Localized Corrosion Resistance on Additively Manufactured Ti Alloys by Means of Electrochemical Critical Localized Corrosion Potential in Biomedical Solution Environments
Abstract
1. Introduction
2. Materials and Experimental Methods
2.1. Sample and Solution Preparation
2.2. Microstructural Characterization
2.3. Measurements of Electrochemical Critical Localized Corrosion Potential (E-CLCP) (ISO/CD 4631:2021)
- (1)
- The test sample was formed into a rectangular sheet without a crevice former.
- (2)
- Potentiodynamic anodic polarization was carried out from an open-circuit potential until an anodic current density rose to 500 μA/cm² by 1 mV/s potential-sweep velocity using a potentiostat.
- (3)
- When the anodic current density reached 500 μA/cm², it was immediately held constant for 2 h.
- (4)
- After holding the constant current density of 500 μA/cm² during 2 h, a constant polarization was immediately held in the reverse (cathodic) direction at an electrode potential of 10 mV, which was lower than the initial potential. As soon as the increase in current density was observed in the anodic direction, the constant potential was further decreased by another 10 mV. This operation was repeated until no further increase in the current density was found in the anodic direction after holding a constant potential for 2 h.
- (5)
- The E-CLCP of AM Ti alloy specimens was determined at the highest potential value where no further increases in the current density were found in the anodic direction after holding a constant potential for 2 h.
2.4. Measurements of Electrochemical Critical Localized Corrosion Temperature (ISO 22910:2020)
- (1)
- The test sample was shaped into a rectangular sheet without a crevice former.
- (2)
- The open-circuit potential of the test specimen was recorded during 1 h, and the desired anodic potential was applied to the specimen. The recommended applied potential for the Ti alloys (i.e., Ti–6Al–4V) in the concentrated 25 wt% NaCl aqueous solution was 2.8 V.
- (3)
- If uncertainty existed concerning whether 2.8 V was sufficiently high to obtain the potential-independent E-CLCT, a test at 2.9 V was performed. If there was a significant deviation between the E-CLCT obtained at 2.8 and 2.9 V, there was a need for re-evaluation.
- (4)
- Following the application of the potential for 60 s or longer, the temperature increased at a controlled rate.
- (5)
- The current and solution temperatures were monitored throughout the test.
- (6)
- E-CLCT was defined as the temperature at which a sharp increase in current density occurred during the temperature ramp at 1 °C/min.
2.5. Measurements of Electrochemical Impedance Spectroscopy and Mott–Schottky Plots Using Microdroplet Cells
2.6. Measurements of Repassivation Kinetics Using Abrading Electrode Tests
3. Results and Discussion
3.1. Studies of Microstructures
3.2. Determination of Electrochemical Critical Localized Corrosion Potential (E-CLCP) of Additive Manufactured Titanium Alloys
3.3. The Validity of Electrochemical Critical Localized Corrosion Potential in Comparison with Electrochemical Critical Localized Corrosion Temperature
