Effect of Gd2O3 Addition on the Microstructure and Properties of Gd2O3-Yb2O3-Y2O3-ZrO2 (GYYZO) Ceramics
Abstract
:1. Introduction
2. Experimental Materials and Procedures
2.1. Preparation of Bulks
2.2. Microstructures and Phases
2.3. Properties
3. Results
3.1. Microstructure
3.2. Phases
3.3. Densification
3.4. Thermal Conductivity
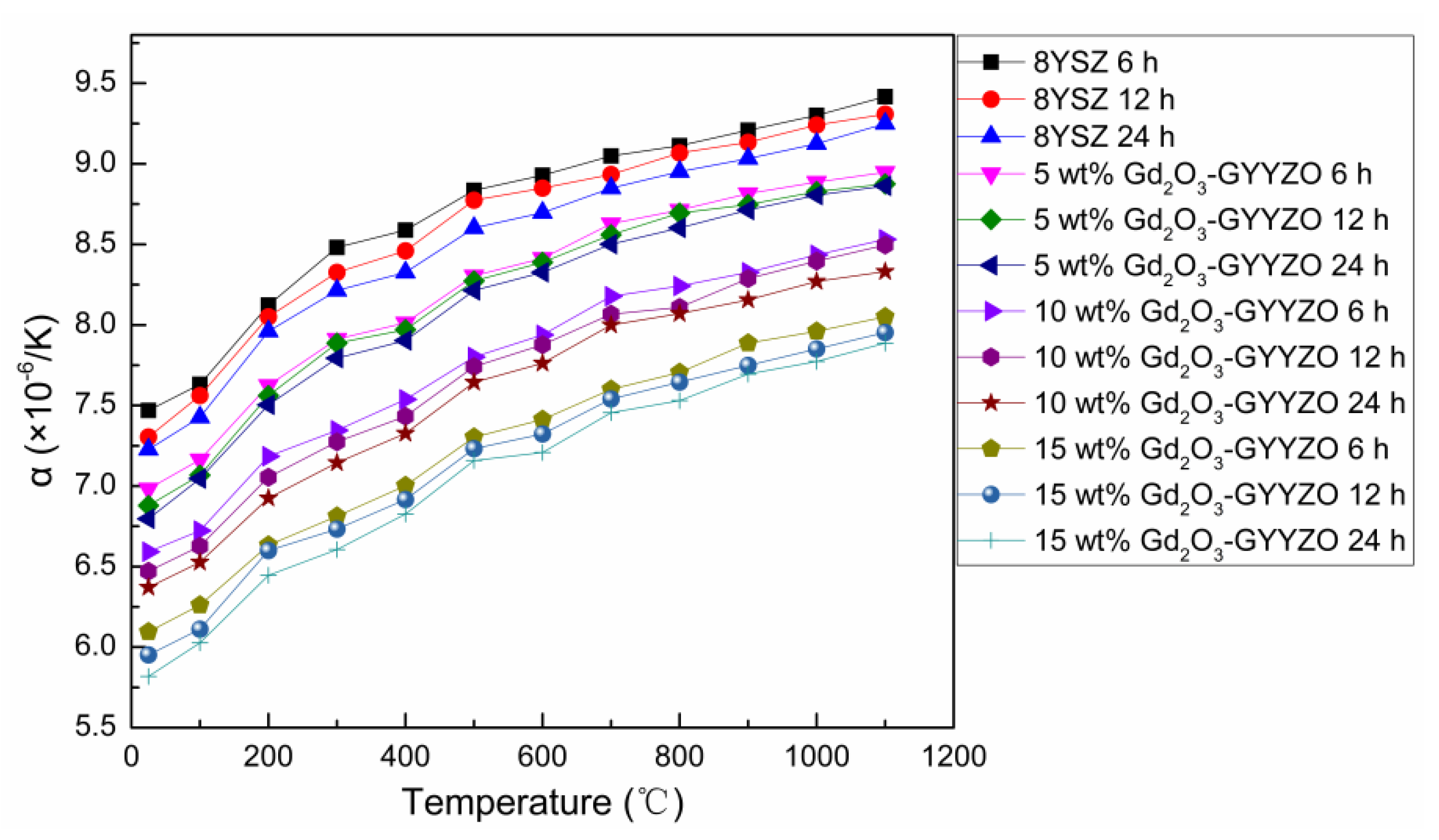
3.5. Thermal Expansion Coefficient
3.6. Mechanical Properties
4. Discussion
5. Conclusions
Author Contributions
Funding
Institutional Review Board Statement
Informed Consent Statement
Data Availability Statement
Conflicts of Interest
References
- Tian, T. The journey of gas turbine localization. Energy 2019, 12, 16–22. [Google Scholar]
- Yugeswaran, S.; Kobayashi, A.; Selvan, B.; Ananthapadmanabhan, P. In-flight behavior of lanthanum zirconate (La2Zr2O7) particles in gas tunnel type plasma jet and its coating properties. Vacuum 2012, 88, 139–143. [Google Scholar] [CrossRef]
- Cai, L.X.; He, Y.; Wang, S.S.; Li, Y.; Li, F. Thermal-Fluid-Solid coupling analysis on the temperature and thermal stress field of a Nickel-Base superalloy turbine blade. Materials 2021, 14, 3315. [Google Scholar] [CrossRef] [PubMed]
- Whittaker, M.T.; Harrison, W.; Hurley, P.J.; Williams, S. Modelling the behaviour of titanium alloys at high temperature for gas turbine applications. Mater. Sci. Eng. A 2010, 527, 4365–4372. [Google Scholar] [CrossRef] [Green Version]
- Mishra, R.K.; Nandi, V.; Bhat, R.R. Failure Analysis of High-Pressure compressor blade in an aero gas turbine engine. J. Fail. Anal. Prev. 2018, 18, 465–470. [Google Scholar] [CrossRef]
- Boissonnet, G.; Chalk, C.; Nicholls, J.R. Thermal insulation of YSZ and Erbia-Doped Yttria-Stabilised Zirconia EB-PVD thermal barrier coating systems after CMAS attack. Materials 2020, 13, 4382. [Google Scholar] [CrossRef] [PubMed]
- Padture, N.P.; Gell, M.; Jordan, E.H. Thermal Barrier Coatings for Gas-Turbine Engine Applications. Science 2002, 296, 280–284. [Google Scholar] [CrossRef] [PubMed]
- Gao, P.H.; Jia, H.; Wang, W.; Chen, B.Y.; Guo, Y.C.; Yang, Z.; Wang, J.D. Research progress in characterization of pore structure of thermal spray coatings. Rare. Metal. Mat. Eng. 2019, 48, 3055–3070. [Google Scholar]
- Sankar, V. Thermal barrier coatings material selection, method of preparation and applications-Review. Int. J. Mec. Eng. Rob. Research. 2014, 3, 510–517. [Google Scholar]
- Schlichting, K.W.; Padture, N.P.; Jordan, E.H.; Gell, M. Failure modes in plasma-sprayed thermal barrier coatings. Mater. Sci. Eng. A 2003, 342, 120–130. [Google Scholar] [CrossRef]
- Rabiei, A.; Evans, A.G. Failure mechanisms associated with the thermally grown oxide in plasma-sprayed thermal barrier coatings. Acta Mater. 2000, 48, 3963–3976. [Google Scholar] [CrossRef]
