Physical Property Evolution of the Anode Mixture during the Baking Process
Abstract
1. Introduction
2. Methodology
2.1. Preparation of Anode Samples
2.2. Thermogravimetric Analysis (TGA)
2.3. Dilatometry
2.3.1. Device Description and Experimental Procedure
2.3.2. Characterization Method
2.4. Helium-Pycnometric Measurement of Real Density
2.5. Air Permeability Measurement
3. Mathematical Models
3.1. Baking Index and Shrinking Index
3.2. Physical Properties
3.2.1. Real Density
3.2.2. Apparent Density
3.2.3. Permeability
3.2.4. Porosities
3.2.5. Gas Pressure in Closed Pores
4. Results and Discussion
4.1. Thermogravimetric Analysis (TGA)
4.2. Real Densities
4.3. Air Permeability
4.4. Dilatometry
4.5. Apparent Density
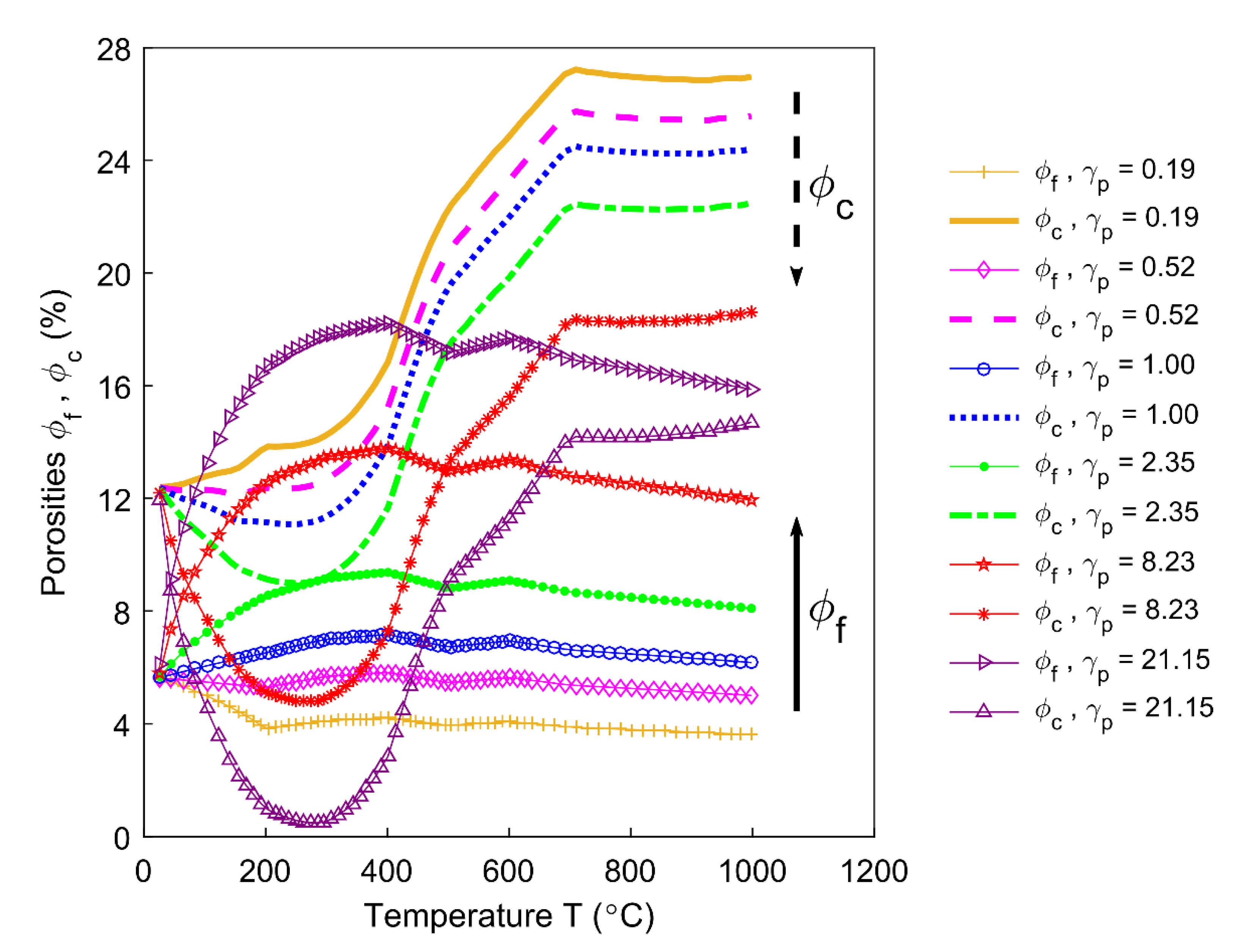
4.6. Porosities
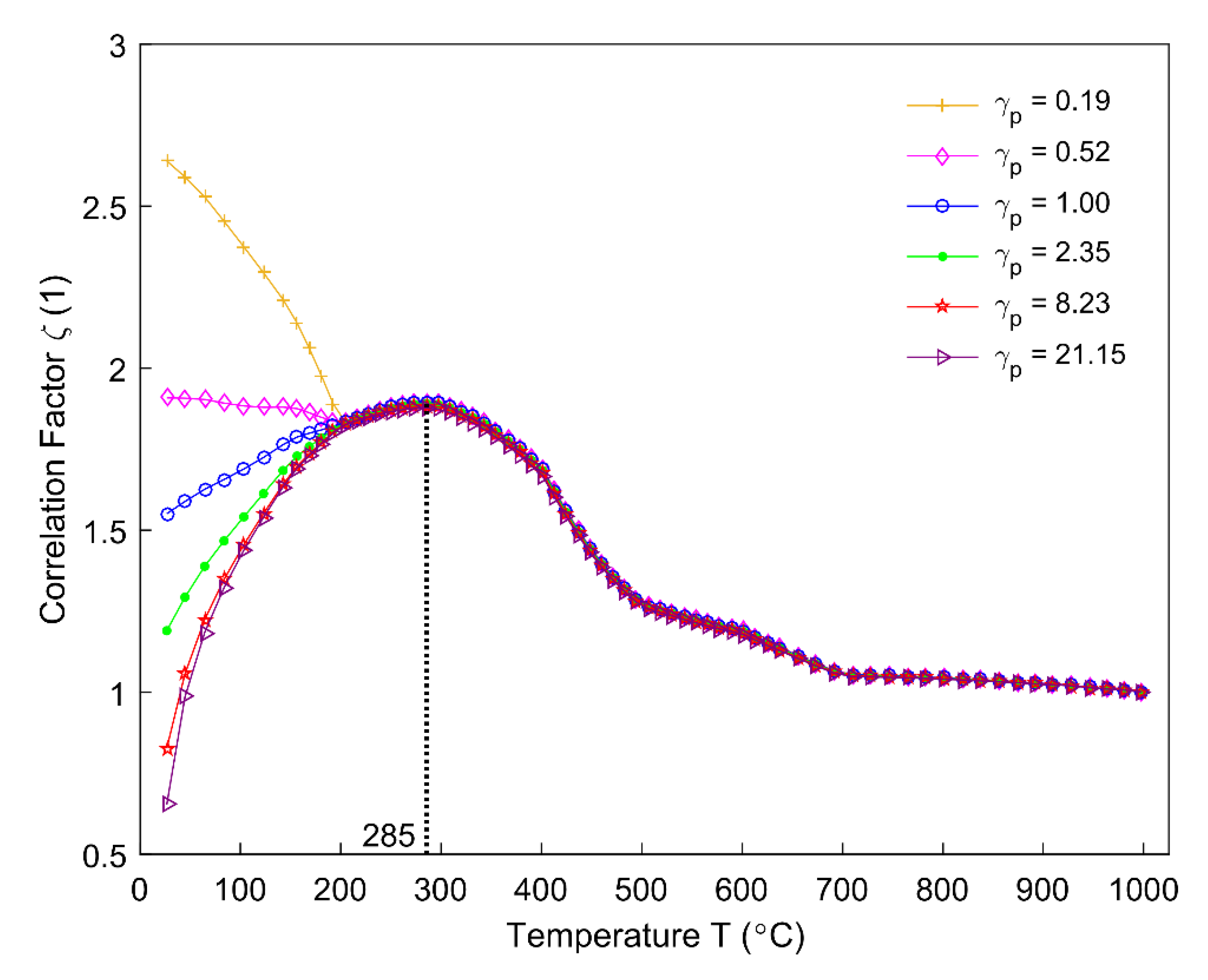
4.7. Shrinking Index and Baking Index
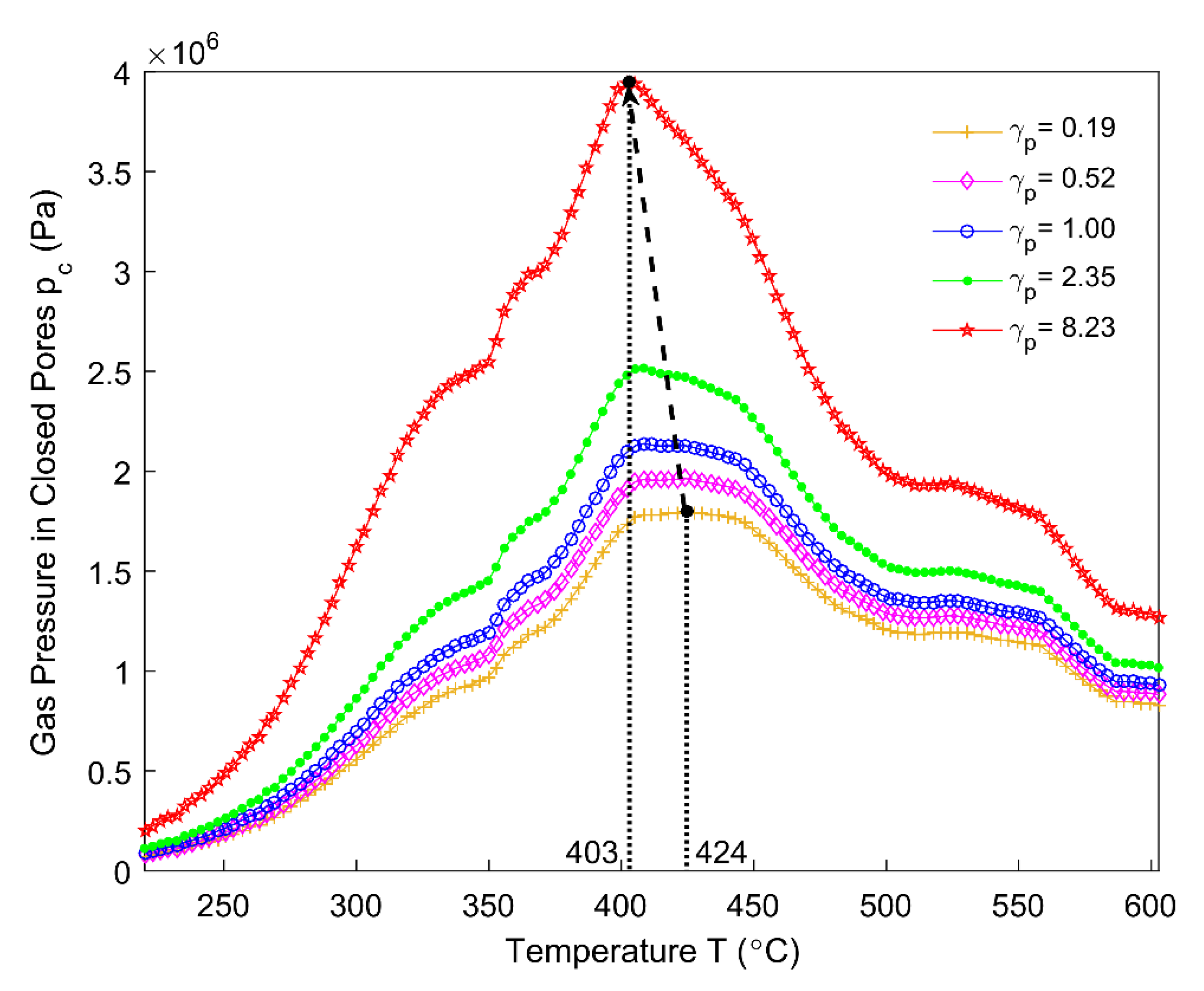
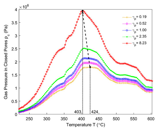
4.8. Gas Pressure in Closed Pores
5. Conclusions
Author Contributions
Funding
Institutional Review Board Statement
Informed Consent Statement
Data Availability Statement
Acknowledgments
Conflicts of Interest