3.4. The Electrochemical Critical Localized Corrosion Potential and Electrochemical Critical Localized Corrosion Temperature of Additive Manufactured Ti–6Al–4V According to Various Heat Treatments in Terms of Localized Corrosion Resistance
3.5. Studies on the Difference between Electrochemical Critical Localized Corrosion Potential and Electrochemical Critical Localized Corrosion Temperature in Localized Corrosion Resistance via Electrochemical Tests
4. Conclusions
Author Contributions
Funding
Institutional Review Board Statement
Informed Consent Statement
Data Availability Statement
Acknowledgments
Conflicts of Interest
References
- Froes, F.H.; Dutta, B. The additive manufacturing (AM) of titanium alloys. Adv. Mater. Res. 2014, 1019, 19–25. [Google Scholar] [CrossRef]
- Long, M.; Rack, H.J. Titanium alloys in total joint replacement—A materials science perspective. Biomaterials 1998, 19, 1621–1639. [Google Scholar] [CrossRef]
- Bai, Y.; Gai, X.; Li, S.; Zhang, L.C.; Liu, Y.; Hao, Y.; Zhang, X.; Yang, R.; Gao, Y. Improved corrosion behaviour of electron beam melted Ti-6Al–4V alloy in phosphate buffered saline. Corros. Sci. 2017, 123, 289–296. [Google Scholar] [CrossRef]
- Qin, P.; Chen, Y.; Liu, Y.J.; Zhang, J.; Chen, L.Y.; Li, Y.; Zhang, X.; Cao, C.; Sun, H.; Zhang, L.C. Resemblance in corrosion behavior of selective laser melted and traditional monolithic β Ti-24Nb-4Zr-8Sn alloy. ACS Biomater. Sci. Eng. 2019, 5, 1141–1149. [Google Scholar] [CrossRef] [PubMed]
- Lu, P.; Wu, M.; Liu, X.; Duan, W.; Han, J. Study on corrosion resistance and bio-tribological behavior of porous structure based on the SLM manufactured medical Ti6Al4V. Met. Mater. Inter. 2020, 26, 1182–1191. [Google Scholar] [CrossRef]
- Chávez, J.; Alemán, O.J.; Martínez, M.F.; Vergara-Hernández, H.J.; Olmos, L.; Garnica-González, P.; Bouvard, D. Characterization of Ti6Al4V–Ti6Al4V/30Ta bilayer components processed by powder metallurgy for biomedical applications. Met. Mater. Int. 2020, 26, 205–220. [Google Scholar] [CrossRef]
- Zhang, W.D.; Ren, J.; Liu, B.; Liu, Y.; Wu, Z.; Qiu, J. Microstructure and mechanical properties of cold drawn Ti–Nb–Ta–Zr–O wires for orthodontic applications. Met. Mater. Int. 2020, 26, 973–978. [Google Scholar] [CrossRef]
- Zhang, L.C.; Chen, L.Y. A review on biomedical titanium alloys: Recent progress and prospect. Adv. Eng. Mater. 2019, 21, 1801215. [Google Scholar] [CrossRef]
- Horn, T.J.; Harrysson, O.L. Overview of current additive manufacturing technologies and selected applications. Sci. Prog. 2012, 95, 255–282. [Google Scholar] [CrossRef] [PubMed]
- Wauthle, R.; Vrancken, B.; Beynaerts, B.; Jorissen, K.; Schrooten, J.; Kruth, J.P.; Humbeeck, J.V. Effects of build orientation and heat treatment on the microstructure and mechanical properties of selective laser melted Ti6Al4V lattice structures. Add. Manuf. 2015, 5, 77–84. [Google Scholar] [CrossRef]
- Yadroitsev, I.; Krakhmalev, P.; Yadroitsava, I. Selective laser melting of Ti6Al4V alloy for biomedical applications: Temperature monitoring and microstructural evolution. J. Alloy. Compd. 2014, 583, 404–409. [Google Scholar] [CrossRef]
- Vrancken, B.; Thijs, L.; Kruth, J.P.; Humbeeck, J.V. Heat treatment of Ti6Al4V produced by selective laser melting: Microstructure and mechanical properties. J. Alloy. Compd. 2012, 541, 177–185. [Google Scholar] [CrossRef]
