A Review on the Design and Hydration Properties of Natural Polymer-Based Hydrogels
Abstract
1. Introduction
2. Fabrication of Bio-Based Hydrogels
2.1. Single-Component Hydrogels
2.2. Multi-Component Composite Hydrogels
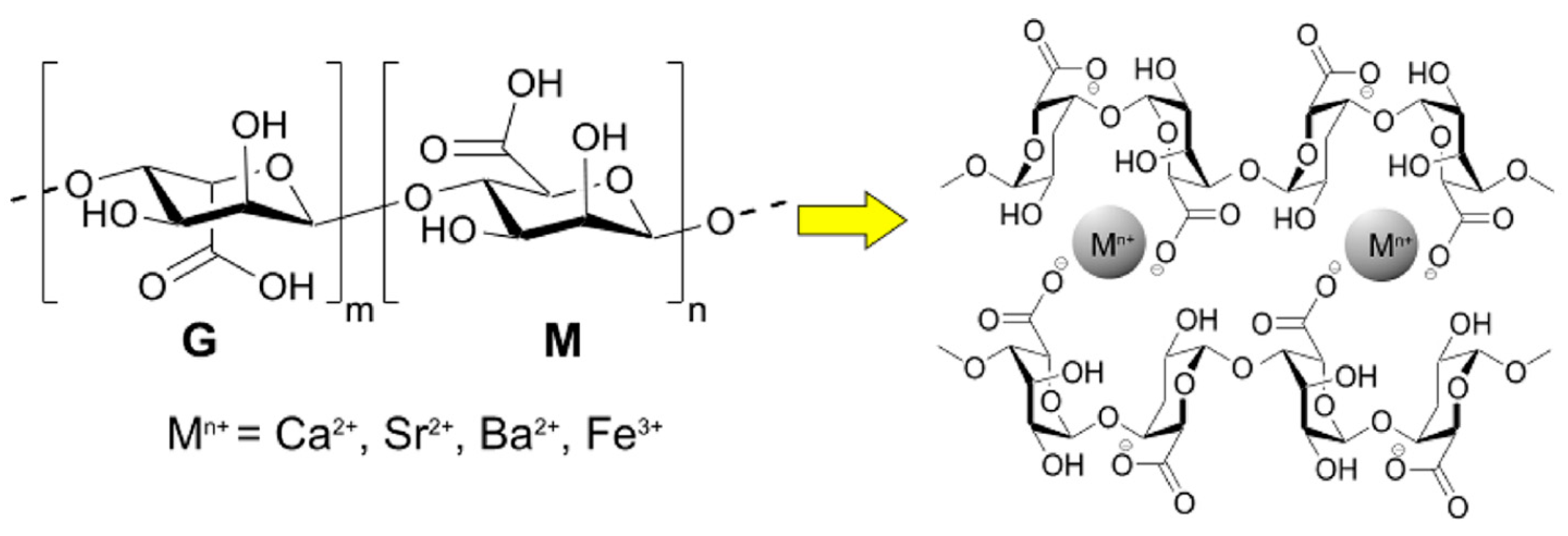
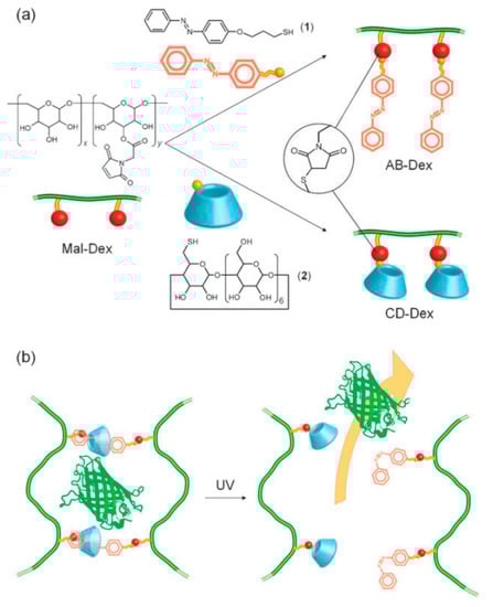
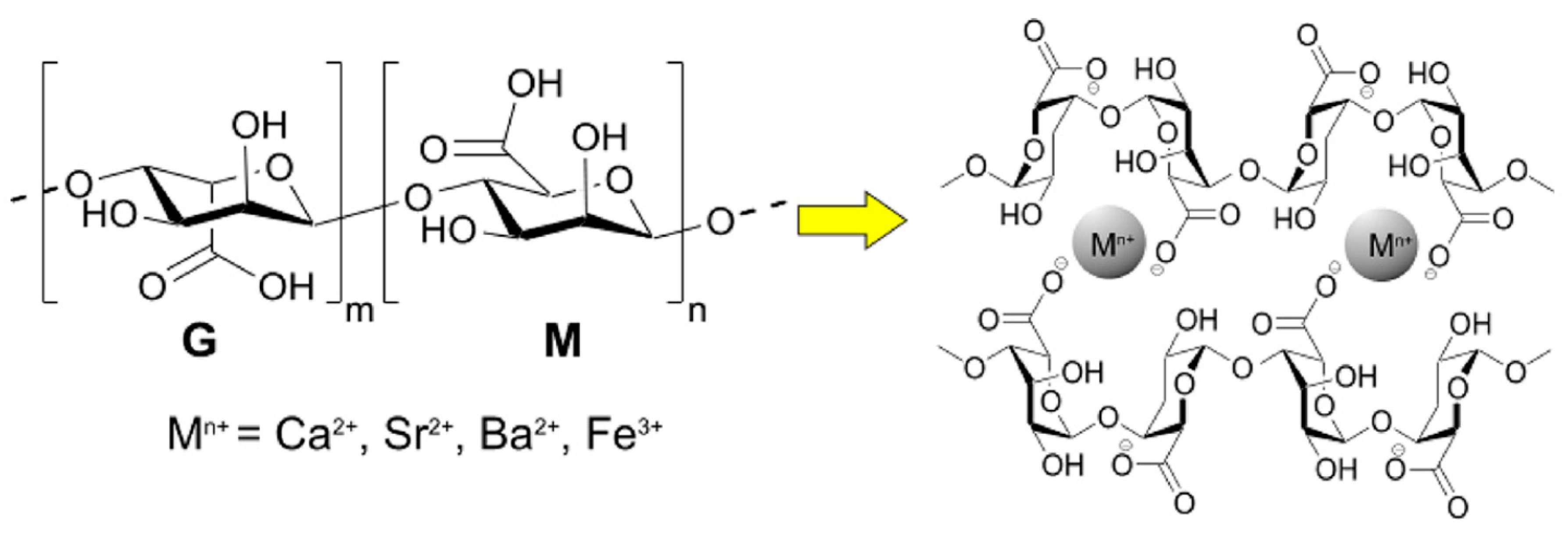
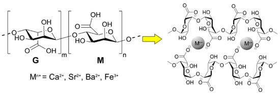
2.2.1. Physical or Reversible Hydrogels
2.2.2. Chemical or Permanent Hydrogels
3. Types and Applications of Stimuli-Responsive Hydrogels
3.1. Temperature Responsive
3.2. pH Responsive Hydrogels
3.3. Light Responsive Hydrogels
3.4. Multi-Responsive Hydrogels
4. Structure and Hydration Properties of Biopolymer Materials
4.1. Hydration Phenomena of Biopolymer Gels
5. The Role of Water and Hydration Kinetics in Biopolymer Gels
5.1. Mechanism of Hydrogel Swelling
5.2. Kinetics of Water Sorption
6. Demonstrating the Water Uptake Characteristics of Hydrogels
6.1. Determination of Water Uptake Characteristics
6.2. Factors Affecting Water Uptake of Polymer Hydrogels
6.2.1. Effect of Ionic Strength (Salt Sensitivity Effect) on Water Absorption
6.2.2. Effect of Charged Surfactants
6.2.3. Effect of Crosslinking and Polymer Constituents
7. Drawbacks and Future Directions of Natural Polymer Hydrogels
| Systems | Fabrication and Properties | Applications | Reference |
|---|---|---|---|
| Starch, Acrylic Acid, Organo-Zeolite 4A | Graft copolymerization of starch, acrylic acid and zeolite. High swelling capability and porosity, salt-responsive swelling-deswelling properties. | Injectable wound dressing with strong antibacterial effects (release of soil nutrients) | (Yan) Zhang et al., 2017 [135] |
| Starch, Strontium Ion | Strontium ion cross-linked starch. Good injectability, good tissue adhesiveness, and strong antibacterial effects. | Injectable wound dressing with strong antibacterial effects | Mao et al., 2018 [60] |
| Starch, PVA, Citric Acid, CNFs, Hydroxyapatite | Starch-PVA crosslinked with citric acid. Highly porous. | Bone tissue engineering | Mirab et al., 2018 [136] |
| Starch, Pre-vulcanized Natural Rubber (NR), Sulphur, Glutaraldehyde | Starch-NR membrane via crosslinking with glutaraldehyde and sulphur used to encapsulate urea beads. Slow release kinetics through the porous membrane (non-Fickian diffusion). | Agriculture and horticulture (release of urea fertilizer) | Vudjung and Saengsuwan, 2018 [137] |
| Starch-ozone | 3D-printing applications | Maniglia et al., 2019 [38] | |
| Starch, PVA | Starch-PVA crosslinked with glutaraldehyde and blended with a plasticizer (BMIM-BF4). High hydrophilicity, plasticity, and porosity. | Oil/water separation | Thakur et al., 2019 [138] |
| Starch, Poly(NIPAm-co-sodium Methacrylate) (PNIPAm) | Copolymerization of PNIPAm in the presence of dispersed starch. Multi-responsive (T, pH), very fast sol-gel transitions, and high swelling/deswelling degrees. | Actuators, solvent- or drug-release systems | Strachota et al., 2019 [83] |
| Starch, Citric Acid | Formation of starch thermoplastic (STP) in molten citric acid and STP-water suspension. Screen printable hydrogel. | Printed electronics applications | Willfahrt et al., 2019 [33] |
| Chitosan, Genipin, DHA, L-Carnitine | Chitosan-acetic acid solution crosslinked with genipin and loaded with skin tanning and anti-aging active components. Slow release kinetics. | Skin tanning and anti-aging | Sole et. Al., 2017 [139] |
| Chitosan, Dialdehydes, Diketones | Chitosan crosslinked with anisole-based phenolic/nonphenolic aromatic dicarbonyls. Affinity for metal ions, good swelling capacity, and biological properties. | Environmental remediation with selectivity for several metal ions and biological applications | Timur and Pasa, 2018 [140] |
| Chitosan, Xanthan, Neomycin Sulphate | - | Topical application, antibacterial agent | Merlusca et al., 2019 [141] |
| Chitosan, Acetic Acid, Gelling Agent | Dissolution of chitosan in acetic acid and addition of a gelling agent. Thermo-sensitive, good cell viability and reduced cytotoxicity. | 3D bio-printing agent (cell attachment) | Ku et al., 2020 [32] |
| Cellulose, Ianthanide Ions | Composite blends of cellulose and lanthanide ions. Tunable color light emissions. | Bioimaging and fluoroimmuno-assay | Wang et al., 2017 [59] |
| Cellulose, Butelinic acid (BA), α-CD, NPs | Hydrogels prepared as host-guest inclusion between PEG chains of CMC-BA and α-CD. | Injectable drug delivery | Dai et al., 2017 [58] |
| Cellulose, Cylcloextrin (CD) | Cellulose and CD were crosslinked with epichlorohydrin. Rapid swelling/deswelling kinetics, high loading capacity. | Remotely EMF-induced drug release | Lin et al., 2019 [62] |
