Microstructural and Optical Properties of MgAl2O4 Spinel: Effects of Mechanical Activation, Y2O3 and Graphene Additions
Abstract
:1. Introduction
2. Experimental Methods
3. Results and Discussion
4. Conclusions
- All specimens were nominally phase-pure spinel after HP. Dense, homogeneous and fully sintered microstructures were characteristic of all specimens. Nonactivated samples exhibited a larger number of closed spherical pores and lower relative densities (96.5% TD), while the densest sample was the one with Y2O3 addition (>99.5% TD).
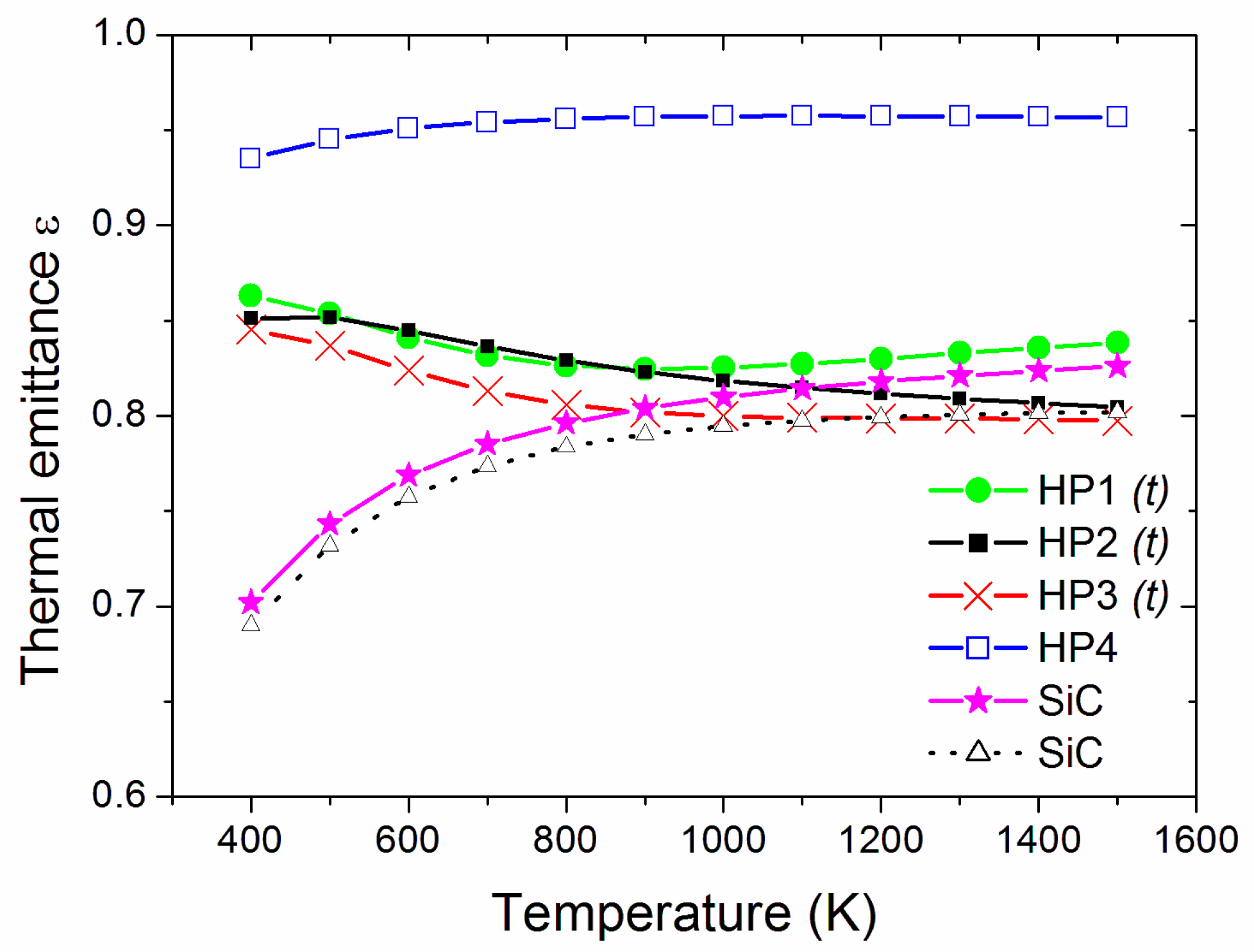
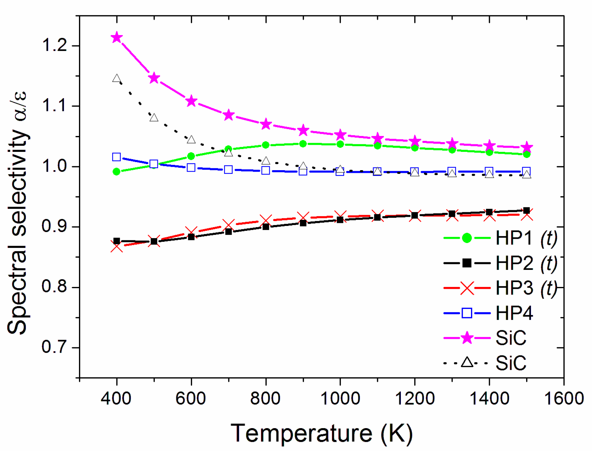
- The samples with the highest optical performance were HP4 and HP1, showing α values equal to (HP1) or even better (HP4) than reported values for SiC. All samples could be good candidates for solar absorbers, but the sample with graphene addition appears to be the most promising sample for high-temperature solar thermal receivers. The optical parameters were comparable to SiC.
Author Contributions
Funding
Informed Consent Statement
Acknowledgments
Conflicts of Interest
References
- Zegadi, A.; Kolli, M.; Hamidouche, M.; Fantozzi, G. Transparent MgAl2O4 spinel fabricated by spark plasma sintering from commercial powders. Ceram. Int. 2018, 44, 18828–18835. [Google Scholar] [CrossRef]
- Ianoş, R.; Lazǎu, I.; Pǎcurariu, C.; Barvinschi, P. Solution combustion synthesis of MgAl2O4 using fuel mixtures. Mater. Res. Bull. 2008, 43, 3408–3415. [Google Scholar] [CrossRef]
- Esposito, L.; Piancastelli, A.; Martelli, S. Production and characterization of transparent MgAl2O4 prepared by hot pressing. J. Eur. Ceram. Soc. 2013, 33, 737–747. [Google Scholar] [CrossRef]
- Obradović, N.; Filipović, S.; Đorđević, N.; Kosanović, D.; Marković, S.; Pavlović, V.; Olćan, D.; Đorđević, A.; Kachlik, M.; Maca, K. Effects of mechanical activation and two-step sintering on the structure and electrical properties of cordierite-based ceramics. Ceram. Int. 2016, 42, 13909–13918. [Google Scholar] [CrossRef]
- Ting, J.; Lu, H.Y. Hot-pressing of magnesium aluminate spinel—II. Microstructure development. Acta Mater. 1999, 47, 831–840. [Google Scholar] [CrossRef]
- Ting, J.; Lu, H.Y. Hot-pressing of magnesium aluminate spinel—I. Kinetics and densification mechanism. Acta Mater. 1999, 47, 817–830. [Google Scholar] [CrossRef]
