Frost Resistance and Pore Structure of Concrete Incorporated with Rubber Aggregates and Nano-SiO2
Abstract
1. Introduction
2. Experimental Program
2.1. Raw Materials and Mix Proportion
2.2. Testing Methods
2.2.1. Freeze–Thaw Cycle Test
2.2.2. Pore Structure
2.2.3. Scanning Electron Microscope (SEM) Test
3. Results Analysis
3.1. Microstructure of the Concrete
3.2. Mass Loss and Relative Dynamic Modulus of Elasticity
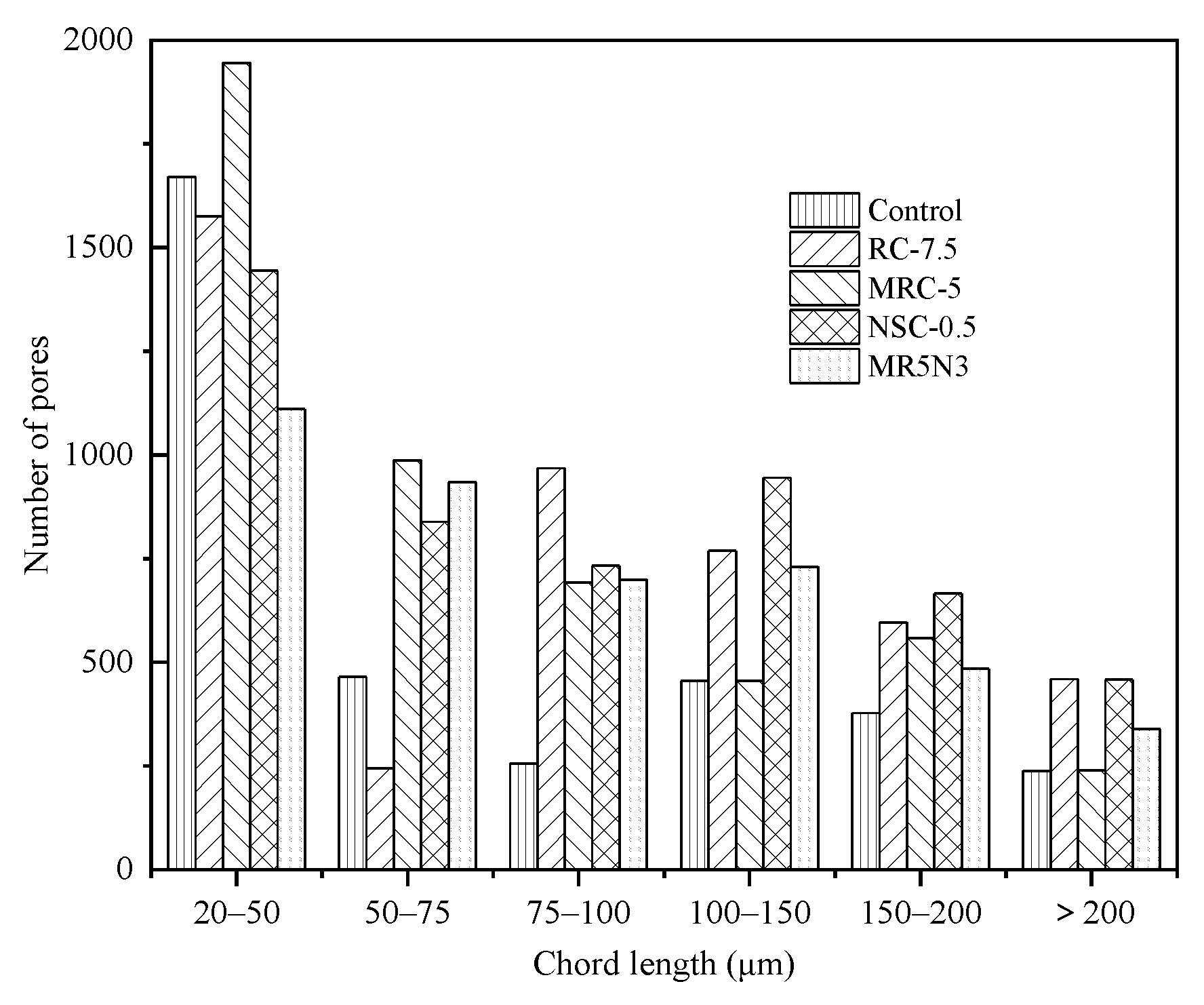
3.3. Chord Length Distribution of Pores
3.4. Specific Surface Area of Pores
3.5. Air Content
3.6. Average Pore Spacing Coefficient
4. Conclusions
- The addition of an appropriate content of rubber aggregates could greatly improve the frost resistance of concrete, but usually decreases the mechanical strength. It is necessary to add nano-SiO2 to partially compensate for the strength loss. The silanization of the rubber could further enhance the interfacial bond between the rubber and the matrix, thus improving strength and frost resistance.