| Cellulose, Curcumin-Cyclodextrin, Silver NPs | Microencapsulation of curcumin in HP-β-CD to produce cAgNP which are subsequently loaded into bacterial cellulose hydrogels. Slow-release and antibacterial properties. | Treatment of chronic wounds | Gupta et al., 2020 [142]. |
| Cellulose, Starch, Amylum, Aluminum Sulfate | Cellulose and starches were crosslinked using aluminum sulfate. Superadsorbents with high affinity for metal ions. | Environmental remediation with selectivity for heavy metals | Hameed et al., 2020 [143] |
8. Conclusions
Author Contributions
Funding
Institutional Review Board Statement
Informed Consent Statement
Data Availability Statement
Acknowledgments
Conflicts of Interest
References
- Industrial Research Associations: Some Taxation Problems. Nat. Cell Biol. 1960, 185, 63–64. [CrossRef]
- Russo, E.; Villa, C. Poloxamer Hydrogels for Biomedical Applications. Pharmaceutics 2019, 11, 671. [Google Scholar] [CrossRef]
- Kopeček, J. Hydrogel biomaterials: A smart future? Biomaterials 2007, 28, 5185–5192. [Google Scholar] [CrossRef]
- Zhu, Y.; Zheng, Y.; Wang, F.; Wang, A. Fabrication of magnetic macroporous chitosan- g -poly (acrylic acid) hydrogel for removal of Cd 2+ and Pb 2+. Int. J. Biol. Macromol. 2016, 93, 483–492. [Google Scholar] [CrossRef] [PubMed]
- Parhi, R. Cross-Linked Hydrogel for Pharmaceutical Applications: A Review. Adv. Pharm. Bull. 2017, 7, 515–530. [Google Scholar] [CrossRef]
- Ahmed, E.M. Hydrogel: Preparation, characterization, and applications: A review. J. Adv. Res. 2015, 6, 105–121. [Google Scholar] [CrossRef]
- Tavakoli, J.; Tang, Y. Hydrogel Based Sensors for Biomedical Applications: An Updated Review. Polymers 2017, 9, 364. [Google Scholar] [CrossRef] [PubMed]
- Pakdel, P.M.; Peighambardoust, S.J. Review on recent progress in chitosan-based hydrogels for wastewater treatment application. Carbohydr. Polym. 2018, 201, 264–279. [Google Scholar] [CrossRef] [PubMed]
- Nguyen, Q.V.; Huynh, D.P.; Park, J.H.; Lee, D.S. Injectable polymeric hydrogels for the delivery of therapeutic agents: A review. Eur. Polym. J. 2015, 72, 602–619. [Google Scholar] [CrossRef]
- Sinha, V.; Chakma, S. Advances in the preparation of hydrogel for wastewater treatment: A concise review. J. Environ. Chem. Eng. 2019, 7, 103295. [Google Scholar] [CrossRef]
- Lv, Q.; Wu, M.; Shen, Y. Enhanced swelling ratio and water retention capacity for novel super-absorbent hydrogel. Colloids Surf. A Physicochem. Eng. Asp. 2019, 583, 123972. [Google Scholar] [CrossRef]
- Bai, Y.; Chen, B.; Xiang, F.; Zhou, J.; Wang, H.; Suo, Z. Transparent hydrogel with enhanced water retention capacity by introducing highly hydratable salt. Appl. Phys. Lett. 2014, 105, 151903. [Google Scholar] [CrossRef]
- Gupta, N.; Shivakumar, H.; Gupta, V. Preparation and Characterization of Superporous Hydrogels as pH-Sensitive Drug Delivery System for Pantoprazole Sodium. Curr. Drug Deliv. 2009, 6, 505–510. [Google Scholar] [CrossRef] [PubMed]
- Chen, J.; Park, H.; Park, K. Synthesis of superporous hydrogels: Hydrogels with fast swelling and superabsorbent properties. J. Biomed. Mater. Res. 1999, 44, 53–62. [Google Scholar] [CrossRef]
- Getachew, B.A.; Kim, S.R.; Kim, J.H. Improved stability of self-healing hydrogel pore-filled membranes with ionic cross-links. J. Membr. Sci. 2018, 553, 1–9. [Google Scholar] [CrossRef]
- Downs, F.G.; Lunn, D.J.; Booth, M.J.; Sauer, J.B.; Ramsay, W.J.; Klemperer, R.G.; Hawker, C.J.; Bayley, H. Multi-responsive hydrogel structures from patterned droplet networks. Nat. Chem. 2020, 12, 363–371. [Google Scholar] [CrossRef] [PubMed]
- Zhang, L.M.; Wang, G.H.; Lu, H.W.; Yang, C.; Yan, L. A New Class of Starch-Based Hydrogels Incorporating Acrylamide and Vinyl Pyrrolidone: Effects of Reaction Variables on Water Sorption Behavior. J. Bioact. Compat. Polym. 2005, 20, 491–501. [Google Scholar] [CrossRef]
- Khansari, M.M.; Sorokina, L.V.; Mukherjee, P.; Mukhtar, F.; Shirdar, M.R.; Shahidi, M.; Shokuhfar, T. Classification of Hydrogels Based on Their Source: A Review and Application in Stem Cell Regulation. JOM 2017, 69, 1340–1347. [Google Scholar] [CrossRef]
- Ullah, F.; Othman, M.B.H.; Javed, F.; Ahmad, Z.; Akil, H.M. Classification, processing and application of hydrogels: A review. Mater. Sci. Eng. C 2015, 57, 414–433. [Google Scholar] [CrossRef]
- Biswas, G.; Majee, S.; Roy, A. Combination of synthetic and natural polymers in hydrogel: An impact on drug permeation. J. Appl. Pharm. Sci. 2016, 6, 158–164. [Google Scholar] [CrossRef][Green Version]