- Merac, M.R.; Reimanis, I.E.; Smith, C.; Kleebe, H.-J.; Müller, M.M. Effect of impurities and LiF additive in hot-pressed transparent magnesium aluminate spinel. Int. J. Appl. Ceram. Technol. 2013, 10, 33–48. [Google Scholar] [CrossRef]
- Kim, J.M.; Kim, H.N.; Park, Y.J.; Ko, J.-W.; Lee, J.-W.; Kim, H.-D. Fabrication of transparent MgAl2O4 spinel through homogenous green compaction by micro fluidization and slip casting. Ceram. Int. 2015, 41, 13354–13360. [Google Scholar] [CrossRef]
- Morita, K.; Kim, B.N.; Yoshida, H.; Hiraga, K.; Sakka, Y. Influence of spark plasma sintering (SPS) conditions on transmission of MgAl2O4 Spinel. J. Am. Ceram. Soc. 2015, 98, 378–385. [Google Scholar] [CrossRef]
- Morita, K.; Kim, B.-N.; Yoshida, H.; Hiraga, K.; Sakka, Y. Assessment of carbon contamination in MgAl2O4 spinel during spark-plasma-sintering (SPS) processing. J. Ceram. Soc. Jpn. 2015, 123, 983–988. [Google Scholar] [CrossRef] [Green Version]
- Sokol, M.; Kalabukhov, S.; Dariel, M.; Frage, N. High-pressure spark plasma sintering (SPS) of transparent polycrystalline magnesium aluminate spinel (PMAS). J. Eur. Ceram. Soc. 2014, 34, 4305–4310. [Google Scholar] [CrossRef]
- Macaigne, R.; Marinel, S.; Goeuriot, D.; Saunier, S. Sintering paths and mechanisms of pure MgAl2O4 conventionally and microwave sintered. Ceram. Int. 2018, 44, 21107–21113. [Google Scholar] [CrossRef]
- Obradović, N.; Fahrenholtz, W.; Filipović, S.; Kosanović, D.; Dapčević, A.; Đorđević, A.; Balać, I.; Pavlović, V. The effect of mechanical activation on synthesis and properties of MgAl2O4 ceramics. Ceram. Int. 2019, 45, 12015–12021. [Google Scholar] [CrossRef] [Green Version]
- Reimanis, I.; Kleebe, H.J. A review on the sintering and microstructure development of transparent spinel (MgAl2O4). J. Am. Ceram. Soc. 2009, 92, 1472–1480. [Google Scholar] [CrossRef]
- Sokol, M.; Halabi, M.; Kalabukhov, S.; Frage, N. Nano-structured MgAl2O4 spinel consolidated by high pressure spark plasma sintering (HPSPS). J. Eur. Ceram. Soc. 2017, 37, 755–762. [Google Scholar] [CrossRef]
- Ye, G.; Troczynski, T. Mechanical activation of heterogeneous sol-gel precursors for synthesis of MgAl2O4 spinel. J. Am. Ceram. Soc. 2005, 88, 2970–2974. [Google Scholar] [CrossRef]
