The Characteristic of Fe as a β-Ti Stabilizer in Ti Alloys
Abstract
:1. Introduction
2. Computational Details
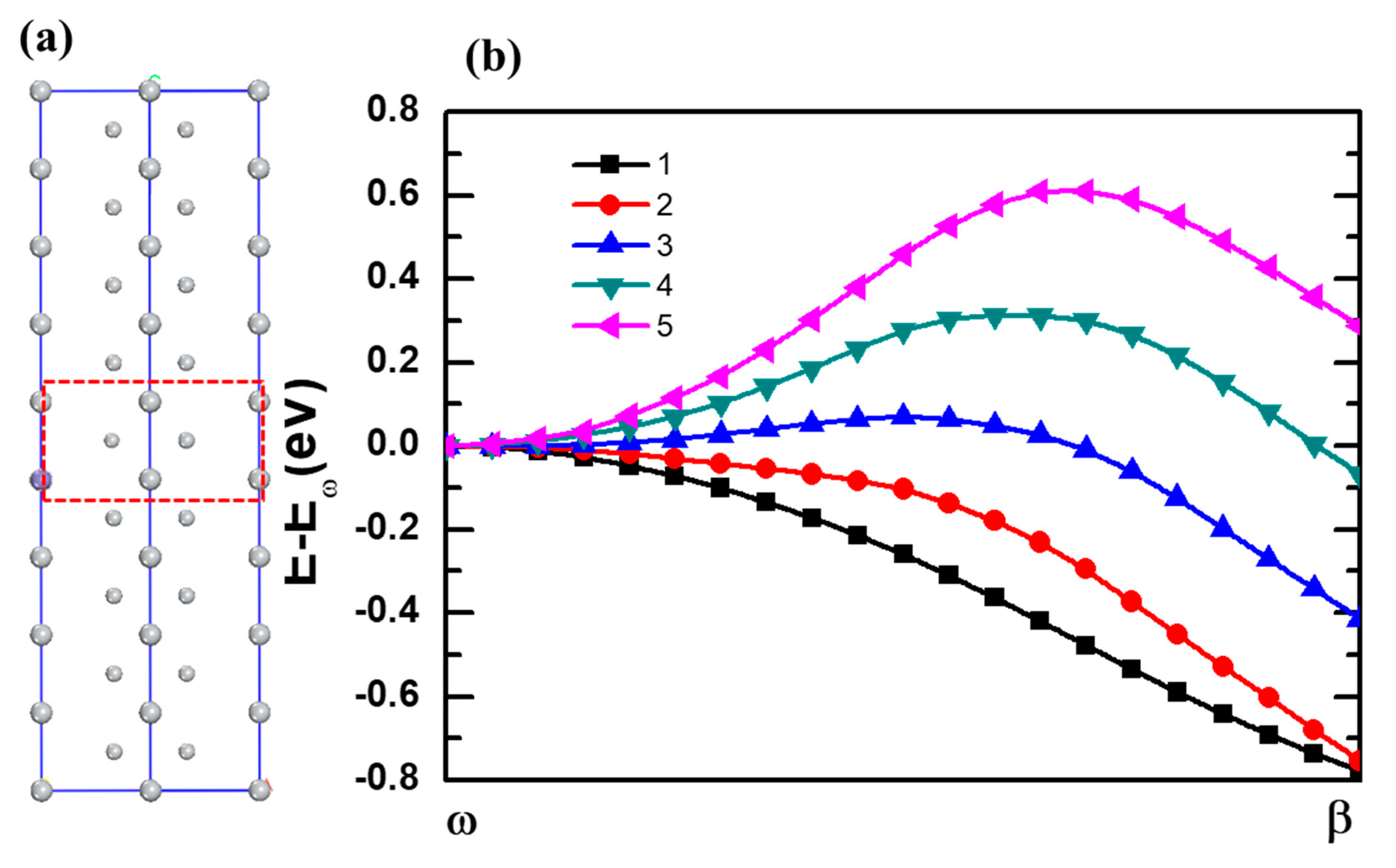
3. Results
4. Conclusions
Author Contributions
Funding
Data Availability Statement
Conflicts of Interest
References
- Zahiri, A.H.; Ombogo, J.; Ma, T.; Chakraborty, P.; Cao, L. Transformation-Induced Plasticity in Omega Titanium. J. Appl. Phys. 2021, 129, 015105. [Google Scholar] [CrossRef]
- Kumar, A.; Bronkhorst, C.A.; Lookman, T. First-Principles Study of the A-Ω Phase Transformation in Ti and Zr Coupled to Slip Modes. J. Appl. Phys. 2018, 123, 045903. [Google Scholar] [CrossRef]
- Szz, A.; Hao, C.A.; Mmla, B.; Hui, Y.; Lvef, G.; Rui, Y.B.; Qmh, B. First-Principles Study of Phase Stability and Elastic Properties of Binary Ti- X TM (TM = V, Cr, Nb, Mo) and Ternary Ti-15TM- Y Al Alloys. Mater. Des. 2016, 110, 80–89. [Google Scholar]
- Niu, J.; Guo, Y.; Li, K.; Liu, W.; Dan, Z.; Sun, Z.; Chang, H.; Zhou, L. Improved Mechanical, Bio-Corrosion Properties and in Vitro Cell Responses of Ti-Fe Alloys as Candidate Dental Implants. Mater. Sci. Eng. C 2021, 122, 111917. [Google Scholar] [CrossRef]
- Dai, G.; Niu, J.; Guo, Y.; Sun, Z.; Dan, Z.; Chang, H.; Zhou, L. Microstructure Evolution and Grain Refinement Behavior During Hot Deformation of Fe Micro-Alloyed Ti-6Al-4V. J. Mater. Res. Technol. 2021, 15, 1881–1895. [Google Scholar] [CrossRef]
- Dai, G.; Cui, Y.; Zhou, D.; Guo, Y.; Chang, H.; Zhou, L. Hot Deformation Behavior and Mechanistic Understanding of New TF400 Titanium Alloy. Metals 2019, 9, 1277. [Google Scholar] [CrossRef] [Green Version]
- Lee, C.M.; Ho, W.F.; Ju, C.P.; Lin, J. Structure and Properties of Titanium–25 Niobium–X Iron Alloys. J. Mater. Sci. Mater. Med. 2002, 13, 695–700. [Google Scholar] [CrossRef] [PubMed]
- Hsu, H.; Hsu, S.; Wu, S.; Lee, C.; Ho, W. Structure and Mechanical Properties of As-Cast Ti–5Nb–xFe Alloys. Mater. Charact. 2010, 61, 851–858. [Google Scholar] [CrossRef]
- Hsu, H.; Pan, C.; Wu, S.; Ho, W. Structure and Grindability of Cast Ti–5Cr–xFe Alloys. J. Alloys Compd. 2009, 474, 578–583. [Google Scholar] [CrossRef]
- Min, X.H.; Emura, S.; Zhang, L.; Tsuzaki, K. Effect of Fe and Zr Additions On Ω Phase Formation in Β-Type Ti–Mo Alloys. Mater. Sci. Eng. A 2008, 497, 74–78. [Google Scholar] [CrossRef]