- Ganesan, K.; Barowski, A.; Ratke, L.; Milow, B. Influence of hierarchical porous structures on the mechanical properties of cellulose aerogels. J. Sol-Gel Sci. Technol. 2018, 89, 156–165. [Google Scholar] [CrossRef]
- Witono, J.R.; Noordergraaf, I.; Heeres, H.J.; Janssen, L.P.B.M. Water absorption, retention and the swelling characteristics of cassava starch grafted with polyacrylic acid. Carbohydr. Polym. 2014, 103, 325–332. [Google Scholar] [CrossRef]
- Gibas, I.; Janik, H. Review: Synthetic Polymer Hydrogels for Biomedical Applications. Chem. Chem. Technol. 2010, 4, 297–304. [Google Scholar] [CrossRef]
- Peppas, N. Hydrogels in pharmaceutical formulations. Eur. J. Pharm. Biopharm. 2000, 50, 27–46. [Google Scholar] [CrossRef]
- Gong, J.; Katsuyama, Y.; Kurokawa, T.; Osada, Y. Double-Network Hydrogels with Extremely High Mechanical Strength. Adv. Mater. 2003, 15, 1155–1158. [Google Scholar] [CrossRef]
- Haque, A.; Kurokawa, T.; Gong, J.P. Super tough double network hydrogels and their application as biomaterials. Polymer 2012, 53, 1805–1822. [Google Scholar] [CrossRef]
- Murthy, P.K.; Mohan, Y.M.; Sreeramulu, J.; Raju, K.M. Semi-IPNs of starch and poly(acrylamide-co-sodium methacrylate): Preparation, swelling and diffusion characteristics evaluation. React. Funct. Polym. 2006, 66, 1482–1493. [Google Scholar] [CrossRef]
- Ciolacu, D.E.; Suflet, D.M. Cellulose-Based Hydrogels for Medical/Pharmaceutical application. In Biomass as Renewable Raw Materials to Obtain Bioproducts of High-Tech Value, 1st ed.; Popa, V., Volf, I., Eds.; Elsevier BV: Amsterdam, The Netherlands, 2018; Chapter 11; pp. 401–439. [Google Scholar]
- Wang, Y.; Chen, L. Impacts of nanowhisker on formation kinetics and properties of all-cellulose composite gels. Carbohydr. Polym. 2011, 83, 1937–1946. [Google Scholar] [CrossRef]
- Muzzarelli, R.A. Chitosan composites with inorganics, morphogenetic proteins and stem cells, for bone regeneration. Carbohydr. Polym. 2011, 83, 1433–1445. [Google Scholar] [CrossRef]
- Qu, X.; Wirsén, A.; Albertsson, A.C. Structural change and swelling mechanism of pH-sensitive hydrogels based on chitosan and D-/L-lactic acid. J. Appl. Polym. Sci. 1999, 74, 3186–3192. [Google Scholar] [CrossRef]
- Ku, J.; Seonwoo, H.; Park, S.; Jang, K.J.; Lee, J.; Lee, M.; Lim, J.W.; Kim, J.; Chung, J.H. Cell-Laden Thermosensitive Chitosan Hydrogel Bioinks for 3D Bioprinting Applications. Appl. Sci. 2020, 10, 2455. [Google Scholar] [CrossRef]
- Willfahrt, A.; Steiner, E.; Hötzel, J.; Crispin, X. Printable acid-modified corn starch as non-toxic, disposable hydrogel-polymer electrolyte in supercapacitors. Appl. Phys. A 2019, 125, 1–10. [Google Scholar] [CrossRef]
- Biduski, B.; Da Silva, W.M.F.; Colussi, R.; Halal, S.L.D.M.E.; Lim, L.T.; Dias, Á.R.G.; Zavareze, E.D.R. Starch hydrogels: The influence of the amylose content and gelatinization method. Int. J. Biol. Macromol. 2018, 113, 443–449. [Google Scholar] [CrossRef]
- Yoshimura, T.; Yoshimura, R.; Seki, C.; Fujioka, R. Synthesis and characterization of biodegradable hydrogels based on starch and succinic anhydride. Carbohydr. Polym. 2006, 64, 345–349. [Google Scholar] [CrossRef]
- Zain, G.; Nada, A.A.; Sheikh, E.M.A.; Attaby, F.A.; Waly, A.I. Superabsorbent hydrogel based on sulfonated-starch for improving water and saline absorbency. Int. J. Biol. Macromol. 2018, 115, 61–68. [Google Scholar] [CrossRef]
- Karoyo, A.H.; Dehabadi, L.; Wilson, L.D. Renewable Starch Carriers with Switchable Adsorption Properties. ACS Sustain. Chem. Eng. 2018, 6, 4603–4613. [Google Scholar] [CrossRef]
- Maniglia, B.C.; Lima, D.C.; Junior, M.D.M.; Bail, L.P.; Bail, L.A.; Augusto, P.E. Hydrogels based on ozonated cassava starch: Effect of ozone processing and gelatinization conditions on enhancing 3D-printing applications. Int. J. Biol. Macromol. 2019, 138, 1087–1097. [Google Scholar] [CrossRef]
- Antoine, E.E.; Vlachos, P.P.; Rylander, M.N. Tunable Collagen I Hydrogels for Engineered Physiological Tissue Micro-Environments. PLoS ONE 2015, 10, 2500. [Google Scholar] [CrossRef] [PubMed]
- Antoine, E.E.; Vlachos, P.P.; Rylander, M.N. Review of Collagen I Hydrogels for Bioengineered Tissue Microenvironments: Characterization of Mechanics, Structure, and Transport. Tissue Eng. Part B Rev. 2014, 20, 683–696. [Google Scholar] [CrossRef]
- Kenawy, E.R.; Kamoun, E.A.; Eldin, M.S.M.; Meligy, E.M.A. Physically crosslinked poly(vinyl alcohol)-hydroxyethyl starch blend hydrogel membranes: Synthesis and characterization for biomedical applications. Arab. J. Chem. 2014, 7, 372–380. [Google Scholar] [CrossRef]
- Chang, C.; Duan, B.; Cai, J.; Zhang, L. Superabsorbent hydrogels based on cellulose for smart swelling and controllable delivery. Eur. Polym. J. 2010, 46, 92–100. [Google Scholar] [CrossRef]
