Improvement of Automatic Measurement Evaluation System for Subway Structures by Adjacent Excavation
Abstract
:1. Introduction
2. Numerical Analysis
2.1. Modeling
2.2. Analysis of Results
3. Field Measurements
3.1. Automated Field Measurement Method
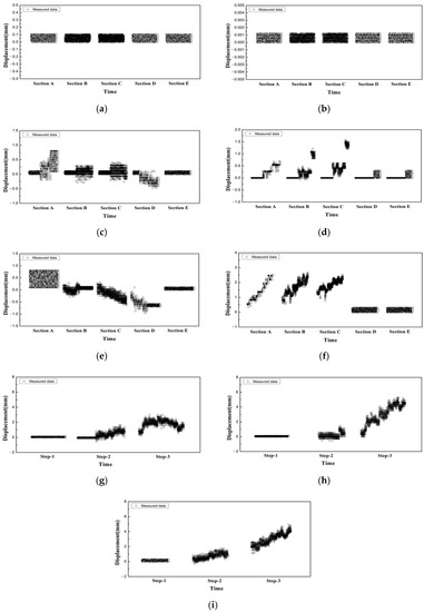
3.2. Field Measurement Results
3.3. Analysis of Tunnel Convergence Measurement Results
4. Comparative Analysis of Field Measurements and Numerically Analyzed Results
4.1. Tunnel Convergence Analysis Results
4.2. Track Deformation (Rail Bed Settlement) Analysis Results
5. Conclusions
Author Contributions
Funding
Institutional Review Board Statement
Informed Consent Statement
Data Availability Statement
Conflicts of Interest
References
- Park, T.S.; Lee, S.H. Analyses of existing tunnel liner behaviors caused by excavation of upper layer with using laser scanning technology. J. Korean Geotech. Soc. 2015, 31, 29–36. [Google Scholar]
- Bae, S.J.; Jung, W.; Chamrith, S.; Kim, C.J.; Kim, Y.M.; Hong, S.H.; Kim, J.G.; Kim, J.Y. Performance evaluation method of tunnel scanner for lining crack detection. J. Soc. Disaster Inf. 2021, 17, 39–52. [Google Scholar]
- Feng, G.L.; Feng, X.T.; Chen, B.R.; Xiao, Y.X. Performance and feasibility analysis of two microseismic location methods used in tunnel engineering. Tunn. Undergorund Space Technol. 2017, 63, 183–193. [Google Scholar] [CrossRef]
- Manuello, A.; Niccolini, G.; Carpinteri, A. AE monitoring of a concrete arch road tunnel: Damage evolution and localization. Eng. Fract. Mech. 2019, 210, 279–287. [Google Scholar] [CrossRef]
- Miliziano, S.; Caponi, S.; Carlaccini, D.; Lillis, A. Prediction of tunneling-induced effects on a historic building in Rome. Tunn. Undergr. Space Technol. Inc. Trenchless Technol. Res. 2021, 119, 104212. [Google Scholar] [CrossRef]
- Yang, H.; Xu, X.; Kargoll, B.; Neumann, I. An automatic and intelligent optimal surface modeling method for composite tunnel structures. Compos. Struct. 2019, 208, 702–710. [Google Scholar] [CrossRef]
- Zhou, J.; Xiao, H.; Jiang, W.; Bai, W.; Liu, G. Automatic subways tunnel displacement monitoring using robotic total station. Measurement 2020, 151, 107251. [Google Scholar] [CrossRef]
- Xue, Y.; Cai, X.; Shadabfar, M.; Shao, H.; Zhang, S. Deep learning-based automatic recognition of water leakage area in shield tunnel lining. Tunn. Undergr. Space Technol. 2020, 104, 103524. [Google Scholar] [CrossRef]
- Wang, G.; Chen, W.; Cao, L.; Li, Y.; Liu, S.; Yu, J.; Wang, B. Retaining technology for deep foundation pit excavation adjacent to high-speed railways based on deformation control. Front. Earth Sci. 2021, 9, 735315. [Google Scholar] [CrossRef]
- Qin, H.; Zhang, D.; Tang, Y.; Wang, Y. Automatic recognition of tunnel lining elements from GPR images using deep convolutional networks with data augmentation. Autom. Constr. 2021, 130, 103830. [Google Scholar] [CrossRef]
- MIDAS 2018, MIDAS GTS/NX V290; Developer: Sungnam-si, Korea, 2018.