- Dwibedi, D.; Avdeev, M.; Barpanda, P. Role of Fuel on Cation Disorder in Magnesium Aluminate (MgAl2O4) Spinel Prepared by Combustion Synthesis. J. Am. Ceram. Soc. 2015, 98, 2908–2913. [Google Scholar] [CrossRef]
- Bratton, R.J. Co-precipitates yielding MgAl2O4 spinel powders. Am. Ceram. Soc. Bull. 1969, 48, 759–776. [Google Scholar]
- Li, J.G.; Ikegami, T.; Lee, J.H.; Mori, T.; Yajima, Y. A wet-chemical process yielding reactive magnesium aluminate spinel (MgAl2O4) powder. Ceram Int. 2001, 27, 481–489. [Google Scholar] [CrossRef]
- Filipović, S.; Pavlović, V.P.; Obradović, N.; Paunović, V.; Maca, K.; Pavlović, V.B. The impedance analysis of sintered MgTiO3 ceramics. J. of All. Comp. 2017, 701, 107–115. [Google Scholar] [CrossRef] [Green Version]
- Wang, S.; Zhang, J.; Luo, D.; Gu, F.; Tang, D.; Dong, Z.; Tan, G.; Que, W.; Zhang, T.; Li, S.; et al. Transparent ceramics: Processing, materials and applications. Prog. Sol. St. Chem. 2013, 41, 20–54. [Google Scholar] [CrossRef]
- Wang, F.; Zhao, Y.; Yang, C.; Fan, N.; Zhu, J. Effect of MoO3 on microstructure and mechanical properties of (Ti,Mo)Al/Al2O3 composites by in situ reactive hot pressing. Ceram. Inter. 2016, 42, 1–8. [Google Scholar] [CrossRef]
- O’Quinn, E.C.; Shamblin, J.; Perlov, B.; Ewing, R.C.; Neuefeind, J.; Feygenson, M.; Gussev, I.; Lang, M. Inversion in Mg1-xNixAl2O4 Spinel: New Insight into Local Structure. J. Am. Chem. Soc. 2017, 139, 10395–10402. [Google Scholar] [CrossRef] [PubMed]
- Torruella, P.; Ruiz-Caridad, A.; Walls, M.; Roca, A.G.; López-Ortega, A.; Blanco-Portals, J.; López-Conesa, L.; Nogués, J.; Peiró, F.; Estradé, S. Atomic-Scale Determination of Cation Inversion in Spinel-Based Oxide Nanoparticles. Nano Lett. 2018, 18, 5854–5861. [Google Scholar] [CrossRef] [PubMed] [Green Version]
- Sickafus, K.E.; Wills, J.M.; Grimes, N.W. Structure of spinel. J. Am. Ceram. Soc. 1999, 82, 3279–3292. [Google Scholar] [CrossRef]
- Abdi, M.S.; Ebadzadeh, T.; Ghaffari, A.; Feli, M. Synthesis of nano-sized spinel (MgAl2O4) from short mechanochemically activated chloride precursors and its sintering behavior. Adv. Powd. Technol. 2015, 26, 175–179. [Google Scholar] [CrossRef]
- Obradović, N.; Fahrenholtz, W.G.; Filipović, S.; Corlett, C.; Đorđević, P.; Rogan, J.; Vulić, P.J.; Buljak, V.; Pavlović, V. Characterization of MgAl2O4 Sintered Ceramics. Sci. Sinter. 2019, 51, 363–376. [Google Scholar] [CrossRef]