- Considering both compressive strength and frost resistance, concrete incorporated with 5% silanized rubber and 3% nano-SiO2 is the best modified mixture, which is recommended for developing frost-resistant concrete.
- The damage degree develops with the increase in freeze–thaw cycles, resulting in the continuous reduction of mass loss and the dynamic modulus of elasticity. The highly elastic rubber improves the stiffness, pore size and distribution, which thus significantly increase frost resistance.
- A more homogenous pore distribution can withstand a higher expansion pressure generated by freezing, which contributes to a better frost resistance. With the increase in freeze–thaw cycles, both pore area and diameter increase, and the increased degree of the pore diameter is more remarkable than that of the area.
- The pore structure and frost resistance can be characterized by the chord length, specific surface area, air content and average pore spacing coefficient. This research proposes to comprehensively utilize those parameters as quantitative evaluation indexes of frost resistance.
Author Contributions
Funding
Institutional Review Board Statement
Informed Consent Statement
Data Availability Statement
Conflicts of Interest
References
- Sharafutdinov, E.; Shon, C.-S.; Zhang, D.; Chung, C.-W.; Kim, J.; Bagitova, S. Frost resistance number to assess freeze and thaw resistance of non-autoclaved aerated concretes containing ground granulated blast-furnace slag and micro-silica. Materials 2019, 12, 4151. [Google Scholar] [CrossRef] [PubMed]
- Fu, Y.; Cai, L.; Yonggen, W. Freeze–thaw cycle test and damage mechanics models of alkali-activated slag concrete. Constr. Build. Mater. 2011, 25, 3144–3148. [Google Scholar] [CrossRef]
- Guo, B.L. Relational analysis of air voids characteristic parameters of hardened concrete and freezing-thawing durability. J. Highw. Transp. Res. Dev. 2013, 30, 80–85. [Google Scholar]
- Hasholt, M.T.; Christensen, K.U.; Pade, C. Frost resistance of concrete with high contents of fly ash—A study on how hollow fly ash particles distort the air void analysis. Cem. Concr. Res. 2019, 119, 102–112. [Google Scholar] [CrossRef]
- Fuyuan, G.; Koichi, M. Multi-scale simulation of freeze-thaw damage to RC column and its restoring force characteristics. Eng. Struct. 2018, 156, 522–536. [Google Scholar]
- Powers, T.C. The air requirement of frost resistant concrete. Proc. Highw. Res. Board 1949, 29, 184–211. [Google Scholar]
- Wang, Z.; Zeng, Q.; Wu, Y.; Wang, L.; Yao, Y.; Li, K. Relative humidity and deterioration of concrete under freeze-thaw load. Constr. Build. Mater. 2014, 62, 18–27. [Google Scholar] [CrossRef]
- Kim, K.Y.; Yun, T.S.; Choo, J.; Kang, D.H.; Shin, H.S. Determination of air-void parameters of hardened cement-based materials using X-ray computed tomography. Constr. Build. Mater. 2012, 37, 93–101. [Google Scholar] [CrossRef]
- Cheng, Y.; Huang, F.; Qi, S.; Li, W.; Liu, R.; Li, G. Durability of concrete incorporated with siliceous iron tailings. Constr. Build. Mater. 2020, 242, 118147. [Google Scholar] [CrossRef]
- Zarauskas, L.; Skripkiūnas, G.; Girskas, G. Influence of Aggregate Granulometry on Air Content in Concrete Mixture and Freezing—Thawing Resistance of Concrete. Procedia Eng. 2017, 172, 1278–1285. [Google Scholar] [CrossRef]
- Zhang, R.; Liu, P.; Ma, L.; Yang, Z.; Chen, H.; Zhu, H.X.; Xiao, H.; Li, J. Research on the Corrosion/Permeability/Frost Resistance of Concrete by Experimental and Microscopic Mechanisms Under Different Water–Binder Ratios. Int. J. Concr. Struct. Mater. 2020, 14, 1–11. [Google Scholar] [CrossRef]
- Ahin, Y.; Akkaya, Y.; Tademir, M.A. Effects of freezing conditions on the frost resistance and microstructure of concrete. Constr. Build. Mater. 2020, 270, 121458. [Google Scholar]