- Hennink, W.; Van Nostrum, C. Novel crosslinking methods to design hydrogels. Adv. Drug Deliv. Rev. 2012, 64, 223–236. [Google Scholar] [CrossRef]
- Wu, T.; Li, Y.; Lee, D.S. Chitosan-based composite hydrogels for biomedical applications. Macromol. Res. 2017, 25, 480–488. [Google Scholar] [CrossRef]
- Zhang, Q.; Wang, Z.; Zhang, C.; Aluko, R.E.; Yuan, J.; Ju, X.; He, R. Structural and functional characterization of rice starch-based superabsorbent polymer materials. Int. J. Biol. Macromol. 2020, 153, 1291–1298. [Google Scholar] [CrossRef]
- Bidarra, S.J.; Barrias, C.C.; Granja, P.L. Injectable alginate hydrogels for cell delivery in tissue engineering. Acta Biomater. 2014, 10, 1646–1662. [Google Scholar] [CrossRef]
- Draget, K.I.; Bræk, S.G.; Stokke, B.T. Similarities and differences between alginic acid gels and ionically crosslinked alginate gels. Food Hydrocoll. 2006, 20, 170–175. [Google Scholar] [CrossRef]
- Ozawa, F.; Ino, K.; Takahashi, Y.; Shiku, H.; Matsue, T. Electrodeposition of alginate gels for construction of vascular-like structures. J. Biosci. Bioeng. 2013, 115, 459–461. [Google Scholar] [CrossRef]
- Min, J.H.; Hering, J.G. Arsenate sorption by Fe(III)-doped alginate gels. Water Res. 1998, 32, 1544–1552. [Google Scholar] [CrossRef]
- Roopa, B.; Bhattacharya, S. Alginate gels: I. Characterization of textural attributes. J. Food Eng. 2008, 85, 123–131. [Google Scholar] [CrossRef]
- Narayanan, R.P.; Melman, G.; Letourneau, N.J.; Mendelson, N.L.; Melman, A. Photodegradable Iron(III) Cross-Linked Alginate Gels. Biomacromolecules 2012, 13, 2465–2471. [Google Scholar] [CrossRef] [PubMed]
- Martinsen, A.; Bræk, S.G.; Smidsrød, O. Alginate as immobilization material: I. Correlation between chemical and physical properties of alginate gel beads. Biotechnol. Bioeng. 1989, 33, 79–89. [Google Scholar] [CrossRef]
- Lee, K.Y.; Mooney, D.J. Alginate: Properties and biomedical applications. Prog. Polym. Sci. 2012, 37, 106–126. [Google Scholar] [CrossRef] [PubMed]
- Hussain, I.; Sayed, S.M.; Liu, S.; Oderinde, O.; Kang, M.; Yao, F.; Fu, G. Enhancing the mechanical properties and self-healing efficiency of hydroxyethyl cellulose-based conductive hydrogels via supramolecular interactions. Eur. Polym. J. 2018, 105, 85–94. [Google Scholar] [CrossRef]
- Hossain, K.M.Z.; Calabrese, V.; da Silva, M.A.; Bryant, S.J.; Schmitt, J.; Scott, J.L.; Edler, K.J. Cationic surfactants as a non-covalent linker for oxidised cellulose nanofibrils and starch-based hydrogels. Carbohydr. Polym. 2020, 233, 5816. [Google Scholar] [CrossRef]
- Chin, S.F.; Romainor, A.N.B.; Pang, S.C.; Lihan, S. Antimicrobial starch-citrate hydrogel for potential applications as drug delivery carriers. J. Drug Deliv. Sci. Technol. 2019, 54, 1239. [Google Scholar] [CrossRef]
- Himmelein, S.; Lewe, V.; Stuart, M.C.A.; Ravoo, B.J. A carbohydrate-based hydrogel containing vesicles as responsive non-covalent cross-linkers. Chem. Sci. 2013, 5, 1054–1058. [Google Scholar] [CrossRef]
- Dai, L.; Liu, R.; Hu, L.Q.; Wang, J.H.; Si, C.L. Self-assembled PEG–carboxymethylcellulose nanoparticles/α-cyclodextrin hydrogels for injectable and thermosensitive drug delivery. RSC Adv. 2017, 7, 2905–2912. [Google Scholar] [CrossRef]
- Wang, Q.; Guo, J.; Wang, Y.; Chen, L.; Cai, J.; Zhang, L. Creation of the tunable color light emission of cellulose hydrogels consisting of primary rare-earth compounds. Carbohydr. Polym. 2017, 161, 235–243. [Google Scholar] [CrossRef] [PubMed]
- Mao, Y.; Pan, M.; Yang, H.; Lin, X.; Yang, L. Injectable hydrogel wound dressing based on strontium ion cross-linked starch. Front. Mater. Sci. 2020, 14, 232–241. [Google Scholar] [CrossRef]
- Altaf, F.; Niazi, M.B.K.; Jahan, Z.; Ahmad, T.; Akram, M.A.; Safdar, A.; Butt, M.S.; Noor, T.; Sher, F. Synthesis and Characterization of PVA/Starch Hydrogel Membranes Incorporating Essential Oils Aimed to be Used in Wound Dressing Applications. J. Polym. Environ. 2021, 29, 156–174. [Google Scholar] [CrossRef]
- Lin, F.; Zheng, J.; Guo, W.; Zhu, Z.; Wang, Z.; Dong, B.; Lin, C.; Huang, B.; Lu, B. Smart cellulose-derived magnetic hydrogel with rapid swelling and deswelling properties for remotely controlled drug release. Cellulitis 2019, 26, 6861–6877. [Google Scholar] [CrossRef]
- Majcher, M.J.; McInnis, C.L.; Himbert, S.; Alsop, R.J.; Kinio, D.; Bleuel, M.; Rheinstädter, M.C.; Smeets, N.M.; Hoare, T. Photopolymerized Starchstarch Nanoparticle (SNP) network hydrogels. Carbohydr. Polym. 2020, 236, 115998. [Google Scholar] [CrossRef] [PubMed]