- Popova, N.A.; Lukin, E.S.; Pavlyukova, L.T.; Sevostyanov, M.A.; Leonov, A.V. Synthesis of alumomagnesian spinel by mechanical activation method. IOP Conf. Ser. Mater. Sci. Eng. 2019, 525. [Google Scholar] [CrossRef]
- Tavangarian, F.; Li, G. Mechanical activation assisted synthesis of nanostructure MgAl2O4 from gibbsite and lansfordite. Powd. Technol. 2014, 267, 333–338. [Google Scholar] [CrossRef]
- Peleš, A.; Đorđević, N.; Obradović, N.; Tadić, N.; Pavlović, V.B. Influence of prolonged sintering time on density and electrical properties of isothermally sintered cordierite-based ceramics. Sci. Sinter. 2013, 45, 157–164. [Google Scholar] [CrossRef] [Green Version]
- Filipović, S.; Obradović, N.; Pavlović, V.B.; Mitrić, M.; Đorđević, A.; Kachlik, M.; Maca, K. Effect of consolidation parameters on structural, microstructural and electrical properties of magnesium titanate ceramics. Ceram. Int. 2016, 42, 9887–9898. [Google Scholar] [CrossRef]
- Nečina, V.; Pabst, W. Grain growth of MgAl2O4 ceramics with LiF and NaF addition. Open Ceram. 2021, 5, 100078. [Google Scholar] [CrossRef]
- ASTM G173-03. Standard Tables for Reference Solar Spectral Irradiances: Direct Normal and Hemispherical on 37° Tilted Surface; ASTM Int.: West Conshohocken, PA, USA, 2012. [Google Scholar]
- Mercatelli, L.; Meucci, M.; Sani, E. Facility for assessing spectral normal emittance of solid materials at high temperature. Appl. Optics. 2015, 54, 8700–8705. [Google Scholar] [CrossRef] [PubMed]
- Sani, E.; Mercatelli, L.; Meucci, M.; Zoli, L.; Sciti, D. Lanthanum hexaboride for solar energy applications. Sci. Rep. 2017, 7, 718. [Google Scholar] [CrossRef] [PubMed]
- Azzali, N.; Meucci, M.; Di Rosa, D.; Mercatelli, L.; Silvestroni, L.; Sciti, D.; Sani, E. Spectral emittance of ceramics for high temperature solar receivers. Sol. Energy 2021, accepted and in press. [Google Scholar] [CrossRef]
- Sciti, D.; Silvestroni, L.; Mercatelli, L.; Sans, J.L.; Sani, E. Suitability of ultra-refractory diboride ceramics as absorbers for solar energy applications. Sol. Energy Mater. Sol. Cells 2013, 109, 8–16. [Google Scholar] [CrossRef]
- Sciti, D.; Silvestroni, L.; Sans, J.L.; Mercatelli, L.; Meucci, M.; Sani, E. Tantalum diboride-based ceramics for bulk solar absorbers. Sol. Energy Mater. Sol. Cells 2014, 130, 208–216. [Google Scholar] [CrossRef]