- Zhao, Y.-R.; Wang, L.; Lei, Z.-K.; Han, X.-F.; Shi, J.-N. Study on bending damage and failure of basalt fiber reinforced concrete under freeze-thaw cycles. Constr. Build. Mater. 2018, 163, 460–470. [Google Scholar] [CrossRef]
- Hasholt, M.T. Air void structure and frost resistance: A challenge to Powers’ spacing factor. Mater. Struct. 2014, 47, 911–923. [Google Scholar] [CrossRef]
- Xu, J.-H.; Feng, X.-T.; Chen, S.-L. Effects of rubber aggregate on the frost resistance of concrete. Dongbei Daxue Xuebao J. Northeast. Univ. 2012, 33, 895–898. [Google Scholar]
- Zhu, T.K. Research on the Microstructure and Performance of Rubber Cement Mortar; Southeast University: Nanjing, China, 2015. [Google Scholar]
- Duan, P.; Shui, Z.; Chen, W.; Shen, C. Effects of metakaolin, silica fume and slag on pore structure, interfacial transition zone and compressive strength of concrete. Constr. Build. Mater. 2013, 44, 1–6. [Google Scholar] [CrossRef]
- Tang, J.; Zou, C.; Xue, H.; Niu, D.; Zheng, X.; Zhao, Q.; Jun, W. Study on pore evolution characteristics of double-doped molded bag concrete. Bull. Chin. Ceram. Soc. 2019, 38, 2274–2280. [Google Scholar]
- Qin, X.-C.; Meng, S.-P.; Cao, D.-F.; Tu, Y.-M.; Sabourova, N.; Grip, N.; Ohlsson, U.; Blanksvärd, T.; Sas, G.; Elfgren, L. Evaluation of freeze-thaw damage on concrete material and prestressed concrete specimens. Constr. Build. Mater. 2016, 125, 892–904. [Google Scholar] [CrossRef]
- GB/T50082-2009 Standard Method for Long Term Performance and Durability Test of Ordinary Concrete. Available online: https://max.book118.com/html/2019/0608/7130160052002032.shtm (accessed on 1 March 2021).
- Jarolím, T.; Brožovský, J.; Šácha, D.; Pizúrová, N. Influence of CNT Addition to the Frost Resistance of Concrete. Key Eng. Mater. 2018, 760, 30–34. [Google Scholar] [CrossRef]
- Leonid, D. Design estimation of concrete frost resistance. Constr. Build. Mater. 2019, 211, 779–784. [Google Scholar]
- Shen, Y.; Liu, J.; Zhou, S.; Li, G. Experimental investigation on the freeze–thaw durability of concrete under compressive load and with joints. Constr. Build. Mater. 2019, 229, 116893. [Google Scholar] [CrossRef]
- Federowicz, K.; Figueiredo, V.A.; Al-kroom, H.; Abdel-Gawwad, H.A.; Abd Elrahman, M.; Sikora, P. The Effects of Temperature Curing on the Strength Development, Transport Properties, and Freeze-Thaw Resistance of Blast Furnace Slag Cement Mortars Modified with Nanosilica. Materials 2020, 13, 5800. [Google Scholar] [CrossRef] [PubMed]
- Xu, J.Y.; Li, Z.C.; Luo, X. Comparative Study on the frost-resisting properties of rubber powder concrete. Bull. Chin. Ceram. Soc. 2014, 33, 800–805. [Google Scholar]
- Zhong, J.; Shi, J.; Shen, J.; Zhou, G.; Wang, Z. Investigation on the Failure Behavior of Engineered Cementitious Composites under Freeze-Thaw Cycles. Materials 2019, 12, 1808. [Google Scholar] [CrossRef]
- Li, J.; Han, X.Y. Effect of Microstructure Characteristics of Concrete on Durability. J. Lanzhou Inst. Technol. 2015, 22, 9–13. [Google Scholar]
- Krstic, M.; Davalos, J.F.; Rossi, E.; Figueiredo, S.C.; Copuroglu, O. Freeze-Thaw Resistance and Air-Void Analysis of Concrete with Recycled Glass–Pozzolan Using X-ray Micro-Tomography. Materials 2021, 14, 154. [Google Scholar] [CrossRef] [PubMed]
- Gorzelańczyk, T.; Schabowicz, K. Effect of Freeze-Thaw Cycling on the Failure of Fibre-Cement Boards, Assessed Using Acoustic Emission Method and Artificial Neural Network. Materials 2019, 12, 2181. [Google Scholar] [CrossRef] [PubMed]
- Wolter, S.; Uhre, F.A.H.; Hasholt, M.T.; Dahl, V.A.; Anton, F. Air void analysis of hardened concrete by means of photogrammetry. Constr. Build. Mater. 2019, 226, 953–964. [Google Scholar] [CrossRef]