Appendix A. Calculation of the Ratio of Apparent Volume
Appendix B. Extremity of the Permeability Correlator
Appendix C. Analysis of Variance (ANOVA) for the Data of Air Permeability
| Temperature (°C) | 25 | 200 | 300 | 400 | 500 | 600 | 700 | 1100 |
|---|---|---|---|---|---|---|---|---|
| Air permeability (nPm) | 0.217 | 0.440 | 0.655 | 0.895 | 0.416 | 0.733 | 0.126 | 0.862 |
| 0.409 | 0.631 | 0.651 | 0.606 | 0.859 | 0.476 | 0.565 | 0.164 | |
| 0.192 | 0.689 | 1.017 | 1.105 | 0.738 | 0.718 | 1.370 | 0.450 | |
| 0.825 | 0.918 | 1.186 | 1.247 | 0.604 | 1.013 | 0.813 | 0.658 | |
| 0.350 | 0.572 | 0.289 | 0.804 | 1.186 | 1.144 | 0.752 | ||
| 0.620 | 0.884 | 1.389 | 0.973 |
| Group No. | 1 | 2 | 3 | 4 | 5 | 6 | 7 | 8 |
|---|---|---|---|---|---|---|---|---|
| Temperature (°C) | 25 | 200 | 300 | 400 | 500 | 600 | 700 | 1100 |
| Group size | 6 | 6 | 6 | 5 | 5 | 6 | 5 | 4 |
| Average value (nPm) | 0.436 | 0.689 | 0.865 | 0.931 | 0.761 | 0.843 | 0.725 | 0.534 |
References
- Khaji, K.; Al Qassemi, M. The role of anode manufacturing processes in net carbon consumption. Metals 2016, 6, 128. [Google Scholar] [CrossRef]
