (%) | τ2 (h) | τ3 (h) | τ4 (h) | Hrel;10d (%) | Hrel;100d (%) |
|---|---|---|---|---|---|---|---|
| S471 | Fe-diiPc | 0.01 | 0.3 | 5.2 | 7.5 | 19.3 | 36.6 |
| 0.006 | 0.5 | 4.2 | 5.8 | 18.6 | 35.1 | ||
| 0.003 | 1.1 | 2.7 | 4.3 | 16.0 | 31.7 | ||
| 0.001 | 8.0 | 15.5 | 15.5 | 23.5 | 39.9 | ||
| Co-2EH | 0.1 | 0.9 | 6.5 | 12.5 | 11.1 | 41.1 | |
| 0.06 | 2.5 | 7.0 | >24 | 18.4 | 46.5 | ||
| 0.03 | 9.8 | 11.3 | >24 | 27.2 | 47.6 | ||
| 0.01 | >24 | >24 | >24 | 14.7 | 38.9 | ||
| S622 | Fe-diiPc | 0.01 | 0.9 | 2.6 | 3.8 | 9.4 | 16.9 |
| 0.006 | 2.0 | 4.3 | 6.8 | 10.8 | 18.7 | ||
| 0.003 | 4.7 | 8.2 | 8.2 | 11.2 | 18.6 | ||
| 0.001 | 9.7 | 21.7 | 21.7 | 9.8 | 17.0 | ||
| Co-2EH | 0.1 | 1.7 | 7.0 | 14.7 | 18.8 | 39.9 | |
| 0.06 | 2.8 | 9.0 | 12.3 | 17.4 | 39.0 | ||
| 0.03 | 6.6 | 10.5 | 12.7 | 16.8 | 35.7 | ||
| 0.01 | 16.2 | 19.9 | >24 | 14.0 | 30.6 |
| Binder | Drier | C (%) | τ1 (h) | τ2 (h) | τ3 (h) | τ4 (h) | Hrel;10d (%) | Hrel;100d (%) |
|---|---|---|---|---|---|---|---|---|
| FP07 | Fe-diiPc | 0.01 | 1.5 | 3.9 | 8.3 | 8.3 | 6.6 | 7.6 |
| 0.006 | 2.3 | 5.5 | 11.4 | >24 | 6.5 | 7.1 | ||
| 0.003 | 5.2 | 14.5 | >24 | >24 | 6.9 | 7.8 | ||
| 0.001 | 13.0 | >24 | >24 | >24 | – 3 | – 3 | ||
| Co-2EH | 0.1 | 0.8 | 2.5 | 20.6 | >24 | 8.8 | 16.4 | |
| 0.06 | 0.8 | 3.0 | 12.0 | >24 | 7.4 | 13.5 | ||
| 0.03 | 1.6 | 4.7 | 11.7 | >24 | 6.5 | 11.9 | ||
| 0.01 | 2.7 | 4.9 | 11.3 | 14.7 | 5.9 | 9.1 | ||
| TI870 | Fe-diiPc | 0.01 | 2.7 | 8.2 | 11.9 | >24 | 6.4 | 6.9 |
| 0.006 | 5.1 | 8.0 | 18.0 | >24 | 6.2 | 6.7 | ||
| 0.003 | 12.9 | >24 | >24 | >24 | 6.8 | 7.2 | ||
| 0.001 | >24 | >24 | >24 | >24 | – 3 | – 3 | ||
| Co-2EH | 0.1 | 0.5 | 3.3 | >24 | >24 | 10.7 | 25.4 | |
| 0.06 | 0.7 | 2.6 | 15.3 | >24 | 9.1 | 21.8 | ||
| 0.03 | 1.2 | 4.3 | 12.6 | >24 | 6.9 | 17.9 | ||
| 0.01 | 2.7 | 4.0 | 7.8 | >24 | 6.5 | 13.0 |
| Drier | C (%) | S471 | S622 | FP07 | TI870 |
|---|---|---|---|---|---|
| Fe-diiPc | 0.01 | 42 (44) | 39 (50) | 43 (29) | 40 (26) |
| 0.006 | 39 (49) | 50 (38) | 58 (31) | 49 (32) | |
| 0.003 | 50 (61) | 51 (37) | 38 (25) | 46 (27) | |
| 0.001 | 37 (33) | 58 (51) | – 2 | – 2 | |
| Co-2EH | 0.1 | 50 (64) | 42 (40) | 39 (33) | 47 (32) |
| 0.06 | 53 (46) | 57 (38) | 40 (30) | 52 (30) | |
| 0.03 | 46 (45) | 46 (38) | 47 (39) | 51 (36) | |
| 0.01 | 59 (62) | 48 (41) | 45 (38) | 48 (23) |
| Sign | IR | Raman | IR | Raman | Assignment |
|---|---|---|---|---|---|
| Fresh sample | Cured sample | ||||
| a | 3520 m-br | – | 3490 m-br | – | ν(O–H) |
| b | 3068 vw | 3073 s | 3071 vw | 3074 s | ν(C–H, arom.) |
| c | 3008 w | 3010 w | – | – | νa(cis-C=C–H) |
| d | 2954 wv | 2961 vw | 2958 sh | 2958 vw | νa(C–H, CH3) |
| e | 2924 s | 2930 vw | 2927 m | 2934 vw | νa(C–H, CH2) |
| f | – | 2901 vs | – | 2904 vs | νs(C–H, CH3) |
| g | 2854 m | 2854 w | 2855 w | 2858 vw | νs(C–H, CH2) |