- Min, X.H.; Emura, S.; Nishimura, T.; Tsuchiya, K.; Tsuzaki, K. Microstructure, Tensile Deformation Mode and Crevice Corrosion Resistance in Ti–10Mo–xFe Alloys. Mater. Sci. Eng. A 2010, 527, 5499–5506. [Google Scholar] [CrossRef]
- Ho, W.; Pan, C.; Wu, S.; Hsu, H. Mechanical Properties and Deformation Behavior of Ti–5Cr–xFe Alloys. J. Alloys Compd. 2009, 472, 546–550. [Google Scholar] [CrossRef]
- Lu, J.; Zhao, Y.; Niu, H.; Zhang, Y.; Du, Y.; Zhang, W.; Huo, W. Electrochemical Corrosion Behavior and Elasticity Properties of Ti–6Al–xFe Alloys for Biomedical Applications. Mater. Sci. Eng. C 2016, 62, 36–44. [Google Scholar] [CrossRef] [PubMed]
- Kresse, G.; Furthmüller, J. Efficient Iterative Schemes for Ab Initio Total-Energy Calculations Using a Plane-Wave Basis Set. Phys. Rev. B 1996, 54, 11169. [Google Scholar] [CrossRef] [PubMed]
- Perdew, J.P.; Burke, K.; Ernzerhof, M. Generalized Gradient Approximation Made Simple. Phys. Rev. Lett. 1996, 77, 3865. [Google Scholar] [CrossRef] [PubMed] [Green Version]
- Blöchl, P.E. Projector Augmented-Wave Method. Phys. Rev. B 1994, 50, 17953. [Google Scholar] [CrossRef] [PubMed] [Green Version]
- Blöchl, P.E.; Jepsen, O.; Andersen, O.K. Improved Tetrahedron Method for Brillouin-zone Integrations. Phys. Rev. B 1994, 49, 16223. [Google Scholar] [CrossRef] [PubMed]
- Ogi, H.; Kai, S.; Ledbetter, H.; Tarumi, R.; Hirao, M.; Takashima, K. Titanium’S High-Temperature Elastic Constants through the Hcp–Bcc Phase Transformation. Acta Mater. 2004, 52, 2075–2080. [Google Scholar] [CrossRef]
- Jona, F.; Marcus, P.M. First-Principles Study of the Pressure-Induced A → Ω Transition in Titanium. Phys. Status Solidi B 2005, 242, 3077–3084. [Google Scholar] [CrossRef]
- Mei, Z.; Shang, S.; Wang, Y.; Liu, Z. Density-Functional Study of the Pressure-Induced Phase Transitions in Ti at Zero Kelvin. Phys. Rev. B 2009, 79, 134102. [Google Scholar] [CrossRef]
- Verma, A.K.; Modak, P.; Rao, R.S.; Godwal, B.K.; Jeanloz, R. High-Pressure Phases of Titanium: First-Principles Calculations. Phys. Rev. B 2007, 75, 014109. [Google Scholar] [CrossRef]
- Hao, Y.; Zhang, L.; Chen, X.; Li, Y.; He, H. First-Principles Phase Transition and Equation of State of Titanium. Solid State Commun. 2008, 146, 105–109. [Google Scholar] [CrossRef]