- Hulse, K.L. Anode Manufacture: Raw Materials, Formulation and Processing Parameters, 1st ed.; R&D Carbon Ltd.: Sierre, Switzerland, 2000. [Google Scholar]
- Gundersen, Ø. Modelling of Structure and Properties of Soft Carbons with Application to Carbon Anode Baking. Ph.D. Thesis, Norwegian University of Science and Technology, Trondheim, Norway, 1998. Available online: https://www.itk.ntnu.no/databaser/dr_ing_avhandlinger/vedlegg/33_pdf.pdf (accessed on 18 December 2020).
- Chaouki, H.; Thibodeau, S.; Fafard, M.; Ziegler, D.; Alamdari, H. Characterization of the hot anode paste compaction process: A computational and experimental study. Materials 2019, 12, 800. [Google Scholar] [CrossRef]
- Meier, M.W. Cracking Behavior of Anodes; R&D Carbon Ltd.: Sierre, Switzerland, 1996. [Google Scholar]
- Tkac, M. Porosity Development in Composite Carbon Materials during Heat Treatment. Ph.D. Thesis, Norwegian University of Science and Technology, Trondheim, Norway, 2007. Available online: https://ntnuopen.ntnu.no/ntnu-xmlui/bitstream/handle/11250/248723/124192_FULLTEXT01.pdf?sequence=1 (accessed on 18 December 2020).