- Planques, P.; Vidal, V.; Lours, P.; Proton, V.; Crabos, F.; Huez, J.; Viguier, B. Mechanical and Thermo-physical Properties of Plasma-Sprayed Thermal Barrier Coatings: A Literature Survey. Oxid. Met. 2017, 88, 133–143. [Google Scholar] [CrossRef] [Green Version]
- Zhou, Q.; Yang, L.; Luo, C.; Chen, F.; Zhou, Y.; Wei, Y. Thermal barrier coatings failure mechanism during the interfacial oxidation process under the interaction between interface by cohesive zone model and brittle fracture by phase-field. Int. J. Solids Struct. 2020, 214–215, 18–34. [Google Scholar] [CrossRef]
- Liu, Z.; Shen, Z.Y.; Liu, G.X.; He, L.M. Sm-doped Gd2Zr2O7 thermal barrier coatings: Thermal expansion coefficient, structure and failure. Vacuum. 2021, 190, 110314. [Google Scholar] [CrossRef]
- Shen, Z.Y.; Liu, Z.; Liu, G.X.; Mu, R.D.; He, L.M.; Dai, J.W. GdYbZrO thermal barrier coatings by EB-PVD: Phase, microstructure, thermal properties and failure. Surf. Interfaces 2021, 24, 101123. [Google Scholar] [CrossRef]
- Gao, P.H.; Yang, G.J.; Sao, S.T.; Li, J.P.; Yang, Z.; Guo, Y.C. Heredity and variation of hollow structure from powders to coatings through atmospheric plasma spraying. Surf. Coat. Technol. 2016, 305, 76–82. [Google Scholar] [CrossRef]
- Arai, M.; Ochiai, H.; Suidzu, T. A novel low-thermal-conductivity plasma-sprayed thermal barrier coating controlled by large pores. Surf. Coat. Technol. 2016, 285, 120–127. [Google Scholar] [CrossRef]
- Zhou, C.H.; Li, X.W.; Pan, R.Y. Failure behaviour of Y2O3-ZrO2 thermal barrier coatings under the combined effects of hot corrosion and thermal shock. Mater. High Temp. 2020, 37, 321–327. [Google Scholar] [CrossRef]
- Nicholls, J.R.; Lawson, K.J.; Johnstone, A.; Rickerby, D.S. Methods to reduce the thermal conductivity of EB-PVD TBCs. Surf. Coat. Technol. 2002, 151, 383–391. [Google Scholar] [CrossRef] [Green Version]
- An, G.S.; Li, W.S.; Feng, L.; Cheng, B.; Wang, Z.P.; Li, Z.Y.; Zhang, Y. Isothermal oxidation and TGO growth behaviors of YAG/YSZ double-ceramic-layer thermal barrier coatings. Ceram. Int. 2021, 47, 24320–24330. [Google Scholar] [CrossRef]
- Wang, Y.Y.; Han, Y.X.; Lin, C.C.; Zheng, W. Effect of spraying power on the morphology of YSZ splat and micro-structure of thermal barrier coating. Ceram. Int. 2021, 47, 18956–18963. [Google Scholar] [CrossRef]
- Wang, L.; Wang, Y.; Zhang, W.Q.; Sun, X. Finite element simulation of stress distribution and development in 8YSZ and double-ceramic-layer La2Zr2O7/8YSZ thermal barrier coatings during thermal shock. Appl. Surf. Sci. 2012, 258, 3540–3551. [Google Scholar] [CrossRef]