- Hata, Y.; Sawada, T.; Sakai, T.; Serizawa, T. Enzyme-Catalyzed Bottom-Up Synthesis of Mechanically and Physicochemically Stable Cellulose Hydrogels for Spatial Immobilization of Functional Colloidal Particles. Biomacromolecules 2018, 19, 1269–1275. [Google Scholar] [CrossRef]
- Figueroa, T.A.V.; Martínez, P.C.J.; Del Castro, C.T.; Martínez, B.E.; Madueño, C.M.A.G.; Alegría, G.A.M.; Ceniceros, L.T.E.; Villegas, A.L. Composite Hydrogel of Poly(acrylamide) and Starch as Potential System for Controlled Release of Amoxicillin and Inhibition of Bacterial Growth. J. Chem. 2020, 2020, 1–14. [Google Scholar] [CrossRef]
- Ahmad, A.; Mubharak, N.; Naseem, K.; Tabassum, H.; Rizwan, M.; Najda, A.; Kashif, M.; Jumah, B.M.; Hussain, A.; Shaheen, A.; et al. Recent advancement and development of chitin and chitosan-based nanocomposite for drug delivery: Critical approach to clinical research. Arab. J. Chem. 2020, 13, 8935–8964. [Google Scholar] [CrossRef]
- Karoyo, A.H.; Wilson, L.D. Preparation and Characterization of a Polymer-Based “Molecular Accordion”. Langmuir 2016, 32, 3066–3078. [Google Scholar] [CrossRef]
- Passauer, L.; Liebner, F.; Fischer, K. Synthesis and Properties of Novel Hydrogels from Cross-linked Starch Phosphates. Macromol. Symp. 2006, 244, 180–193. [Google Scholar] [CrossRef]
- Hossain, A.; Karoyo, A.H.; Dehabadi, L.; Fathieh, F.; Simonson, C.J.; Wilson, L.D. Starch Particles, Energy Harvesting, and the “Goldilocks Effect”. ACS Omega 2018, 3, 3796–3803. [Google Scholar] [CrossRef] [PubMed]
- Guo, M.; Liu, M.; Hu, Z.; Zhan, F.; Wu, L. Preparation and properties of a slow release NP compound fertilizer with superabsorbent and moisture preservation. J. Appl. Polym. Sci. 2005, 96, 2132–2138. [Google Scholar] [CrossRef]
- Seidel, C.; Kulicke, W.M.; Heß, C.; Hartmann, B.; Lechner, M.D.; Lazik, W. Synthesis and Characterization of Cross-linked Carboxymethyl Potato Starch Ether Gels. Starch Stärke 2004, 56, 157–166. [Google Scholar] [CrossRef]
- Wilson, L.D.; Xue, C. Macromolecular sorbent materials for urea capture. J. Appl. Polym. Sci. 2012, 128, 667–675. [Google Scholar] [CrossRef]
- Poon, L.; Wilson, L.D.; Headley, J.V. Chitosan-glutaraldehyde copolymers and their sorption properties. Carbohydr. Polym. 2014, 109, 92–101. [Google Scholar] [CrossRef]
- Mohamed, M.H.; Wilson, L.D.; Headley, J.V. Design and characterization of novel β-cyclodextrin based copolymer materials. Carbohydr. Res. 2011, 346, 219–229. [Google Scholar] [CrossRef] [PubMed]
- Astrini, N.; Anah, L.; Haryono, A. Crosslinking Parameter on the Preparation of Cellulose Based Hydrogel with Divynilsulfone. Procedia Chem. 2012, 4, 275–281. [Google Scholar] [CrossRef]
- Butun, S.; Ince, F.G.; Erdugan, H.; Sahiner, N. One-step fabrication of biocompatible carboxymethyl cellulose polymeric particles for drug delivery systems. Carbohydr. Polym. 2011, 86, 636–643. [Google Scholar] [CrossRef]
- Bahram, M.; Mohseni, N.; Moghtader, M. An Introduction to Hydrogels and Some Recent Applications. In Emerging Concepts in Analysis and Applications of Hydrogels; Intech: Rijeka, Croatia, 2016. [Google Scholar]
- Chatterjee, S.; Hui, P.C.L. Review of Stimuli-Responsive Polymers in Drug Delivery and Textile Application. Molecules 2019, 24, 2547. [Google Scholar] [CrossRef]
- Bellotti, E.; Schilling, A.L.; Little, S.R.; Decuzzi, P. Injectable thermoresponsive hydrogels as drug delivery system for the treatment of central nervous system disorders: A review. J. Control Release 2021, 329, 16–35. [Google Scholar] [CrossRef]
- Chatterjee, S.; Hui, P.C.L.; Kan, C.W. Thermoresponsive Hydrogels and Their Biomedical Applications: Special Insight into Their Applications in Textile Based Transdermal Therapy. Polymers 2018, 10, 480. [Google Scholar] [CrossRef]
- Echeverria, C.; Fernandes, S.N.; Godinho, M.H.; Borges, J.P.; Soares, P.I.P. Functional Stimuli-Responsive Gels: Hydrogels and Microgels. Gels 2018, 4, 54. [Google Scholar] [CrossRef] [PubMed]
- Fan, D.Y.; Tian, Y.; Liu, Z.J. Injectable Hydrogels for Localized Cancer Therapy. Front. Chem. 2019, 7, 1–11. [Google Scholar] [CrossRef]
- Strachota, B.; Strachota, A.; Slouf, M.; Brus, J.; Cimrova, V. Monolithic intercalated PNIPAm/starch hydrogels with very fast and extensive one-way volume and swelling responses to temperature and pH: Prospective actuators and drug release systems. Soft Matter 2018, 15, 752–769. [Google Scholar] [CrossRef]
- Fu, X.; Rigau, H.L.; Chandrawati, R.; Cui, J. Multi-Stimuli-Responsive Polymer Particles, Films, and Hydrogels for Drug Delivery. Chem 2018, 4, 2084–2107. [Google Scholar] [CrossRef]
