Influence of Initial Temperature and Convective Heat Loss on the Self-Propagating Reaction in Al/Ni Multilayer Foils
Abstract
1. Introduction
2. Materials and Methods
2.1. Model Description
2.2. Premixing and Concentration Profiles
2.3. Heat of Reaction
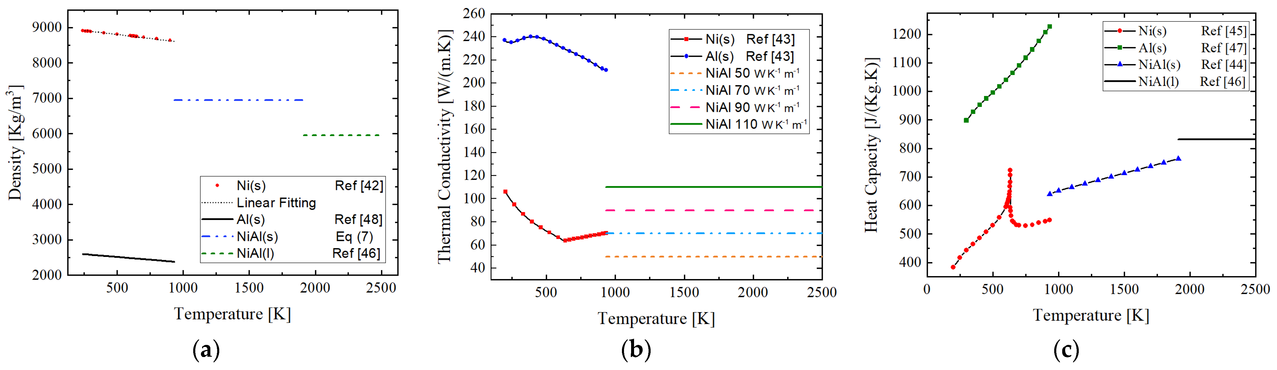
2.4. Material Properties
2.5. Ignition Initiator
2.6. Al/Ni Multilayer Deposition
2.7. Ignition and Measurements
2.8. Foil Formation
3. Results and Discussion
3.1. Adjustment of Model Parameters
3.2. Influence of Premixing
3.3. Influence of NiAl Thermal Conductivity
3.4. Influence of Convective Heat Loss
3.5. Influence of Initial Temperature
4. Conclusions
Author Contributions
Funding
Institutional Review Board Statement
Informed Consent Statement
Data Availability Statement
Acknowledgments
Conflicts of Interest
References
- Anselmi-Tamburini, U.; Munir, Z. The propagation of a solid-state combustion wave in Ni-Al foils. J. Appl. Phys. 1989, 66, 5039–5045. [Google Scholar] [CrossRef]
- Gunduz, I.E.; Fadenberger, K.; Kokonou, M.; Rebholz, C.; Doumanidis, C.C. Investigations on the self propagating reactions of nickel and aluminum multilayered foils. Appl. Phys. Lett. 2008, 93, 134101. [Google Scholar] [CrossRef]
- Hardt, A.; Phung, P. Propagation of gasless reactions in solids—I. Analytical study of exothermic intermetallic reaction rates. Combust. Flame 1973, 21, 77–89. [Google Scholar] [CrossRef]
- Ito, S.; Inoue, S.; Namazu, T. The size limit of Al/Ni multilayer rectangular cuboids for generating self-propagating exothermic reaction on a Si wafer. In Proceedings of the 2013 Transducers & Eurosensors XXVII: The 17th International Conference on Solid-State Sensors, Actuators and Microsystems (TRANSDUCERS & EUROSENSORS XXVII), Barcelona, Spain, 16–20 June 2013; pp. 1927–1930. [Google Scholar]
- Crone, J.C.; Knap, J.; Chung, P.W.; Rice, B.M. Role of microstructure in initiation of Ni–Al reactive multilayers. Appl. Phys. Lett. 2011, 98, 141910. [Google Scholar] [CrossRef]
- Yang, C.; Hu, Y.; Shen, R.; Ye, Y.; Wang, S.; Hua, T. Fabrication and performance characterization of Al/Ni multilayer energetic films. Appl. Phys. A 2014, 114, 459–464. [Google Scholar] [CrossRef]
- Namazu, T.; Ito, S.; Kanetsuki, S.; Miyake, S. Size effect in self-propagating exothermic reaction of Al/Ni multilayer block on a Si wafer. Jpn. J. Appl. Phys. 2017, 56, 06GN11. [Google Scholar] [CrossRef][Green Version]
- Stover, A.; Krywopusk, N.; Fritz, G.; Barron, S.; Gibbins, J.; Weihs, T. An analysis of the microstructure and properties of cold-rolled Ni: Al laminate foils. J. Mater. Sci. 2013, 48, 5917–5929. [Google Scholar] [CrossRef]
- Weihs, T. Fabrication and characterization of reactive multilayer films and foils. In Metallic Films for Electronic, Optical and Magnetic Applications; Elsevier: Amsterdam, The Netherlands, 2014; pp. 160–243. [Google Scholar]
- Adams, D. Reactive multilayers fabricated by vapor deposition: A critical review. Thin Solid Films 2015, 576, 98–128. [Google Scholar] [CrossRef]