- Casadebaigt, A.; Hugues, J.; Monceau, D. Influence of microstructure and surface roughness on oxidation kinetics at 500–600 °C of Ti–6Al–4V alloy fabricated by additive manufacturing. Oxid. Met. 2018, 90, 633–648. [Google Scholar] [CrossRef]
- Dai, N.; Zhang, L.C.; Zhang, J.; Chen, Q.; Wu, M. Corrosion behavior of selective laser melted Ti-6Al-4 V alloy in NaCl solution. Corros. Sci. 2016, 102, 484–489. [Google Scholar] [CrossRef]
- Dai, N.; Zhang, L.C.; Zhang, J.; Zhang, X.; Ni, Q.; Chen, Y.; Wu, M.; Yang, C. Distinction in corrosion resistance of selective laser melted Ti-6Al-4V alloy on different planes. Corros. Sci. 2016, 111, 703–710. [Google Scholar] [CrossRef]
- Venugopalan, R.; Gaydon, J. A review of corrosion behaviour of surgical implant alloys. Perkin Elmer Instrum. Princet. 2001, 99–107. [Google Scholar]
- Gurappa, I. Characterization of different materials for corrosion resistance under simulated body fluid conditions. Mater. Character. 2002, 49, 73–79. [Google Scholar] [CrossRef]
- Hanawa, T. Electrochemical techniques to obtain biofunctional materials. In Applications of Electrochemistry in Biology and Medicine I; (Modern Aspects of Electrochemistry, No. 52); Eliaz, N., Ed.; Springer Science Business Media: New York, NY, USA, 2011; pp. 343–376. [Google Scholar]
- Sharma, A.; Oh, M.C.; Kim, J.T.; Srivastava, A.K.; Ahn, B. Investigation of electrochemical corrosion behavior of additive manufactured Ti–6Al–4V alloy for medical implants in different electrolytes. J. Alloy. Compd. 2020, 83, 154620. [Google Scholar] [CrossRef]
- Morris, D.; Mamidi, S.K.; Kamat, S.; Cheng, K.Y.; Bijukumar, D.; Tsai, P.I.; Wu, M.H.; Alejandro, A.; Orías, E.; Mathew, M.T. Mechanical, electrochemical and biological behavior of 3D printed-porous titanium for biomedical applications. J. Bio-Tribo-Corros. 2021, 7, 39. [Google Scholar] [CrossRef]
- Seo, D.I.; Lee, J.B. Corrosion characteristics of additive-manufactured Ti-6Al-4V using microdroplet cell and critical pitting temperature techniques. J. Electrochem. Soc. 2019, 166, C428–C433. [Google Scholar] [CrossRef]
- Seo, D.I.; Lee, J.B. Effects of competitive anion adsorption (Br− or Cl−) and semiconducting properties of the passive films on the corrosion behavior of the additively manufactured Ti–6Al–4V alloys. Corros. Sci. 2020, 173, 108789. [Google Scholar] [CrossRef]
- Seo, D.I.; Lee, J.B. Ti-6Al-4V alloy fabricated by additive manufacturing method using microdroplet cell and critical pitting temperature techniques and evaluation of its resistance to corrosion. Corros. Sci. Techol. 2018, 17, 129–137. [Google Scholar]
- Seo, D.I.; Lee, J.B. Comparing resistances to pitting corrosion of additive manufactured Ti-6Al-4V alloys in NaCl and NaBr aqueous solutions. Corros. Sci. Techol. 2019, 18, 110–116. [Google Scholar]
- Lee, J.B.; Seo, D.I.; Chang, H.Y. Evaluating corrosion resistance of additive-manufactured Ti–6Al–4V using electrochemical critical localized corrosion temperature. Met. Mater. Int. 2020, 26, 39–45. [Google Scholar] [CrossRef]