- Wang, W.; Wat, E.; Hui, P.C.L.; Chan, B.; Ng, F.S.F.; Kan, C.W.; Wang, X.; Hu, H.; Wong, E.C.W.; Lau, C.B.S.; et al. Dual-functional transdermal drug delivery system with controllable drug loading based on thermosensitive poloxamer hydrogel for atopic dermatitis treatment. Sci. Rep. 2016, 6, 24112. [Google Scholar] [CrossRef]
- Kloxin, A.M.; Kasko, A.M.; Salinas, C.N.; Anseth, K.S. Photodegradable Hydrogels for Dynamic Tuning of Physical and Chemical Properties. Science 2009, 324, 59–63. [Google Scholar] [CrossRef] [PubMed]
- Uda, R.M.; Hiraishi, E.; Ohnishi, R.; Nakahara, Y.; Kimura, K. Morphological Changes in Vesicles and Release of an Encapsulated Compound Triggered by a Photoresponsive Malachite Green Leuconitrile Derivative. Langmuir 2010, 26, 5444–5450. [Google Scholar] [CrossRef]
- Wang, Y.; Ma, N.; Wang, Z.; Zhang, X. Photocontrolled Reversible Supramolecular Assemblies of an Azobenzene-Containing Surfactant with α-Cyclodextrin. Angew. Chem. 2007, 119, 2881–2884. [Google Scholar] [CrossRef]
- Tomatsu, I.; Peng, K.; Kros, A. Photoresponsive hydrogels for biomedical applications. Adv. Drug Deliv. Rev. 2011, 63, 1257–1266. [Google Scholar] [CrossRef]
- Gao, Y.; Guo, R.; Feng, Y.; Zhang, L.; Wang, C.; Song, J.; Jiao, T.; Zhou, J.; Peng, Q. Self-Assembled Hydrogels Based on Poly-Cyclodextrin and Poly-Azobenzene Compounds and Applications for Highly Efficient Removal of Bisphenol A and Methylene Blue. ACS Omega 2018, 3, 11663–11672. [Google Scholar] [CrossRef]
- Hou, N.; Wang, R.; Wang, F.; Bai, J.; Zhou, J.; Zhang, L.; Hu, J.; Liu, S.; Jiao, T. Fabrication of Hydrogels via Host–Guest Polymers as Highly Efficient Organic Dye Adsorbents for Wastewater Treatment. ACS Omega 2020, 5, 5470–5479. [Google Scholar] [CrossRef] [PubMed]
- Peng, K.; Tomatsu, I.; Kros, A. Light controlled protein release from a supramolecular hydrogel. Chem. Commun. 2010, 46, 4094–4096. [Google Scholar] [CrossRef]
- Jiang, Y.; Wang, Y.; Li, Q.; Yuheng, J.; Chu, W. Natural Polymer-based Stimuli-responsive Hydrogels. Curr. Med. Chem. 2020, 27, 2631–2657. [Google Scholar] [CrossRef] [PubMed]
- Dong, M.; Chen, Y. The stimuli-responsive properties of hydrogels based on natural polymers. In Hydrogels Based on Natural Polymers; Yu, C., Ed.; Elsevier BV: Amsterdam, The Netherlands, 2020; pp. 173–222. [Google Scholar]
- Badeau, B.A.; Comerford, M.P.; Arakawa, C.K.; Shadish, J.A.; Deforest, C.A. Engineered modular biomaterial logic gates for environmentally triggered therapeutic delivery. Nat. Chem. 2018, 10, 251–258. [Google Scholar] [CrossRef]
- Rwei, S.P.; Anh, T.H.N.; Chiang, W.Y.; Way, T.F.; Hsu, Y.J. Synthesis and Drug Delivery Application of Thermo- and pH-Sensitive Hydrogels: Poly(β-CD-co-N-Isopropylacrylamide-co-IAM). Mater 2016, 9, 1003. [Google Scholar] [CrossRef]
- Zhou, L.; Li, J.; Luo, Q.; Zhu, J.; Zou, H.; Gao, Y.; Wang, L.; Xu, J.; Dong, Z.; Liu, J. Dual stimuli-responsive supramolecular pseudo-polyrotaxane hydrogels. Soft Matter 2013, 9, 4635. [Google Scholar] [CrossRef]
- Sun, T.; Zhu, C.; Xu, J. Multiple stimuli-responsive selenium-functionalized biodegradable starch-based hydrogels. Soft Matter 2017, 14, 921–926. [Google Scholar] [CrossRef]
- Dehabadi, L.; Karoyo, A.H.; Wilson, L.D. Spectroscopic and Thermodynamic Study of Biopolymer Adsorption Phenomena in Heterogeneous Solid–Liquid Systems. ACS Omega 2018, 3, 15370–15379. [Google Scholar] [CrossRef] [PubMed]
- Gerits, L.R.; Pareyt, B.; Delcour, J.A. Wheat starch swelling, gelatinization and pasting: Effects of enzymatic modification of wheat endogenous lipids. LWT 2015, 63, 361–366. [Google Scholar] [CrossRef]
- Dengate, H. Swelling, Pasting and Gelling of Wheta Starch. In Advances in Cereal Science and Technology; Pameranz, Y., Ed.; American Association of Cereal Chemist (AACC): St. Paul, MN, USA, 1984; p. 49. [Google Scholar]
- Zeng, M.; Morris, C.F.; Batey, I.L.; Wrigley, C.W. Sources of Variation for Starch Gelatinization, Pasting, and Gelation Properties in Wheat. Cereal Chem. J. 1997, 74, 63–71. [Google Scholar] [CrossRef]
- Miles, M.J.; Morris, V.J.; Orford, P.D.; Ring, S.G. The roles of amylose and amylopectin in the gelation and retrogradation of starch. Carbohydr. Res. 1985, 135, 271–281. [Google Scholar] [CrossRef]
- Arai, K.; Shikala, T. Hydration/Dehydration Behavior of Hydroxyethyl. Molecules 2020, 25, 4726. [Google Scholar] [CrossRef]
- Wu, Q.X.; Lin, D.Q.; Yao, S.J. Design of Chitosan and Its Water Soluble Derivatives-Based Drug Carriers with Polyelectrolyte Complexes. Mar. Drugs 2014, 12, 6236–6253. [Google Scholar] [CrossRef]
- Kumar, M.N.V.R.; Muzzarelli, R.A.A.; Muzzarelli, C.; Sashiwa, H.; Domb, A.J. Chitosan Chemistry and Pharmaceutical Perspectives. Chem. Rev. 2004, 104, 6017–6084. [Google Scholar] [CrossRef]