- Choi, J.Y.; Lee, H.H.; Kang, Y.S.; Chung, J.S. Evaluation of track irregularity due to adjacent excavation work on serviced urban transit. J. Converg. Cult. Technol. 2020, 6, 481–487. [Google Scholar]
- Choi, J.Y.; Lee, H.H.; Kang, Y.S.; Chung, J.S. Evaluation of structural stability of tunnel due to adjacent excavation on urban transit. J. Converg. Cult. Technol. 2020, 6, 503–508. [Google Scholar]
- Lee, H.H. A Study on Improvement of Automatic Measurement Evaluation System for Subway Structure by Adjacent Excavation. Ph.D. Thesis, Dongyang University, Yeongju-si, Korea, December 2020. [Google Scholar]















| Category | Landfill | Sedimentary Sand | Sedimentary Gravel | Weathered Soil | Weathered Rock | Soft Rock |
|---|---|---|---|---|---|---|
| Material properties | Isoparametric three-dimensional (3D) | Isoparametric 3D | Isoparametric 3D | Isoparametric 3D | Isoparametric 3D | Isoparametric 3D |
| Model | Mohr–Coulomb | |||||
| Unit weight (kN/m3) | 18.6 | 17.9 | 19.1 | 19.2 | 21.1 | 24.1 |
| Cohesion (kPa) | 0 | 0 | 0 | 28 | 30 | 50 |
| Friction angle (°) | 0 | 27 | 32 | 30 | 32 | 37 |
| Modulus of deformation (kN/m2) | 10,000 | 10,000 | 70,000 | 150,000 | 250,000 | 1,000,000 |
| Poisson’s ratio | 0.4 | 0.38 | 0.35 | 0.32 | 0.3 | 0.25 |
| Category | Slurry Wall | Concrete | Slab | Anchor, R/B | Cast in Place (C.I.P), Side Pile | Buttress | Lining |
|---|---|---|---|---|---|---|---|
| Material properties | Isoparametric 3D | Isoparametric two-dimensional (2D) | Isoparametric 2D | Isoparametric one-dimensional (1D) | Isoparametric 2D | Isoparametric 2D | Isoparametric 2D |
| Model | Elastic | Elastic | Elastic | Elastic | Elastic | Elastic | Elastic |
| Unit weight (kN/m3) | 24 | 23.54 | 23.54 | 76.98 | 24.52 | 23.54 | 24 |
| Modulus of deformation ((kN/m2) | 2.78 × 107 | 2.38 × 107 | 2.38 × 107 | 2.05 × 108 | 1.79 × 107 | 2.38 × 107 | 2.58 × 107 |
| Poisson’s ratio | 0.167 | 0.167 | 0.167 | 0.3 | 0.167 | 0.167 | 0.3 |
| Stages | Construction Stage | Load |
|---|---|---|
| Removal stage 1 | Removal of the 1st floor of the existing structure + Installation of row 1 and row 2 anchors | Decrease in surcharge load |
| Removal of the (underground) 1st floor of the existing structure + Row 3 anchor installation | ||
| Removal stage 2 | Removal of the (underground) 2nd floor of the existing structure + Row 4 anchor installation | |
| Removal stage 3 | Removal of the (underground) 3rd floor of the existing structure |
| Category | Tunnel Convergence Meter (Tape Extensometer) | Rail Bed Settlement Monitoring Sensor | ||
|---|---|---|---|---|
| Angle | Length | Angle | Length | |
| Measurement range | ±60 | 0–50 mm | ±15° | 0–50 mm |
| Applied voltage/total resistance | 5–15 V direct current | 10 kΩ | 5–15 V DC | 5 kΩ ± 20% |
| Linearity | 0.05° | ±1% | ±0.1° | ±1% |
| Sensitivity | 0.001° | 0.01% maximum | 0.001° | 0.001 mm |
| Operating temperature of sensors | −20–+80 ℃ | −20–+80 ℃ | −30–+65 ℃ | −20–+80 ℃ |
Publisher’s Note: MDPI stays neutral with regard to jurisdictional claims in published maps and institutional affiliations. |
© 2021 by the authors. Licensee MDPI, Basel, Switzerland. This article is an open access article distributed under the terms and conditions of the Creative Commons Attribution (CC BY) license (https://creativecommons.org/licenses/by/4.0/).
Share and Cite
Choi, J.-Y.; Kim, S.-H.; Lee, H.-H.; Chung, J.-S. Improvement of Automatic Measurement Evaluation System for Subway Structures by Adjacent Excavation. Materials 2021, 14, 7492. https://doi.org/10.3390/ma14247492
Choi J-Y, Kim S-H, Lee H-H, Chung J-S. Improvement of Automatic Measurement Evaluation System for Subway Structures by Adjacent Excavation. Materials. 2021; 14(24):7492. https://doi.org/10.3390/ma14247492
Chicago/Turabian StyleChoi, Jung-Youl, Sun-Hee Kim, Ho-Hyun Lee, and Jee-Seung Chung. 2021. "Improvement of Automatic Measurement Evaluation System for Subway Structures by Adjacent Excavation" Materials 14, no. 24: 7492. https://doi.org/10.3390/ma14247492
APA StyleChoi, J.-Y., Kim, S.-H., Lee, H.-H., & Chung, J.-S. (2021). Improvement of Automatic Measurement Evaluation System for Subway Structures by Adjacent Excavation. Materials, 14(24), 7492. https://doi.org/10.3390/ma14247492