- Oh, Y.S.; Seo, D.I.; Lee, J.B. Effect of delayed oxygen evolution in anodic polarization on the passive film characteristic and localized corrosion resistance of titanium alloys. Corros. Sci. Techol. 2020, 19, 156–162. [Google Scholar]
- ASTM G150. Standard Test Method for Electrochemical Critical Pitting Temperature Testing of Stainless Steels; 2018. [Google Scholar]
- ISO 17864. Corrosion of Metals and Alloys–Determination of the Critical Pitting Temperature under Potentiostatic Control; 2005. [Google Scholar]
- ISO 22910. Corrosion of Metals and Alloys–Measurement of the Electrochemical Critical Localized Corrosion Temperature (E-CLCT) for Ti Alloys Fabricated via the Additive Manufacturing Method; 2020. [Google Scholar]
- ISO/CD 4631. Corrosion of Metals and Alloys—Measurement of the Electrochemical Critical Localized Corrosion Potential (E-CLCP) for Biomedical Ti Alloys Fabricated via Additive Manufacturing Method; 2021. [Google Scholar]
- ISO 18089. Corrosion of Metals and Alloys–Determination of the Critical Crevice Temperature (CCT) for Stainless Steels under Potentiostatic Control; 2015. [Google Scholar]
- Manivasagam, G.; Dhinasekaran, D.; Rajamanickam, A. Biomedical implants: Corrosion and its prevention-a review. Recent Pat. Corros. Sci. 2010, 2, 40–54. [Google Scholar] [CrossRef]
- ISO 10271. Dentistry–Corrosion Test Methods for Metallic Materials; 2020. [Google Scholar]
- ISO 16429. Implants for Surgery—Measurements of Open-Circuit Potential to Assess Corrosion Behaviour of Metallic Implantable Materials and Medical Devices over Extended Time Periods; 2004. [Google Scholar]
- Tsujikawa, S.; Tamaki, K.; Hisamatsu, Y. Development of a new test method for chloride stress corrosion cracking of stainless steels and its application to that of type 316 in dilute NaCl solutions. Tetsu-To-Hagane 1980, 66, 2067–2076. [Google Scholar] [CrossRef]
- ASTM G192. Standard Test Method for Determining the Crevice Repassivation Potential of Corrosion-Resistant Alloys Using a Potentiodynamic-Galvanostatic-Potentiostatic Technique; 2014. [Google Scholar]
- ISO 17475. Corrosion of Metals and Alloys–Electrochemical Test Methods–Guidelines for Conducting Potentiostatic and Potentiodynamic Polarization Measurements; 2005. [Google Scholar]
- Mutlu, I.; Oktay, E. Localised corrosion behaviour of biomedical implant materials using electrochemical potentiokinetic reactivation and critical pitting potential methods. Corros. Eng. Sci. Techol. 2015, 50, 72–79. [Google Scholar] [CrossRef]
- Evans, K.J.; Yilmaz, A.; Day, S.D.; Wong, L.L.; Estill, J.C.; Rebak, R.B. Using electrochemical methods to determine alloy 22’s crevice corrosion repassivation potential. J. Miner. Met. Mater. Soc. 2005, 57, 56–61. [Google Scholar] [CrossRef]
- Evans, K.J.; Rebak, R.B. Repassivation potential of alloy 22 in chloride plus nitrate solutions using the potentiodynamic-galvanostatic-potentiostatic method. MRS Online Proc. Libr. 2006, 985, 313. [Google Scholar] [CrossRef]
- Seo, D.I.; Lee, J.B. Influence of heat treatment parameters on the corrosion resistance of additively manufactured Ti–6Al–4V Alloy. J. Electrochem. Soc. 2020, 167, 101509. [Google Scholar] [CrossRef]