- Wilson, L.; Tewari, B. Chitosan-Based Adsorbents: Environmental Applications for the Removal of Arsenicals. In Green Materials Obtained by Geopolymerization for a Sustainable Future; Materials Research Forum LLC: Millersville, PA, USA, 2018; pp. 133–160. [Google Scholar]
- Berger, J.; Reist, M.; Mayer, J.; Felt, O.; Peppas, N.; Gurny, R. Structure and interactions in covalently and ionically crosslinked chitosan hydrogels for biomedical applications. Eur. J. Pharm. Biopharm. 2004, 57, 19–34. [Google Scholar] [CrossRef]
- Pasqui, D.; De Cagna, M.; Barbucci, R. Polysaccharide-Based Hydrogels: The Key Role of Water in Affecting Mechanical Properties. Polymer 2012, 4, 1517–1534. [Google Scholar] [CrossRef]
- Hoffman, A.S. Hydrogels for biomedical applications. Adv. Drug Deliv. Rev. 2012, 64, 18–23. [Google Scholar] [CrossRef]
- Pradas, M.M.; Ribelles, J.L.G.; Aroca, S.Á.; Ferrer, G.G.; Antón, J.S.; Pissis, P. Interaction between water and polymer chains in poly(hydroxyethyl acrylate) hydrogels. Colloid Polym. Sci. 2001, 279, 323–330. [Google Scholar] [CrossRef]
- Ferrer, G.G.; Pradas, M.M.; Ribelles, J.L.G.; Sánchez, M.S. Thermodynamical analysis of the hydrogel state in poly(2-hydroxyethyl acrylate). Polymer 2004, 45, 6207–6217. [Google Scholar] [CrossRef]
- Chai, Q.; Jiao, Y.; Yu, X. Hydrogels for Biomedical Applications: Their Characteristics and the Mechanisms behind Them. Gels 2017, 3, 6. [Google Scholar] [CrossRef] [PubMed]
- Jaeger, J.A. Landscape division, splitting index, and effective mesh size: New measures of landscape fragmentation. Landsc. Ecol. 2000, 15, 115–130. [Google Scholar] [CrossRef]
- Flory, P.J.; Rehner, J. Statistical Mechanics of Cross-Linked Polymer Networks I. Rubberlike Elasticity. J. Chem. Phys. 1943, 11, 512–520. [Google Scholar] [CrossRef]
- De, S.; Aluru, N.; Johnson, B.; Crone, W.; Beebe, D.; Moore, J. Equilibrium swelling and kinetics of pH-responsive hydrogels: Models, experiments, and simulations. J. Microelectromechanical Syst. 2002, 11, 544–555. [Google Scholar] [CrossRef]
- Peppas, N.A.; Merrill, E.W. Crosslinked Poly(vinyl alcohol) Hydrogels as Swollen Networks. Appl. Polym. Sci. 1977, 21, 1763–1770. [Google Scholar] [CrossRef]
- Treolar, R.G. The Physics of Rubber Elasticity; Oxford University Press: Oxford, UK, 1958. [Google Scholar]
- Flory, P.J.; Rabjohn, N.; Shaffer, M.C. Dependence of Elastic Properties of Vulcanized Rubber on the Degree of Cross-Linking. Rubber Chem. Technol. 1950, 23, 9–26. [Google Scholar] [CrossRef]
- Silliman, J.E. Network Hydrogel Polymer-Application in Hemodialysis. Ph.D. Thesis, Lehigh University, Bethlehem, PA, USA, 1972. [Google Scholar]
- Anseth, K.S.; Bowman, C.N.; Peppas, B.L. Mechanical properties of hydrogels and their experimental determination. Biomaterials 1996, 17, 1647–1657. [Google Scholar] [CrossRef]
- Mark, J.E. The use of model polymer networks to elucidate molecular aspects of rubberlike elasticity. Polym. Netw. 2007, 44, 1–26. [Google Scholar] [CrossRef]
- Jiang, J.H.; Su, H.; Zhai, C.; Perun, V.S.; Del Genio, A.; Nazarenko, L.S.; Donner, L.J.; Horowitz, L.; Seman, C.; Cole, J.; et al. Evaluation of cloud and water vapor simulations in CMIP5 climate models using NASA “A-Train” satellite observations. J. Geophys. Res. Space Phys. 2012, 117. [Google Scholar] [CrossRef]
- Elia, J.A.; Baliban, R.C.; Floudas, C.A. Pyrolysis of Heavy Oil in the Presence of Supercritical Water: The Reaction Kinetics in Different Phases. AICHE J. 2015, 61, 857–866. [Google Scholar] [CrossRef]
- Coulson, C.A.; Crank, J. The Mathematics of Diffusion. Math. Gaz. 1958, 42, 165. [Google Scholar] [CrossRef]
- Lamprecht, A.; Yamamoto, H.; Takeuchi, H.; Kawashima, Y. Microsphere design for the colonic delivery of 5-fluorouracil. J. Control Release 2003, 90, 313–322. [Google Scholar] [CrossRef]
- Rodrigues, F.H.A.; Fajardo, A.R.; Pereira, A.G.B.; Ricardo, N.M.P.S.; Feitosa, J.P.A.; Muniz, E.C. Chitosan-graft-poly(acrylic acid)/rice husk ash based superabsorbent hydrogel composite: Preparation and characterization. J. Polym. Res. 2012, 19, 1–10. [Google Scholar] [CrossRef]
- Pourjavadi, A.; Sadeghi, M.; Hosseinzadeh, H. Modified carrageenan. Preparation, swelling behavior, salt- and pH-sensitivity of partially hydrolyzed crosslinked carrageenan-graft-polymethacrylamide superabsorbent hydrogel. Polym. Adv. Technol. 2004, 15, 645–653. [Google Scholar] [CrossRef]
- Alam, N.; Christopher, L.P. Natural Cellulose-Chitosan Cross-Linked Superabsorbent Hydrogels with Superior Swelling Properties. ACS Sustain. Chem. Eng. 2018, 6, 8736–8742. [Google Scholar] [CrossRef]