- Hüttinger, K.J.; Rosenblatt, U. Pressure effects on the yield and on the microstructure formation in the pyrolysis of coal tar and petroleum pitches. Carbon 1977, 15, 69–74. [Google Scholar] [CrossRef]
- Mrozowski, S. Mechanical Strength, Thermal Expansion and Structures of Cokes and Carbons. In Proceedings of the First and Second Conferences on Carbon, Buffalo, NY, USA, 1 January 1956; Available online: http://scholar.google.ca/scholar?q=Mechanical+Strength,+Thermal+Expansion+and+Structures+of+Cokes+and+Carbons&hl=en&as_sdt=0&as_vis=1&oi=scholart (accessed on 18 December 2020).
- Edwards Ian, A.S.; Marsh, H.; Menendez, R.; Rand, B.; West, S.; Hosty, A.J.; Kuo, K.; McEnaney, B.; Mays, T.; Johnson, D.J.; et al. Introduction to Carbon Science; Marsh, H., Ed.; Butterworths: London, UK, 1989. [Google Scholar]
- D’Amours, G. Développement de Lois Constitutives Thermomécaniques pour Les Matériaux à base de Carbone lors du Préchauffage d’une Cuve d’Électrolyse. Ph.D. Thesis, Université Laval, Quebec City, QC, Canada, 2004. Available online: https://search-proquest-com.acces.bibl.ulaval.ca/docview/305088382?accountid=12008 (accessed on 18 December 2020).