- Kutepov, A.L.; Kutepova, S.G. Crystal Structures of Ti Under High Pressure: Theory. Phys. Rev. B 2003, 67, 132102. [Google Scholar] [CrossRef]
- Hu, C.; Zeng, Z.; Zhang, L.; Chen, X.; Cai, L.; Alfè, D. Theoretical Investigation of the High Pressure Structure, Lattice Dynamics, Phase Transition, and Thermal Equation of State of Titanium Metal. J. Appl. Phys. 2010, 107, 093509. [Google Scholar] [CrossRef] [Green Version]
- Sargent, G.A.; Conrad, H. Formation of the Omega Phase in Titanium by Hydrostatic Pressure Soaking. Mater. Sci. Eng. 1971, 7, 220–223. [Google Scholar] [CrossRef]









| Structure | Space Group | Unit Cell | ||||
|---|---|---|---|---|---|---|
| (Å) | ||||||
| a | b | c | Energy (eV/Atom) | |||
| α | P63/mmc | This work | 2.935 | 2.935 | 4.654 | −7.890 |
| Ref. [17] | 2.920 | 2.920 | 4.717 | |||
| Ref. [18] | 2.939 | 2.939 | 4.650 | |||
| β | Im3m | This work | 3.237 | 3.237 | 3.237 | −7.783 |
| Ref. [16] | 3.310 | 3.310 | 3.310 | |||
| Ref. [18] | 3.255 | 3.255 | 3.255 | |||
| ω | P6/mmm | This work | 4.594 | 4.594 | 2.813 | −7.896 |
| Ref. [17] | 4.588 | 4.588 | 2.837 | |||
| Ref. [18] | 4.575 | 4.575 | 2.828 | |||
Publisher’s Note: MDPI stays neutral with regard to jurisdictional claims in published maps and institutional affiliations. |
© 2021 by the authors. Licensee MDPI, Basel, Switzerland. This article is an open access article distributed under the terms and conditions of the Creative Commons Attribution (CC BY) license (https://creativecommons.org/licenses/by/4.0/).
Share and Cite
Min, J.; Guo, Y.; Niu, J.; Cao, J.; Sun, Z.; Chang, H. The Characteristic of Fe as a β-Ti Stabilizer in Ti Alloys. Materials 2021, 14, 7516. https://doi.org/10.3390/ma14247516
Min J, Guo Y, Niu J, Cao J, Sun Z, Chang H. The Characteristic of Fe as a β-Ti Stabilizer in Ti Alloys. Materials. 2021; 14(24):7516. https://doi.org/10.3390/ma14247516
Chicago/Turabian StyleMin, Jin, Yanhua Guo, Jingzhe Niu, Juexian Cao, Zhonggang Sun, and Hui Chang. 2021. "The Characteristic of Fe as a β-Ti Stabilizer in Ti Alloys" Materials 14, no. 24: 7516. https://doi.org/10.3390/ma14247516
APA StyleMin, J., Guo, Y., Niu, J., Cao, J., Sun, Z., & Chang, H. (2021). The Characteristic of Fe as a β-Ti Stabilizer in Ti Alloys. Materials, 14(24), 7516. https://doi.org/10.3390/ma14247516