- Eriksson, D.; Wahlbom, D.; Malm, R.; Fridh, K. Hygro-thermo-mechanical modeling of partially saturated air-entrained concrete containing dissolved salt and exposed to freeze-thaw cycles. Cem. Concr. Res. 2021, 141, 106314. [Google Scholar] [CrossRef]
- Gou, Y.; Zhang, L.; Liu, C.; Zhang, H.; Wei, C.; Cai, X.; Yang, H.; Guan, Q.; Zhai, S.; Liu, L. Investigation of freeze-thaw mechanism for crumb rubber concrete by the online strain sensor. Measurement 2021, 8, 109080. [Google Scholar] [CrossRef]
- Rosenqvist, M.; Pham, L.-W.; Terzic, A.; Fridh, K.; Hassanzadeh, M. Effects of interactions between leaching, frost action and abrasion on the surface deterioration of concrete. Constr. Build. Mater. 2017, 149, 849–860. [Google Scholar] [CrossRef]

















| Substance | CaO | SiO2 | Al2O3 | Fe2O3 | MgO | SO2 |
|---|---|---|---|---|---|---|
| % | 64.14 | 20.45 | 4.36 | 2.98 | 1.07 | 2.26 |
| Specific surface area (m2/kg) | 331 | |||||
| Specific density (g/cm3) | 3.15 | |||||
| Initial setting time (min) | 149 | |||||
| Final setting time (min) | 204 | |||||
| Appearance | Average Diameter (nm) | Specific Surface Area (m2/kg) | LOI (%) | Composition |
|---|---|---|---|---|
| White powder | ≤20 | 586 | 4.36 | SiO2 ≥ 99.9 |
| Mixture | Cement | Fly Ash | Sand | Aggregate | Water | Plasticizer |
|---|---|---|---|---|---|---|
| Control | 461 | 51 | 586 | 1087 | 215 | 0.4 |
| Mixture | Nano-SiO2 (by the Mass of Powder, %) | Rubber (by the Mass of Cement, %) | Silanized Rubber (by the Mass of Cement, %) | 44.4 |
|---|---|---|---|---|
| NSC-0.5 | 0.5% | -- | -- | 41.6 |
| RC-5 | -- | 5% | -- | 35.7 |
| RC-7.5 | -- | 7.5% | -- | 33.5 |
| MRC-5 | -- | -- | 5% | 37.3 |
| MR5N0.5 | 0.5% | -- | 5% | 30.6 |
| MR5N3 | 3% | -- | 5% | 38.4 |
| Pore Size | Extra Large Pore | Large Pore | Medium Pore | Small Pore |
|---|---|---|---|---|
| Diameter (µm) | >200 | 50–200 | 20–50 | <20 |
| Mixture | Freeze–Thaw Cycles | Increased Rate of Pore Number (%) | |||
|---|---|---|---|---|---|
| Small Pore <20 μm | Medium Pore 20–50 μm | Large Pore 50–200 μm | Extra Large Pore >200 μm | ||
| Control | 0–50 | 36.1 | 35.5 | 23.3 | 3.6 |
| 50–100 | 19.5 | 26.5 | 27.1 | 2.2 | |
| RC-7.5 | 0–50 | 18.7 | 21.5 | 22.2 | 0.5 |
| 50–100 | 10.4 | 12.2 | 15.8 | 0.2 | |
| MRC-5 | 0–50 | 17.5 | 19.6 | 18.4 | 0.1 |
| 50–100 | 9.6 | 11.2 | 13.2 | 0.3 | |
| NSC-0.5 | 0–50 | 34.1 | 32.0 | 23.6 | 2.9 |
| 50–100 | 15.3 | 14.6 | 18.5 | 2.1 | |
| MR5N3 | 0–50 | 16.4 | 16.8 | 15.6 | 2.0 |
| 50–100 | 13.6 | 14.7 | 15.1 | 1.1 | |
Publisher’s Note: MDPI stays neutral with regard to jurisdictional claims in published maps and institutional affiliations. |
© 2021 by the authors. Licensee MDPI, Basel, Switzerland. This article is an open access article distributed under the terms and conditions of the Creative Commons Attribution (CC BY) license (http://creativecommons.org/licenses/by/4.0/).
Share and Cite
Fang, J.; Zhao, L.; Shi, J. Frost Resistance and Pore Structure of Concrete Incorporated with Rubber Aggregates and Nano-SiO2. Materials 2021, 14, 1170. https://doi.org/10.3390/ma14051170
Fang J, Zhao L, Shi J. Frost Resistance and Pore Structure of Concrete Incorporated with Rubber Aggregates and Nano-SiO2. Materials. 2021; 14(5):1170. https://doi.org/10.3390/ma14051170
Chicago/Turabian StyleFang, Jun, Lei Zhao, and Jicun Shi. 2021. "Frost Resistance and Pore Structure of Concrete Incorporated with Rubber Aggregates and Nano-SiO2" Materials 14, no. 5: 1170. https://doi.org/10.3390/ma14051170
APA StyleFang, J., Zhao, L., & Shi, J. (2021). Frost Resistance and Pore Structure of Concrete Incorporated with Rubber Aggregates and Nano-SiO2. Materials, 14(5), 1170. https://doi.org/10.3390/ma14051170