- Kiryc, M.; Kazamer, N.; Kurumlu, D.; Marginean, G. Comparative Study on the Thermal Performance of Cr-CrxOy and YSZ-CoNiCrAlY Coatings Exposed at 900 °C. Materials 2021, 14, 6040. [Google Scholar] [CrossRef] [PubMed]
- Feng, J.; Xiao, B.; Zhou, R.; Pan, W. Thermal conductivity of rare earth zirconate pyrochlore from first principles. Scr. Mater. 2013, 68, 727–730. [Google Scholar] [CrossRef]
- Sivakumar, S.; Praveen, K.; Shanmugavelayutham, G.; Yugeswaran, S.; Mostaghimi, J. Thermo-physical behavior of atmospheric plasma sprayed high porosity lanthanum zirconate coatings. Surf. Coatings Technol. 2017, 326, 173–182. [Google Scholar] [CrossRef]
- Chen, D.; Wang, Q.S.; Liu, Y.B.; Ning, X.J. Microstructure, thermal characteristics, and thermal cycling behavior of the ternary rare earth oxides (La2O3, Gd2O3, and Yb2O3) co-doped YSZ coatings. Surf. Coat. Technol. 2020, 403, 126387. [Google Scholar] [CrossRef]
- Zhang, J.X.; Bai, Y.; Li, E.B.; Dong, H.Y.; Ma, W. Yb2O3-Gd2O3 codoped strontium zirconate composite ceramics for potential thermal barrier coating applications. Int. J. Appl. Ceram. Technol. 2020, 17, 1608–1618. [Google Scholar] [CrossRef]
- Gao, P.H.; Zeng, S.C.; Jin, C.; Zhang, B.; Chen, B.Y.; Yang, Z.; Guo, Y.C.; Liang, M.X.; Li, J.P.; Li, Q.P.; et al. Thermal conductivity of multi-sized porous thermal barrier coatings at micro and nano scales after long-term service at high temperature. Coatings 2021, 11, 1183. [Google Scholar] [CrossRef]
- Bobzin, K.; Zhao, L.D.; Öte, M.; Königstein, T. A highly porous thermal barrier coating based on Gd2O3-Yb2O3 co-doped YSZ. Surf. Coat. Technol. 2019, 366, 349–354. [Google Scholar] [CrossRef]
- Feng, J.; Ren, X.; Wang, X.; Zhou, R.; Pan, W. Thermal conductivity of ytterbia-stabilized zirconia. Scr. Mater. 2011, 66, 41–44. [Google Scholar] [CrossRef]
- Rice, R.W.; Wu, C.C.; Borchelt, F. Hardness-Grain-Size relations in ceramics. J. Am. Ceram. Soc. 1994, 77, 2539–2553. [Google Scholar] [CrossRef]
- Schaedler, T.A.; Leckie, R.M.; Krmer, S.; Evans, A.G.; Levi, C.G. Toughening of nontransformable T′-YSZ by addition of titania. J. Am. Ceram. Soc. 2007, 90, 3896–3901. [Google Scholar] [CrossRef]
- Eranezhuth, W.A.; Soumya, S.; Rajashekhar, S.; Ravi, K. Structural, functional and mechanical properties of spark plasma sintered gadolinia (Gd2O3). Ceram. Int. 2016, 42, 1384–1391. [Google Scholar]
- Stephan, S. New ZrO2-Yb2O3 plasma-sprayed coatings for thermal barrier applications. Thin Solid Films. 1987, 150, 15–40. [Google Scholar]
- Jan, F.J.; Virkar, A.V. Fabrication, Microstructural characterization, and mechanical properties of polycrystalline t’-Zirconia. J. Am. Ceram. Soc. 1990, 73, 3650–3657. [Google Scholar]