- Mukasyan, A.S.; Rogachev, A.S.; Aruna, S.T. Combustion synthesis in nanostructured reactive systems. Adv. Powder Technol. 2015, 26, 954–976. [Google Scholar] [CrossRef]
- Mukasyan, A.S.; Shuck, C.E.; Pauls, J.M.; Manukyan, K.V.; Moskovskikh, D.O.; Rogachev, A.S. The solid flame phenomenon: A novel perspective. Adv. Eng. Mater. 2018, 20, 1701065. [Google Scholar] [CrossRef]
- Baras, F.; Turlo, V.; Politano, O.; Vadchenko, S.G.; Rogachev, A.S.; Mukasyan, A.S. SHS in Ni/Al nanofoils: A review of experiments and molecular dynamics simulations. Adv. Eng. Mater. 2018, 20, 1800091. [Google Scholar] [CrossRef]
- Scheppe, F.; Sahm, P.; Hermann, W.; Paul, U.; Preuhs, J. Nickel aluminides: A step toward industrial application. Mater. Sci. Eng. A 2002, 329, 596–601. [Google Scholar] [CrossRef]
- Zhu, Y.; Geng, J.; Wang, F.; Yan, S.; Zhao, P.; Meng, Q.; Wang, J.; Wu, Q. Preparation of Al/Ni reactive multilayer foils and its application in thermal battery. Z. Anorg. Allg. Chem. 2020, 646, 200–206. [Google Scholar] [CrossRef]
- Kokonou, M.; Giannakopoulos, K.; Gunduz, I.; Fadenberger, K.; Rebholz, C.; Doumanidis, C. Reactive bimetallic Al/Ni nanostructures for nanoscale heating applications fabricated using a porous alumina template. Microelectron. Eng. 2009, 86, 836–839. [Google Scholar] [CrossRef]
- Braeuer, J.; Besser, J.; Wiemer, M.; Gessner, T. A novel technique for MEMS packaging: Reactive bonding with integrated material systems. Sens. Actuator A 2012, 188, 212–219. [Google Scholar] [CrossRef]
- Wang, J.; Besnoin, E.; Knio, O.; Weihs, T. Effects of physical properties of components on reactive nanolayer joining. J. Appl. Phys. 2005, 97, 114307. [Google Scholar] [CrossRef]
- Swiston, A.J.; Besnoin, E.; Duckham, A.; Knio, O.M.; Weihs, T.P.; Hufnagel, T.C. Thermal and microstructural effects of welding metallic glasses by self-propagating reactions in multilayer foils. Acta Mater. 2005, 53, 3713–3719. [Google Scholar] [CrossRef]
- Danzi, S.; Menetrey, M.; Wohlwend, J.; Spolenak, R. Thermal management in Ni/Al reactive multilayers: Understanding and preventing reaction quenching on thin film heat sinks. ACS Appl. Mater. Interfaces 2019, 11, 42479–42485. [Google Scholar] [CrossRef] [PubMed]
- Gavens, A.; Van Heerden, D.; Mann, A.; Reiss, M.; Weihs, T. Effect of intermixing on self-propagating exothermic reactions in Al/Ni nanolaminate foils. J. Appl. Phys. 2000, 87, 1255–1263. [Google Scholar] [CrossRef]
- Knepper, R.; Snyder, M.R.; Fritz, G.; Fisher, K.; Knio, O.M.; Weihs, T.P. Effect of varying bilayer spacing distribution on reaction heat and velocity in reactive Al/Ni multilayers. J. Appl. Phys. 2009, 105, 083504. [Google Scholar] [CrossRef]
- Mann, A.; Gavens, A.; Reiss, M.; Van Heerden, D.; Bao, G.; Weihs, T. Modeling and characterizing the propagation velocity of exothermic reactions in multilayer foils. J. Appl. Phys. 1997, 82, 1178–1188. [Google Scholar] [CrossRef]
- Jayaraman, S.; Mann, A.B.; Weihs, T.P.; Knio, O.M. A numerical study of unsteady self-propagating reactions in multilayer foils. In Proceedings of the Symposium (International) on Combustion, Boulder, CO, USA, 2–7 August 1998; pp. 2459–2467. [Google Scholar]