- Gonzalez, J.E.G.; Mirza-Rosca, J.C. Study of the corrosion behavior of titanium and some of its alloys for biomedical and dental implant applications. J. Electroanal. Chem. 1999, 471, 109–115. [Google Scholar] [CrossRef]
- Lee, J.B. Effects of alloying elements, Cr, Mo and N on repassivation characteristics of stainless steels using the abrading electrode technique. Mater. Chem. Phys. 2006, 99, 224–234. [Google Scholar] [CrossRef]
- Leyens, C.; Peters, M. Titanium and Titanium Slloys: Fundamentals and Applications; Wiley-VCH: Weinheim, Germany, 2003; pp. 14–15. [Google Scholar]
- Mur, F.G.; Rodriguez, D.; Planell, J.A. Influence of tempering temperature and time on the α′-Ti-6Al-4V martensite. J. Alloy. Compd. 1996, 234, 287–289. [Google Scholar]
- Dai, N.; Zhang, J.; Chen, Y.; Zhang, L.C. Heat treatment degrading the corrosion resistance of selective laser melted Ti-6Al-4V alloy. J. Electrochem. Soc. 2017, 164, C428–C434. [Google Scholar] [CrossRef]
- Yang, J.; Yang, H.; Yu, H.; Wang, Z.; Zeng, X. Corrosion behavior of additive manufactured Ti-6Al-4V alloy in NaCl solution. Metall. Mater. Trans. A 2017, 48, 3583–3593. [Google Scholar] [CrossRef]
- Cvijović-Alagić, I.; Cvijović, Z.; Bajat, J.; Rakin, M. Electrochemical behaviour of Ti-6Al-4V alloy with different microstructures in a simulated bio-environment. Mater. Corros. 2016, 67, 1075–1087. [Google Scholar] [CrossRef]
- Lee, D.G.; Lee, S. Effects of nano-sized α2 (Ti3Al) particles on quasi-static and dynamic deformation behavior of Ti-6Al-4V alloy with bimodal microstructure. J. Mater. Sci. 2005, 40, 4077–4084. [Google Scholar] [CrossRef]
- Lee, D.G.; Lee, S.; Lee, Y. Effect of precipitates on damping capacity and mechanical properties of Ti-6Al-4V alloy. Mat. Sci. Eng. A 2008, 486, 19–26. [Google Scholar] [CrossRef]
- Saffarian, H.M.; Gan, Q.; Hadkar, R.; Warren, G.W. Corrosion behavior of binary titanium aluminide intermetallics. Corrosion 1996, 52, 626–633. [Google Scholar] [CrossRef]
- Yu, C.Y.; Yang, L.X.; Shen, C.C.; Luan, B.; Perng, T.P. Corrosion behavior of thermohydrogen processed Ti6Al4V. Scr. Mater. 2007, 56, 1019–1022. [Google Scholar] [CrossRef][Green Version]
- Matthew, J.D., Jr. Heat treating titanium and its alloys. Heat Treat. Prog. 2001, 47, 47–57. [Google Scholar]
- Zhou, J.; Bahadur, S. Erosion-corrosion of Ti-6Al-4V in elevated temperature air environment. Wear 1995, 186, 332–339. [Google Scholar] [CrossRef]
- Wu, H.; Fan, G.; Geng, L.; Cui, X.; Huang, M. Nanoscale origins of the oriented precipitation of Ti3Al in TiAl systems. Scr. Mater. 2016, 125, 34–38. [Google Scholar] [CrossRef]
- Buhl, H. Repassivation behaviour of the titanium alloy TiA16V4 in aqueous sodium halide. Corros. Sci. 1973, 13, 639–646. [Google Scholar] [CrossRef]
- Ren, S.; Du, C.; Liu, Z.; Li, X.; Xiong, J.; Li, S. Effect of fluoride ions on corrosion behavior of commercial pure titanium in artificial seawater environment. Appl. Surf. Sci. 2020, 506, 144759. [Google Scholar] [CrossRef]
- Brug, G.J.; van den Eeden, A.L.; Sluyters-Rehbach, M.; Sluyters, J.H. The analysis of electrode impedances complicated by the presence of a constant phase element. J. Electroanal. Chem. 1984, 176, 275–295. [Google Scholar] [CrossRef]