- Sani, E.; Sciti, D.; Capiani, C.; Silvestroni, L. Colored zirconia with high absorbance and solar selectivity. Scr. Mater. 2020, 186, 147–151. [Google Scholar] [CrossRef]







| Name | Composition | Process | Temperature | Pressure | Dwell Time at TMAX | Height | Weight | Bulk Density |
|---|---|---|---|---|---|---|---|---|
| °C | MPa | min | mm | g | g·cm−3 | |||
| HP1 | Al2O3 + MgO | Planetary | 1450 | 30 | 5 | 7.5 | 19.35 | 3.52 |
| HP2 | Al2O3 + MgO | Ball milled only | 10 | 8.04 | 18.84 | 3.46 | ||
| HP3 | Al2O3 + MgO + 0.1 wt.% Y2O3 | Planetary | 5 | 7.1 | 18.55 | 3.55 | ||
| HP4 | Al2O3 + MgO + 1 wt.% C | Planetary | 6 | 7.5 | 19.49 | 3.47 |
Publisher’s Note: MDPI stays neutral with regard to jurisdictional claims in published maps and institutional affiliations. |
© 2021 by the authors. Licensee MDPI, Basel, Switzerland. This article is an open access article distributed under the terms and conditions of the Creative Commons Attribution (CC BY) license (https://creativecommons.org/licenses/by/4.0/).
Share and Cite
Obradovic, N.; Fahrenholtz, W.G.; Corlett, C.; Filipovic, S.; Nikolic, M.; Marinkovic, B.A.; Failla, S.; Sciti, D.; Di Rosa, D.; Sani, E. Microstructural and Optical Properties of MgAl2O4 Spinel: Effects of Mechanical Activation, Y2O3 and Graphene Additions. Materials 2021, 14, 7674. https://doi.org/10.3390/ma14247674
Obradovic N, Fahrenholtz WG, Corlett C, Filipovic S, Nikolic M, Marinkovic BA, Failla S, Sciti D, Di Rosa D, Sani E. Microstructural and Optical Properties of MgAl2O4 Spinel: Effects of Mechanical Activation, Y2O3 and Graphene Additions. Materials. 2021; 14(24):7674. https://doi.org/10.3390/ma14247674
Chicago/Turabian StyleObradovic, Nina, William G. Fahrenholtz, Cole Corlett, Suzana Filipovic, Marko Nikolic, Bojan A. Marinkovic, Simone Failla, Diletta Sciti, Daniele Di Rosa, and Elisa Sani. 2021. "Microstructural and Optical Properties of MgAl2O4 Spinel: Effects of Mechanical Activation, Y2O3 and Graphene Additions" Materials 14, no. 24: 7674. https://doi.org/10.3390/ma14247674
APA StyleObradovic, N., Fahrenholtz, W. G., Corlett, C., Filipovic, S., Nikolic, M., Marinkovic, B. A., Failla, S., Sciti, D., Di Rosa, D., & Sani, E. (2021). Microstructural and Optical Properties of MgAl2O4 Spinel: Effects of Mechanical Activation, Y2O3 and Graphene Additions. Materials, 14(24), 7674. https://doi.org/10.3390/ma14247674