- Besnoin, E.; Cerutti, S.; Knio, O.M.; Weihs, T.P. Effect of reactant and product melting on self-propagating reactions in multilayer foils. J. Appl. Phys. 2002, 92, 5474–5481. [Google Scholar] [CrossRef]
- Gunduz, I.E.; Fadenberger, K.; Kokonou, M.; Rebholz, C.; Doumanidis, C.C.; Ando, T. Modeling of the self-propagating reactions of nickel and aluminum multilayered foils. J. Appl. Phys. 2009, 105, 074903. [Google Scholar] [CrossRef]
- Salloum, M.; Knio, O.M. Simulation of reactive nanolaminates using reduced models: II. Normal propagation. Combust. Flame 2010, 157, 436–445. [Google Scholar] [CrossRef]
- Alawieh, L.; Weihs, T.P.; Knio, O.M. A generalized reduced model of uniform and self-propagating reactions in reactive nanolaminates. Combust. Flame 2013, 160, 1857–1869. [Google Scholar] [CrossRef]
- Jayaraman, S.; Knio, O.; Mann, A.; Weihs, T. Numerical predictions of oscillatory combustion in reactive multilayers. J. Appl. Phys. 1999, 86, 800–809. [Google Scholar] [CrossRef]
- Rzyman, K.; Moser, Z.; Watson, R.; Weinert, M. Enthalpies of formation of AlNi: Experiment versus theory. J. Phase. Equilib. 1998, 19, 106–111. [Google Scholar] [CrossRef]
- Rzyman, K.; Moser, Z. Calorimetric studies of the enthalpies of formation of Al3Ni2, AlNi and AlNi3. Prog. Mater. Sci. 2004, 49, 581–606. [Google Scholar] [CrossRef]
- Swaminathan, P.; Grapes, M.D.; Woll, K.; Barron, S.C.; LaVan, D.A.; Weihs, T.P. Studying exothermic reactions in the Ni-Al system at rapid heating rates using a nanocalorimeter. J. Appl. Phys. 2013, 113, 143509. [Google Scholar] [CrossRef]
- Fritz, G.M.; Spey, S.J.; Grapes, M.D.; Weihs, T.P. Thresholds for igniting exothermic reactions in Al/Ni multilayers using pulses of electrical, mechanical, and thermal energy. J. Appl. Phys. 2013, 113, 014901. [Google Scholar] [CrossRef]
- Lakshmikantha, M.; Bhattacharya, A.; Sekhar, J. Numerical modeling of solidification combustion synthesis. Metall. Mater. Trans. 1992, 23, 23–34. [Google Scholar] [CrossRef]
- Kim, K. Numerical investigation of the self-propagation of intermetallic reaction waves in nanoscale aluminum/nickel reactive multilayer foils. Korean J. Met. Mater. 2019, 57, 97–107. [Google Scholar] [CrossRef]
- Wang, T.; Zeng, Q.; Li, M. Characterization and application of Al/Ni reactive multilayers in exploding foils. Cent. Eur. J. Energ. Mater. 2017, 14, 547–558. [Google Scholar] [CrossRef]
- Ansara, I.; Sundman, B.; Willemin, P. Thermodynamic modeling of ordered phases in the Ni/Al system. Acta Metall. 1988, 36, 977–982. [Google Scholar] [CrossRef]
- Burton, B.P.; Osburn, J.E.; Pasturel, A. Theoretical calculations of the NiAl-NiTi phase diagram based on first-principles linear-muffin-tin-orbital and full-potential linearly-augmented plane-wave cohesive-energy calculations. Phys. Rev. B Condens. Matter 1992, 45, 7677–7683. [Google Scholar] [CrossRef]
- Wang, A.; Gallino, I.; Riegler, S.S.; Lin, Y.-T.; Isaac, N.A.; Camposano, Y.H.S.; Matthes, S.; Flock, D.; Jacobs, H.O.; Yen, H.-W.J.M.; et al. Ultrafast formation of single phase B2 AlCoCrFeNi high entropy alloy films by reactive Ni/Al multilayers as heat source. Mater. Des. 2021, 206, 109790. [Google Scholar] [CrossRef]