- Rørvik, S.; Lossius, L.P.; Ratvik, A.P. Determination of Coke Calcination Level and Anode Baking Level—Application and Reproducibility of L-Sub-C Based Methods; Lindsay, S.J., Ed.; TMS Light Metals: San Diego, CA, USA, 2011; pp. 841–846. [Google Scholar] [CrossRef]
- Foosnæs, T.; Kulset, N.; Linga, H.; Næumann, G.R.; Werge-Olsen, A. Measurement and Control of the Calcining Level in Anode Baking Furnaces; Sadler, B.A., Ed.; TMS Light Metals: San Antonio, TX, USA, 2013; pp. 418–421. [Google Scholar] [CrossRef]
- Chen, B.; Chaouki, H.; Picard, D.; Ziegler, D.; Alamdari, H.; Fafard, M. Thermo-chemo-poromechanical modeling of the anode mixture during the baking process: Constitutive laws and governing equations. J. Appl. Mech. 2020, 87, 011001. [Google Scholar] [CrossRef]
- Putri, E.; Brooks, G.; Snook, G.; Eick, I. Anode Characterisation and Gas Diffusion Behaviour in Aluminium Smelting. In Proceedings of the 1st International Process Metallurgy Conference, West Java, Indonesia, 10–11 November 2016; Mubarok, M.Z., Chaerun, S.K., Ichlas, Z.T., Eds.; AIP publishing LLC: Melville, NY, USA. [Google Scholar] [CrossRef]
- Ehrburger, P.; Sanseigne, E.; Tahon, B. Formation of porosity and change in binder pitch properties during thermal treatment of green carbon materials. Carbon 1996, 34, 1493–1499. [Google Scholar] [CrossRef]
- Fitzer, E.; Hüttinger, K.J.; Megalopoulos, A. Dilatometric study of the baking behaviour of pitch bonded carbon artifacts. Carbon 1973, 11, 621–626. [Google Scholar] [CrossRef]
- Lezzerini, M.; Calderone, F.; Letizia, I. Expansion of Carbon Bodies during Baking Measured in Laboratory and Industrial Furnaces; High Temp-High Press, Old City Publishing, Inc.: Philadelphia, PA, USA, 1987; Volume 19, pp. 567–572. [Google Scholar]
- Born, M.; Seichter, A.; Starke, S. Characterization of baking behaviour of carbonaceous materials by dilatation investigations. Carbon 1990, 28, 281–285. [Google Scholar] [CrossRef]
- Wallouch, R.W.; Murty, H.N.; Heintz, E.A. Pyrolysis of coal tar pitch binders. Carbon 1972, 10, 729–735. [Google Scholar] [CrossRef]
- Tremblay, F.; Charette, A. Cinétique de dégagement des matieres volatiles lors de la pyrolyse d’électrodes de carbone industrielles. Can. J. Chem. Eng. 1988, 66, 86–96. [Google Scholar] [CrossRef][Green Version]
- Kocaefe, D.; Charette, A.; Ferland, J.; Couderc, P.; Saint-Romain, J.L. A kinetic study of pyrolysis in pitch impregnated electrodes. Can. J. Chem. Eng. 1990, 68, 988–996. [Google Scholar] [CrossRef]
- Charette, A.; Kocaefe, D.; Saint-Romain, J.L.; Couderc, P. Comparison of various pitches for impregnation in carbon electrodes. Carbon 1991, 29, 1015–1024. [Google Scholar] [CrossRef]
- Jacobsen, M.; Melaaen, M.C. Heat and Mass Transfer in Anode Materials During Baking; Evans, J.W., Ed.; TMS Light Metals: Las Vegas, NV, USA; Minerals, Metals & Materials Society: Warrendale, PA, USA, 1995; pp. 681–690. [Google Scholar]
- Jacobsen, M.; Gundersen, Ø. Anode Property Development During Heat Treatment; Huglen, R., Ed.; TMS Light Metals: Orlando, FL, USA; Minerals, Metals & Materials Society: Warrendale, PA, USA, 1997; pp. 597–604. [Google Scholar]
- Jacobsen, M.; Melaaen, M.C. Numerical simulation of the baking of porous anode carbon in a vertical flue ring furnace. Numer. Heat Transf. A Appl. 1998, 34, 571–598. [Google Scholar] [CrossRef]
- Azari, K. Investigation of the Materials and Paste Relationships to Improve Forming Process and Anode Quality. Ph.D. Thesis, Université Laval, Quebec City, QC, Canada, 2013. Available online: http://hdl.handle.net/20.500.11794/24666 (accessed on 18 December 2020).