- Marsh, J.; Gorse, D. A photoelectrochemical and ac impedance study of anodic titanium oxide films. Electrochim. Acta 1998, 43, 659–670. [Google Scholar] [CrossRef]
- Ibriş, N. Dependence of semiconductive properties of titanium oxide film on the growth rate and formation potential. Russ. J. Electrochem. 2003, 39, 430–432. [Google Scholar] [CrossRef]
- Lee, J.B.; Kim, S.W. Semiconducting properties of passive films formed on Fe–Cr alloys using capacitance measurements and cyclic voltammetry techniques. Mater. Chem. Phys. 2007, 104, 98–104. [Google Scholar] [CrossRef]
- Gai, X.; Bai, Y.; Li, J.; Li, S.; Hou, W.; Hao, Y.; Zhang, X.; Yang, R.; Misra, R.D.K. Electrochemical behaviour of passive film formed on the surface of Ti-6Al-4V alloys fabricated by electron beam melting. Corros. Sci. 2018, 145, 80–89. [Google Scholar] [CrossRef]
- Schmidt, A.M.; Azambuja, D.S.; Martini, E.M. Semiconductive properties of titanium anodic oxide films in McIlvaine buffer solution. Corros. Sci. 2006, 48, 2901–2912. [Google Scholar] [CrossRef]
- Lee, J.B.; Yoon, S.I. Effect of nitrogen alloying on the semiconducting properties of passive films and metastable pitting susceptibility of 316L and 316LN stainless steels. Mater. Chem. Phys. 2010, 122, 194–199. [Google Scholar] [CrossRef]
- Macdonald, D.D. The point defect model for the passive state. J. Electrochem. Soc. 1992, 139, 3434–3449. [Google Scholar] [CrossRef]
- Roh, B.; Macdonald, D.D. Passivity of titanium: Part II, the defect structure of the anodic oxide film. J. Solid State Electrochem. 2019, 23, 1967–1979. [Google Scholar] [CrossRef]
- Roh, B.; Macdonald, D.D. Passivity of titanium: Part IV, reversible oxygen vacancy generation/annihilation. J. Solid State Electrochem. 2019, 23, 2863–2879. [Google Scholar] [CrossRef]
- Jiang, Z.; Dai, X.; Norby, T.; Middleton, H. Investigation of pitting resistance of titanium based on a modified point defect model. Corros. Sci. 2011, 53, 815–821. [Google Scholar] [CrossRef]
















| C | Fe | Al | V | Sn | Nb | O | Mn | Si | Co | Mb | Cb | Cr | Ni | Ti | |
|---|---|---|---|---|---|---|---|---|---|---|---|---|---|---|---|
| AM Ti-6Al-4V | 0.011 | 0.18 | 6.1 | 3.7 | 0.01 | - | - | - | - | - | - | - | - | - | Bal. |
| AM Ti-6Al-7Nb | 0.01 | 0.125 | 6.05 | - | - | 7.1 | 0.1 | - | - | - | - | - | - | - | Bal. |
| AM CP Ti | 0.1 | 0.3 | - | - | - | - | - | - | - | - | - | - | - | - | Bal. |
| AM Ni718 | 0.08 | 17.0 | 0.8 | - | - | - | - | 0.35 | 0.35 | 1.0 | 3.0 | 5.0 | 19.0 | Bal. | 0.6 |
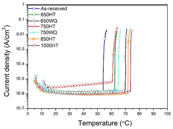
| E-CLCT (°C) | E-CLCP (VSCE) | |
|---|---|---|
| As-received | 53 (±0.3) | 1.544 (±0.002) |
| 650HT | 67 (±0.2) | 1.606 (±0.004) |
| 650WQ | 70 (±0.4) | 1.595 (±0.002) |
| 750HT | 62 (±0.2) | 1.676 (±0.002) |
| 750WQ | 64 (±0.2) | 1.605 (±0.002) |
| 850HT | 72 (±0.3) | 1.725 (±0.003) |
| 1000HT | 74 (±0.4) | 1.735 (±0.001) |
| RS (Ω cm2) | Rct (kΩ cm2) | α | CPEdl, Q (Ω−1∙cm−2∙Secα) | Ceff (μF cm−2) | deff (nm) | |
|---|---|---|---|---|---|---|
| As-received | 8.91 (0.17) | 3.10 (0.27) | 0.7727 | 1921 (21) 10−6 | 580 (11) | 0.13 (0.02) |
| 650HT | 11.39 (0.14) | 16.8 (0.42) | 0.8653 | 82.8 (5.2) 10−6 | 27.9 (0.9) | 2.69 (0.05) |
| 650WQ | 8.67 (0.11) | 8.65 (0.18) | 0.8290 | 126 (8) 10−6 | 30.9 (1.2) | 2.44 (0.04) |