- Alam, N.; Islam, S.; Christopher, L.P. Sustainable Production of Cellulose-Based Hydrogels with Superb Absorbing Potential in Physiological Saline. ACS Omega 2019, 4, 9419–9426. [Google Scholar] [CrossRef]
- Karoyo, A.H.; Dehabadi, L.; Yang, J.; Wilson, L.D. Surfactant Surface-Patterned Starch Particles for Adsorption-Based Applications: The Role of Sabatier’s Principle. ACS Appl. Polym. Mater. 2019, 1, 2787–2796. [Google Scholar] [CrossRef]
- Kari, J.; Olsen, J.P.; Jensen, K.; Badino, S.F.; Krogh, K.B.R.M.; Borch, K.; Westh, P. Sabatier Principle for Interfacial (Heterogeneous) Enzyme Catalysis. ACS Catal. 2018, 8, 11966–11972. [Google Scholar] [CrossRef]
- Kim, H.S.; Patel, B.; BeMiller, J.N. Effects of the amylose–amylopectin ratio on starch–hydrocolloid interactions. Carbohydr. Polym. 2013, 98, 1438–1448. [Google Scholar] [CrossRef]
- Dehabadi, L.; Shakouri, M.; Simonson, C.J.; Arjmand, M.; Sundararaj, U.; Wilson, L.D. Vapour and Solution Uptake Properties of Starch and Cellulose Biopolymers. J. Geosci. Environ. Prot. 2018, 6, 101–117. [Google Scholar] [CrossRef][Green Version]
- Zhang, Y.; Zhao, L.; Chen, Y. Synthesis and Characterization of Starch-g-Poly(acrylic acid)/Organo-Zeolite 4A Super-absorbent Composites With Respect to Their Water-Holding Capacities and Nutrient-Release Behavior. Polym. Compos. 2017, 38, 1838–1848. [Google Scholar] [CrossRef]
- Mirab, F.; Eslamian, M.; Bagheri, R. Fabrication and characterization of a starch-based nanocomposite scaffold with highly porous and gradient structure for bone tissue engineering. Biomed. Phys. Eng. Express 2018, 4, 5021. [Google Scholar] [CrossRef]
- Vudjung, C.; Saengsuwan, S. Biodegradable IPN Hydrogels Based on Pre-vulcanized Natural Rubber and Cassava Starch as Coating Membrane for Environment-Friendly Slow-Release Urea Fertilizer. J. Polym. Environ. 2018, 26, 3967–3980. [Google Scholar] [CrossRef]
- Thakur, K.; Rajhans, A.; Kandasubramanian, B. Starch/PVA hydrogels for oil/water separation. Environ. Sci. Pollut. Res. 2019, 26, 32013–32028. [Google Scholar] [CrossRef]
- Solé, I.; Vílchez, S.; Miras, J.; Montanyà, N.; Celma, G.M.J.; Esquena, J. DHA and l -carnitine loaded chitosan hydrogels as delivery systems for topical applications. Colloids Surf. A Physicochem. Eng. Asp. 2017, 525, 85–92. [Google Scholar] [CrossRef]
- Timur, M.; Paşa, A. Synthesis, Characterization, Swelling, and Metal Uptake Studies of Aryl Cross-Linked Chitosan Hydrogels. ACS Omega 2018, 3, 17416–17424. [Google Scholar] [CrossRef]
- Merlusca, I.P.; Ibanescu, C.; Tuchilus, C.; Danu, M.; Atanase, L.I.; Popa, I.M. Characterization of Neomycin-Loaded Xanthan-Chitosan Hydrogels for Topical Applications. Cellul. Chem. Technol. 2019, 53, 709–719. [Google Scholar] [CrossRef]
- Gupta, A.; Briffa, S.M.; Swingler, S.; Gibson, H.; Kannappan, V.; Adamus, G.; Kowalczuk, M.M.; Martin, C.; Radecka, I. Synthesis of Silver Nanoparticles Using Curcumin-Cyclodextrins Loaded into Bacterial Cellulose-Based Hydrogels for Wound Dressing Applications. Biomacromolecules 2020, 21, 1802–1811. [Google Scholar] [CrossRef]
- Hameed, A.; Khurshid, S.; Adnan, A. Synthesis and characterization of carboxymethyl cellulose based hydrogel and its applications on water treatment. Desalination Water Treat. 2020, 195, 214–227. [Google Scholar] [CrossRef]
- Souza, S.F.; Mariano, M.; De Farias, M.A.; Bernardes, J.S. Effect of depletion forces on the morphological structure of carboxymethyl cellulose and micro/nano cellulose fiber suspensions. J. Colloid Interface Sci. 2019, 538, 228–236. [Google Scholar] [CrossRef]
















Publisher’s Note: MDPI stays neutral with regard to jurisdictional claims in published maps and institutional affiliations. |
© 2021 by the authors. Licensee MDPI, Basel, Switzerland. This article is an open access article distributed under the terms and conditions of the Creative Commons Attribution (CC BY) license (http://creativecommons.org/licenses/by/4.0/).
Share and Cite
Karoyo, A.H.; Wilson, L.D. A Review on the Design and Hydration Properties of Natural Polymer-Based Hydrogels. Materials 2021, 14, 1095. https://doi.org/10.3390/ma14051095
Karoyo AH, Wilson LD. A Review on the Design and Hydration Properties of Natural Polymer-Based Hydrogels. Materials. 2021; 14(5):1095. https://doi.org/10.3390/ma14051095
Chicago/Turabian StyleKaroyo, Abdalla H., and Lee D. Wilson. 2021. "A Review on the Design and Hydration Properties of Natural Polymer-Based Hydrogels" Materials 14, no. 5: 1095. https://doi.org/10.3390/ma14051095
APA StyleKaroyo, A. H., & Wilson, L. D. (2021). A Review on the Design and Hydration Properties of Natural Polymer-Based Hydrogels. Materials, 14(5), 1095. https://doi.org/10.3390/ma14051095