- Charette, A.; Ferland, J.; Kocaefe, D.; Couderc, P.; Saint-Romain, J.L. Experimental and kinetic study of volatile evolution from impregnated electrodes. Fuel 1990, 69, 194–202. [Google Scholar] [CrossRef]
- Chevarin, F.; Lemieux, L.; Picard, D.; Ziegler, D.; Fafard, M.; Alamdari, H. Characterization of carbon anode constituents under CO2 gasification: A try to understand the dusting phenomenon. Fuel 2015, 156, 198–210. [Google Scholar] [CrossRef]
- International Standard ISO 12988-2:2004. Carbonaceous Materials Used in the Production of Aluminium—Baked Anodes—Determination of the Reactivity to Carbon Dioxide—Part 2: Thermogravimetric Method; ISO/TC 226 Materials for the Production of Primary Aluminium; British Standards Institution: London, UK, 2004. [Google Scholar]
- International Standard ISO 14428:2004(E). Carbonaceous Materials for the Production of Aluminium—Cold and Tepid Ramming Pastes—Expansion/Shrinkage During Baking; ISO/TC 226 Materials for the Production of Primary Aluminium; British Standards Institution: London, UK, 2004. [Google Scholar]
- ASTM Standard D2638-10. Standard Test Method for Real Density of Calcined Petroleum Coke by Helium Pycnometer; ASTM International: West Conshohocken, PA, USA, 2018. [Google Scholar] [CrossRef]
- International Standard ISO 15906:2007. Carbonaceous Materials for the Production of Aluminium–Baked Anodes–Determination of the Air Permeability; ISO/TC 226 Materials for the Production of Primary Aluminium; British Standards Institution: London, UK, 2007. [Google Scholar]
- Daguerre, E.; Nauguier, F.; Py, X. Alpha-relaxation of a coal tar pitch and temperature-density effects on the viscoelastic parameters analysis. Carbon 1998, 36, 1099–1105. [Google Scholar] [CrossRef]
- Azari, K.; Alamdari, H.; Ziegler, D.; Fafard, M. Influence of coke particle characteristics on the compaction properties of carbon paste material. Powder Technol. 2014, 257, 132–140. [Google Scholar] [CrossRef]
- Craig, W.; Leonard, A. Manufacturing Engineering and Technology; ED-Tech Press: Waltham Abbey, UK, 2019. [Google Scholar]
- Holm, K. The Properties of Calcined Anthracite. Master’s Thesis, Norwegian University of Science and Technology, Trondheim, Norway, 2017. Available online: http://hdl.handle.net/11250/2454741 (accessed on 18 December 2020).
- Keller, F.; Fischer, W.K. Development of Anode Quality Criteria by Statistical Evolution of Operational Results in the Electrolysis; Andersen, J.E., Ed.; TMS Light Metals: Dallas, TX, USA; Metallurgical Society of AIME: Warrendale, PA, USA, 1982; pp. 729–740. [Google Scholar]
- Behzad, M. Discrete Element Method Simulation of Packing and Rheological Properties of Coke and Coke/Pitch Mixtures. Ph.D. Thesis, Université Laval, Quebec City, QC, Canada, 2018. Available online: http://hdl.handle.net/20.500.11794/30959 (accessed on 18 December 2020).