- Evans, A.G.; Mumm, D.R.; Hutchinson, J.W.; Meier, G.H.; Pettit, F.S. Mechanisms controlling the durability of thermal barrier coatings. Prog. Mater. Sci. 2001, 46, 505–553. [Google Scholar] [CrossRef]
- Cao, X.Q.; Vassen, R.; Stoever, D. Ceramic materials for thermal barrier coatings. J. Eur. Ceram. Soc. 2004, 24, 1–10. [Google Scholar] [CrossRef]
- Zhou, F.; Wang, Y.; Liu, M.; Deng, C.; Zhang, X. Thermo-physical and thermal insulation properties of multi-scale nanostructured thermal barrier coatings using as-prepared t′-8YSZ feedstocks. Ceram. Int. 2019, 45, 24096–24103. [Google Scholar] [CrossRef]
- Xia, X.; Oldman, R.; Catlow, R. Computational Modeling Study of Bulk and Surface of Yttria-Stabilized Cubic Zirconia. Chem. Mater. 2009, 21, 3576–3585. [Google Scholar] [CrossRef]
- Mercer, C.; Williams, J.R.; Clarke, D.R.; Evans, A.G. On a ferroelastic mechanism governing the toughness of metastable tetragonal-prime (t′)-yttria-stabilized zirconia, Proceedings of the Royal Society A: Mathematical. Phys. Eng. Sci. 2007, 463, 1393–1408. [Google Scholar]
- Schelling, P.K.; Phillpot, S.R.; Grimes, R.W. Optimum pyrochlore compositions for low thermal conductivity. Phil. Mag. Lett. 2004, 84, 127–137. [Google Scholar] [CrossRef]
- Lehmann, H.; Pitzer, D.; Pracht, G.; Vassen, R.; Stöver, D. Thermal conductivity and thermal expansion coefficients of the Lanthanum Rare-Earth-Element zirconate system. J. Am. Ceram. Soc. 2010, 86, 1338–1344. [Google Scholar] [CrossRef]









| Processing | Parameters |
|---|---|
| Powders Ball to powder weight ratio | 8YSZ, Yb2O3, Gd2O3 10:1 |
| Grinding ball Wetting agent | Agate ball 1 wt% sodium stearate |
| Rotation speed | 120 rpm |
| Time | 20 h |
| Processing | Parameters |
|---|---|
| Pressure | 200 MPa |
| Holding time | 5 min |
| Sintering temperature | 1650 °C |
| Sintering time | 6 h, 12 h, 24 h |
| Bulks | 8YSZ | 5 wt% Gd2O3-GYYZO | 10 wt% Gd2O3-GYYZO | 15 wt% Gd2O3-GYYZO |
|---|---|---|---|---|
| 1650 °C-6 h | 12.33% | 13.59% | 14.07% | 14.64% |
| 1650 °C-12 h | 6.50% | 6.94% | 7.04% | 7.21% |
| 1650 °C-24 h | 3.11% | 3.41% | 3.52% | 3.76% |
| Bulks | 8YSZ (g/cm3) | 5 wt% Gd2O3-GYYZO (g/cm3) | 10 wt% Gd2O3-GYYZO (g/cm3) | 15 wt% Gd2O3-GYYZO (g/cm3) |
|---|---|---|---|---|
| 1650 °C-6 h | 5.012 | 5.203 | 5.231 | 5.254 |
| 1650 °C-12 h | 5.346 | 5.603 | 5.660 | 5.712 |
| 1650 °C-24 h | 5.540 | 5.816 | 5.873 | 5.923 |
| Bulks | 8YSZ | 5 wt% Gd2O3-GYYZO | 10 wt% Gd2O3-GYYZO | 15 wt% Gd2O3-GYYZO |
|---|---|---|---|---|
| 1650 °C-6 h | 87.65% | 86.39% | 85.92% | 85.35% |
| 1650 °C-12 h | 93.49% | 93.04% | 92.96% | 92.78% |
| 1650 °C-24 h | 96.89% | 96.58% | 96.47% | 96.22% |
| Bulks | 8YSZ | 5 wt% Gd2O3-GYYZO | 10 wt% Gd2O3-GYYZO | 15 wt% Gd2O3-GYYZO |