| 750HT | 9.99 (0.46) | 52.5 (1.1) | 0.8716 | 69.2 (1.7) 10−6 | 23.7 (1.1) | 3.17 (0.15) |
| 750WQ | 8.76 (0.24) | 24.6 (0.4) | 0.8831 | 77.4 (1.4) 10−6 | 29.5 (5.0) | 2.55 (0.07) |
| 850HT | 8.30 (0.19) | 95.0 (2.7) | 0.8380 | 73.5 (1.2) 10−6 | 17.6 (0.8) | 4.27 (0.07) |
| 1000HT | 8.78 (0.28) | 147 (9) | 0.8473 | 60.5 (1.4) 10−6 | 15.5 (0.7) | 4.86 (0.05) |
| RS (Ω cm2) | Rct (kΩ cm2) | α | CPEdl, Q (Ω−1∙cm−2∙Sec α) | Ceff (μF cm−2) | deff (nm) | |
|---|---|---|---|---|---|---|
| As-received | 8.90 (0.10) | 0.76 (0.03) | 0.6547 | 2512 (37) × 10−6 | 336 (9) | 0.22 (0.01) |
| 650HT | 8.47 (0.10) | 19.7 (0.5) | 0.8839 | 232 (16) × 10−6 | 102 (1) | 0.74 (0.01) |
| 650WQ | 8.09 (0.09) | 25.1 (1.5) | 0.8919 | 201 (17) × 10−6 | 92.3 (0.8) | 0.81 (0.03) |
| 750HT | 7.44 (0.08) | 12.3 (0.5) | 0.8954 | 243 (20) × 10−6 | 116 (1) | 0.65 (0.08) |
| 750WQ | 8.42 (0.07) | 24.1 (1.2) | 0.8950 | 226 (23) × 10−6 | 108 (1) | 0.69 (0.07) |
| 850HT | 9.11 (0.09) | 27.7 (1.9) | 0.8646 | 193 (17) × 10−6 | 71.4 (0.5) | 1.05 (0.05) |
| 1000HT | 8.22 (0.10) | 32.5 (2.2) | 0.8836 | 168 (14) × 10−6 | 70.5 (0.4) | 1.08 (0.04) |
| Donor Density (×1018/cm3) after E-CLCP | Donor Density (×1018/cm3) after E-CLCT | |
|---|---|---|
| As-received | 118 (±5) | 208 (±4) |
| 650HT | 26.0 (±1.9) | 58.1 (±0.2) |
| 650WQ | 42.1 (±1.3) | 45.6 (±1.5) |
| 750HT | 13.7 (±0.7) | 118 (±9) |
| 750WQ | 14.9 (±0.6) | 66.2 (±2.7) |
| 850HT | 9.16 (±0.8) | 20.0 (±0.7) |
| 1000HT | 7.54 (±0.4) | 11.2 (±0.8) |
| n (Repassivation Rate) | |
|---|---|
| As-received | 0.77 (±0.03) |
| 650HT | 1.16 (±0.02) |
| 650WQ | 1.11 (±0.01) |
| 750HT | 1.31 (±0.03) |
| 750WQ | 1.24 (±0.02) |
| 850HT | 1.34 (±0.03) |
| 1000HT | 1.36 (±0.03) |
Publisher’s Note: MDPI stays neutral with regard to jurisdictional claims in published maps and institutional affiliations. |
© 2021 by the authors. Licensee MDPI, Basel, Switzerland. This article is an open access article distributed under the terms and conditions of the Creative Commons Attribution (CC BY) license (https://creativecommons.org/licenses/by/4.0/).
Share and Cite
Seo, D.-I.; Lee, J.-B. Localized Corrosion Resistance on Additively Manufactured Ti Alloys by Means of Electrochemical Critical Localized Corrosion Potential in Biomedical Solution Environments. Materials 2021, 14, 7481. https://doi.org/10.3390/ma14237481
Seo D-I, Lee J-B. Localized Corrosion Resistance on Additively Manufactured Ti Alloys by Means of Electrochemical Critical Localized Corrosion Potential in Biomedical Solution Environments. Materials. 2021; 14(23):7481. https://doi.org/10.3390/ma14237481
Chicago/Turabian StyleSeo, Dong-Il, and Jae-Bong Lee. 2021. "Localized Corrosion Resistance on Additively Manufactured Ti Alloys by Means of Electrochemical Critical Localized Corrosion Potential in Biomedical Solution Environments" Materials 14, no. 23: 7481. https://doi.org/10.3390/ma14237481
APA StyleSeo, D.-I., & Lee, J.-B. (2021). Localized Corrosion Resistance on Additively Manufactured Ti Alloys by Means of Electrochemical Critical Localized Corrosion Potential in Biomedical Solution Environments. Materials, 14(23), 7481. https://doi.org/10.3390/ma14237481