| h | 1723 vs | 1727 m | 1720 vs | 1725 m | ν(C=O) |
| i | – | 1657 m | – | – | ν(cis-C=C–H) |
| j | 1600 w | 1602 s | 1600 w | 1602 s | ν(C=C, arom.) |
| k | 1580 w | 1582 w | 1581 w | 1583 w | ν(C=C, arom.) |
| l | 1466 m | 1455 sh | 1465 m | 1454 vw | δ(C–H, CH3/CH2) |
| m | 1451 m | 1442 m | 1451 m | 1444 m | δ(C–H, CH3/CH2) |
| n | – | 1301 m | – | 1300 m | δ(C–H, CH2) |
| o | 1258 vs | – | 1254 vs | – | ν(C–O, ester) |
| p | 1116 s | – | 1115 s | – | ν(C–O, ester) |
| q | 1070 s | – | 1068 s | – | ν(C–O, ester) |
| r | 1040 w | 1042 m | 1041 w | 1043 m | νs(C=C, arom., 1,2-disubst.) |
| s | – | 1004 m | – | 1005 m | νs(C=C, arom., 1,3-disubst.) |
| t | 741 s | – | 741 s | – | δ(C–H, arom.) |
| u | 710 s | – | 711 s | – | δ(C=C, arom.)/δ(cis-C=C–H) |
| Drier | Run | C (%) | tind (h) | kmax (h−1) | t1/2 (h) |
|---|---|---|---|---|---|
| Fe-diiPc | A | 0.01 | <0.1 | 1.43 | 0.6 |
| B | 0.006 | <0.1 | 1.12 | 0.7 | |
| C | 0.003 | 0.1 | 0.94 | 0.9 | |
| D | 0.001 | 0.6 | 0.40 | 2.7 | |
| E | 0.0006 | 1.7 | 0.22 | 6.2 | |
| F | 0.0003 | 2.3 | 0.17 | 8.4 | |
| Co-2EH | A | 0.1 | 0.4 | 2.12 | 0.7 |
| B | 0.06 | 0.5 | 1.55 | 0.9 | |
| C | 0.03 | 2.8 | 1.08 | 3.4 | |
| D | 0.01 | 6.1 | 0.57 | 7.4 | |
| E | 0.006 | 19.7 | 0.32 | 21.9 | |
| F | 0.003 | 64.2 | 0.15 | 69.0 |
| Drier | C (wt.%) | *L | *a | *b |
|---|---|---|---|---|
| Fe-diiPc | 0.01 | 96.2 | −0.81 | 5.65 |
| 0.006 | 97.5 | −0.40 | 2.97 | |
| 0.003 | 98.0 | −0.18 | 1.64 | |
| 0.001 | 99.1 | −0.08 | 0.64 | |
| Co-2EH | 0.1 | 99.0 | −0.17 | 1.06 |
| 0.06 | 98.9 | −0.11 | 0.70 | |
| 0.03 | 99.7 | −0.09 | 0.52 | |
| 0.01 | 99.7 | −0.11 | 0.46 |
Publisher’s Note: MDPI stays neutral with regard to jurisdictional claims in published maps and institutional affiliations. |
© 2021 by the authors. Licensee MDPI, Basel, Switzerland. This article is an open access article distributed under the terms and conditions of the Creative Commons Attribution (CC BY) license (http://creativecommons.org/licenses/by/4.0/).
Share and Cite
Honzíček, J.; Matušková, E.; Voneš, Š.; Vinklárek, J. Helmet Phthalocyaninato Iron Complex as a Primary Drier for Alkyd Paints. Materials 2021, 14, 1220. https://doi.org/10.3390/ma14051220
Honzíček J, Matušková E, Voneš Š, Vinklárek J. Helmet Phthalocyaninato Iron Complex as a Primary Drier for Alkyd Paints. Materials. 2021; 14(5):1220. https://doi.org/10.3390/ma14051220
Chicago/Turabian StyleHonzíček, Jan, Eliška Matušková, Štěpán Voneš, and Jaromír Vinklárek. 2021. "Helmet Phthalocyaninato Iron Complex as a Primary Drier for Alkyd Paints" Materials 14, no. 5: 1220. https://doi.org/10.3390/ma14051220
APA StyleHonzíček, J., Matušková, E., Voneš, Š., & Vinklárek, J. (2021). Helmet Phthalocyaninato Iron Complex as a Primary Drier for Alkyd Paints. Materials, 14(5), 1220. https://doi.org/10.3390/ma14051220