- Marsh, H.; Martínez-Escandell, M.; Rodríguez-Reinoso, F. Semicokes from Pitch Pyrolysis: Mechanisms and Kinetics. Carbon 1999, 37, 363–390. [Google Scholar] [CrossRef]
- Hurlen, J.; Naterstad, T. Recent developments in carbon baking technology. J. Met. 1991, 43, 20–25. [Google Scholar] [CrossRef]
- Lustenberger, M. Heat Treatment of Carbon Anodes for the Aluminium Industry. Ph.D Thesis, École Polytechnique Fédéral de Lausanne, Lausanne, Switzerland, 2004. Available online: https://infoscience.epfl.ch/record/33510 (accessed on 18 December 2020).
- Gundersen, Ø.; Balchen, J.G. Modeling and simulation of an anode carbon baking furnace. Model. Ident. Control 1995, 16, 3–33. Available online: http://www.mic-journal.no/pdf/1995/MIC-1995-1-1.pdf (accessed on 18 December 2020). [CrossRef][Green Version]
- Clinch, S.B. Aluminium Industry Sustainability Study: Composite Anode Improvement Technologies. Ph.D Thesis, University of New South Wales, Kensington, Australia, 2012. Available online: http://unsworks.unsw.edu.au/fapi/datastream/unsworks:11325/SOURCE01 (accessed on 18 December 2020).
- Zaglafi, S. Caractérisation Thermo-Chimio-Mécanique de l’Anode de Carbone et Identification des Paramètres des Lois de Comportement; Mémoire de Maîtrise; Université Laval: Quebec City, QC, Canada, 2019; Available online: http://hdl.handle.net/20.500.11794/33773 (accessed on 18 December 2020).






















| Size Range (US Mesh) | Mass (wt.%) |
|---|---|
| −4 + 8 | 22.0 |
| −8 + 14 | 10.0 |
| −14 + 30 | 11.5 |
| −30 + 50 | 12.7 |
| −50 + 100 | 8.8 |
| −100 + 200 | 10.8 |
| >−200 | 24.2 |
| Softening Point (°C) | Quinoline Insoluble (%) | Coking Value (%) |
|---|---|---|
| 109.5 | 16.5 | 58.8 |
| Characterizations | Type | Diameter × Height (mm × mm) |
|---|---|---|
| Thermogravimetric analysis | Green | 50 × 50 |
| Dilatometry | 50 × 50 | |
| Helium-pycnometric measurement | Baked | - |
| Air permeability measurement | 50 × 20 |
| No. | Size Range (US Mesh) | Mass Fraction (wt.%) | Closed Porosity of Filler Coke Aggregates (%) | Open Porosity of Filler Coke Aggregates (%) |
|---|---|---|---|---|
| 1 | −4 + 8 | 22 | 2.33594 | 31.2216 |
| 2 | −8 + 16 | 10 | 2.45957 | 26.8466 |
| 3 | −16 + 30 | 11.5 | 2.83879 | 19.9858 |
| 4 | −30 + 50 | 12.7 | 2.87717 | 16.3068 |
Publisher’s Note: MDPI stays neutral with regard to jurisdictional claims in published maps and institutional affiliations. |
© 2021 by the authors. Licensee MDPI, Basel, Switzerland. This article is an open access article distributed under the terms and conditions of the Creative Commons Attribution (CC BY) license (http://creativecommons.org/licenses/by/4.0/).
Share and Cite
Chen, B.; Chaouki, H.; Picard, D.; Lauzon-Gauthier, J.; Alamdari, H.; Fafard, M. Physical Property Evolution of the Anode Mixture during the Baking Process. Materials 2021, 14, 923. https://doi.org/10.3390/ma14040923
Chen B, Chaouki H, Picard D, Lauzon-Gauthier J, Alamdari H, Fafard M. Physical Property Evolution of the Anode Mixture during the Baking Process. Materials. 2021; 14(4):923. https://doi.org/10.3390/ma14040923
Chicago/Turabian StyleChen, Bowen, Hicham Chaouki, Donald Picard, Julien Lauzon-Gauthier, Houshang Alamdari, and Mario Fafard. 2021. "Physical Property Evolution of the Anode Mixture during the Baking Process" Materials 14, no. 4: 923. https://doi.org/10.3390/ma14040923
APA StyleChen, B., Chaouki, H., Picard, D., Lauzon-Gauthier, J., Alamdari, H., & Fafard, M. (2021). Physical Property Evolution of the Anode Mixture during the Baking Process. Materials, 14(4), 923. https://doi.org/10.3390/ma14040923