- Kim, J.; LaGrange, T.; Reed, B.; Knepper, R.; Weihs, T.; Browning, N.; Campbell, G. Direct characterization of phase transformations and morphologies in moving reaction zones in Al/Ni nanolaminates using dynamic transmission electron microscopy. Acta Mater. 2011, 59, 3571–3580. [Google Scholar] [CrossRef]
- Shteinberg, A.; Shcherbakov, V.; Munir, Z. Kinetics of combustion in the layered Ni-Al system. Combust. Sci. Technol. 2001, 169, 1–24. [Google Scholar] [CrossRef]
- Abdullaev, R.; Kozlovskii, Y.M.; Khairulin, R.; Stankus, S. Density and thermal expansion of high purity nickel over the temperature range from 150 K to 2030 K. Int. J. Thermophys. 2015, 36, 603–619. [Google Scholar] [CrossRef]
- Alawieh, L.; Knio, O.M.; Weihs, T.P. Effect of thermal properties on self-propagating fronts in reactive nanolaminates. J. Appl. Phys. 2011, 110, 013509. [Google Scholar] [CrossRef]
- Alexander, C.; Ogden, J.; Risser, S.; Wood, V.E. Thermodynamic characterization of NiAl. J. Chem. Thermodyn. 2009, 41, 610–616. [Google Scholar] [CrossRef]
- Meschter, P.J.; Wright, J.W.; Brooks, C.R.; Kollie, T.G. Physical contributions to the heat capacity of nickel. J. Phys. Chem. Solids 1981, 42, 861–871. [Google Scholar] [CrossRef]
- Li, H.; Sekhar, J. Numerical analysis for micropyretic synthesis of NiAl intermetallic compound. J. Mater. Sci. 1995, 30, 4628–4636. [Google Scholar] [CrossRef]
- Desai, P. Thermodynamic properties of aluminum. Int. J. Thermophys. 1987, 8, 621–638. [Google Scholar] [CrossRef]
- Valencia, J.J.; Quested, P.N. Handbook, ASM; ASM International: Russell Township, OH, USA, 2008; Volume 15, pp. 468–481. [Google Scholar]
- Darolia, R.; Walston, W.; Nathal, M. NiAl alloys for turbine airfoils. Superalloys 1996, 1996, 561–570. [Google Scholar]
- Fritz, G.M.; Grzyb, J.A.; Knio, O.M.; Grapes, M.D.; Weihs, T.P. Characterizing solid-state ignition of runaway chemical reactions in Ni-Al nanoscale multilayers under uniform heating. J. Appl. Phys. 2015, 118, 135101. [Google Scholar] [CrossRef]
- Yarrington, C.; Abere, M.; Adams, D.; Hobbs, M. Reactive nanolaminate pulsed-laser ignition mechanism: Modeling and experimental evidence of diffusion limited reactions. J. Appl. Phys. 2017, 121, 134301. [Google Scholar] [CrossRef]
- Sauni Camposano, Y.H.; Riegler, S.S.; Jaekel, K.; Schmauch, J.; Pauly, C.; Schäfer, C.; Bartsch, H.; Mücklich, F.; Gallino, I.; Schaaf, P. Phase transformation and characterization of 3D reactive microstructures in nanoscale Al/Ni multilayers. Appl. Sci. 2021, 11, 9304. [Google Scholar] [CrossRef]
- Xiong, Y.-j.; Qiu, Z.-l.; Li, R.-d.; Yuan, T.-c.; Hong, W.; Liu, J.-h. Preparation of ultra-fine grain Ni–Al–WC coating with interlocking bonding on austenitic stainless steel by laser clad and friction stir processing. Trans. Nonferrous Met. Soc. China 2015, 25, 3685–3693. [Google Scholar] [CrossRef]
- Kwiecien, I.; Bobrowski, P.; Wierzbicka-Miernik, A.; Litynska-Dobrzynska, L.; Wojewoda-Budka, J. Growth kinetics of the selected intermetallic phases in Ni/Al/Ni system with various nickel substrate microstructure. J. Nanomater. 2019, 9, 134. [Google Scholar] [CrossRef]
- Castellanos-Gomez, A.; Buscema, M.; Molenaar, R.; Singh, V.; Janssen, L.; Van Der Zant, H.S.; Steele, G.A. Deterministic transfer of two-dimensional materials by all-dry viscoelastic stamping. 2D Mater. 2014, 1, 011002. [Google Scholar] [CrossRef]
- Armstrong, R. Models for gasless combustion in layered materials and random media. Combust. Sci. Technol. 1990, 71, 155–174. [Google Scholar] [CrossRef]
- Grapes, M.D.; Weihs, T.P. Exploring the reaction mechanism in self-propagating Al/Ni multilayers by adding inert material. Combust. Flame 2016, 172, 105–115. [Google Scholar] [CrossRef]
- Pauls, J.M.; Shuck, C.E.; Genç, A.; Rouvimov, S.; Mukasyan, A.S. In-situ transmission electron microscopy determination of solid-state diffusion in the aluminum-nickel system. J. Solid State Chem. 2019, 276, 114–121. [Google Scholar] [CrossRef]
- Kosky, P.; Balmer, R.; Keat, W.; Wise, G. Mechanical Engineering. In Exploring Engineering; Elsevier: Amsterdam, The Netherlands, 2021; pp. 317–340. [Google Scholar]












| Convection Type | Convection Coefficient h (W m−2 K−1) |
|---|---|
| Air, Free Convection | 2.5–25 |
| Air, Forced Convection | 10–500 |
| Liquid, Forced Convection | 100–15,000 |
Publisher’s Note: MDPI stays neutral with regard to jurisdictional claims in published maps and institutional affiliations. |
© 2021 by the authors. Licensee MDPI, Basel, Switzerland. This article is an open access article distributed under the terms and conditions of the Creative Commons Attribution (CC BY) license (https://creativecommons.org/licenses/by/4.0/).
Share and Cite
Baloochi, M.; Shekhawat, D.; Riegler, S.S.; Matthes, S.; Glaser, M.; Schaaf, P.; Bergmann, J.P.; Gallino, I.; Pezoldt, J. Influence of Initial Temperature and Convective Heat Loss on the Self-Propagating Reaction in Al/Ni Multilayer Foils. Materials 2021, 14, 7815. https://doi.org/10.3390/ma14247815
Baloochi M, Shekhawat D, Riegler SS, Matthes S, Glaser M, Schaaf P, Bergmann JP, Gallino I, Pezoldt J. Influence of Initial Temperature and Convective Heat Loss on the Self-Propagating Reaction in Al/Ni Multilayer Foils. Materials. 2021; 14(24):7815. https://doi.org/10.3390/ma14247815
Chicago/Turabian StyleBaloochi, Mostafa, Deepshikha Shekhawat, Sascha Sebastian Riegler, Sebastian Matthes, Marcus Glaser, Peter Schaaf, Jean Pierre Bergmann, Isabella Gallino, and Jörg Pezoldt. 2021. "Influence of Initial Temperature and Convective Heat Loss on the Self-Propagating Reaction in Al/Ni Multilayer Foils" Materials 14, no. 24: 7815. https://doi.org/10.3390/ma14247815
APA StyleBaloochi, M., Shekhawat, D., Riegler, S. S., Matthes, S., Glaser, M., Schaaf, P., Bergmann, J. P., Gallino, I., & Pezoldt, J. (2021). Influence of Initial Temperature and Convective Heat Loss on the Self-Propagating Reaction in Al/Ni Multilayer Foils. Materials, 14(24), 7815. https://doi.org/10.3390/ma14247815