|---|---|---|---|---|
| 1650 °C-6 h | 5.936 | 6.048 | 6.163 | 7.025 |
| 1650 °C-12 h | 6.127 | 6.388 | 6.615 | 7.364 |
| 1650 °C-24 h | 6.391 | 6.725 | 7.127 | 7.822 |
| Crystal Phase | Lattice (Å) | Space Group | Wykoff Coordinates | Angle |
|---|---|---|---|---|
| M-ZrO2 | a = 5.168 b = 5.232 c = 5.319 | P21 | Zr (0.276,0.041,0.208) O (0.070,0.336,0.314) O (0.442,0.755,0.479) | β = 99.194° |
| T-ZrO2 | a = b = 5.120 c = 5.250 | P4m2 | Zr (0.750,0.250,0.750) O (0.750,0.750,0.942) | β = 90° |
| T-8YSZ | a = b = 3.657 c = 5.303 | P42 | Zr (0.750,0.250,0.750) O (0.750,0.750,0.942) Y (0.250,0.750,0.750) | β = 90° |
| T-GYYZO | a = b = 3.638 c = 5.169 | P42 | Zr (0.750,0.250,0.750) O (0.750,0.750,0.942) Y (0.250,0.750,0.750) Yb (0.750,0.750,0.250) Gd (0.250,0.250,0.750) | β = 90° |
| Bulks | Hardness (GPa) | Elastic Modulus (GPa) | Fracture Toughness (MPa·m0.5) | Thermal Conductivity W/(m·k) | Thermal Expansion Coefficient (at 1100 °C) |
|---|---|---|---|---|---|
| 8YSZ | 13 [31] | 230 [35] | 5.1 [32] | 1.85 (at 1000 °C) [19] | 10 × 10−6/K [3,7] |
| 10YbSZ | 12.3 [41] | 210 [40] | —— | 1.8 (at 1100 °C) [41] | 10.7 × 10−6/K [41] |
| 6GdSZ | 10 [41] | 200 [41] | —— | 1.5 (at 1100 °C) [42] | 11.5 × 10−6/K [42] |
| 15 wt%Gd2O3-GYYZO | 15.61 | 306.88 | 7.822 | 1.04 (at 1100 °C) | 7.89 × 10−6/K |
Publisher’s Note: MDPI stays neutral with regard to jurisdictional claims in published maps and institutional affiliations. |
© 2021 by the authors. Licensee MDPI, Basel, Switzerland. This article is an open access article distributed under the terms and conditions of the Creative Commons Attribution (CC BY) license (https://creativecommons.org/licenses/by/4.0/).
Share and Cite
Gao, P.-H.; Zeng, S.-C.; Jin, C.; Zhang, B.; Chen, B.-Y.; Yang, Z.; Guo, Y.-C.; Liang, M.-X.; Li, J.-P.; Li, Q.-P.; et al. Effect of Gd2O3 Addition on the Microstructure and Properties of Gd2O3-Yb2O3-Y2O3-ZrO2 (GYYZO) Ceramics. Materials 2021, 14, 7470. https://doi.org/10.3390/ma14237470
Gao P-H, Zeng S-C, Jin C, Zhang B, Chen B-Y, Yang Z, Guo Y-C, Liang M-X, Li J-P, Li Q-P, et al. Effect of Gd2O3 Addition on the Microstructure and Properties of Gd2O3-Yb2O3-Y2O3-ZrO2 (GYYZO) Ceramics. Materials. 2021; 14(23):7470. https://doi.org/10.3390/ma14237470
Chicago/Turabian StyleGao, Pei-Hu, Sheng-Cong Zeng, Can Jin, Bo Zhang, Bai-Yang Chen, Zhong Yang, Yong-Chun Guo, Min-Xian Liang, Jian-Ping Li, Quan-Ping Li, and et al. 2021. "Effect of Gd2O3 Addition on the Microstructure and Properties of Gd2O3-Yb2O3-Y2O3-ZrO2 (GYYZO) Ceramics" Materials 14, no. 23: 7470. https://doi.org/10.3390/ma14237470
APA StyleGao, P.-H., Zeng, S.-C., Jin, C., Zhang, B., Chen, B.-Y., Yang, Z., Guo, Y.-C., Liang, M.-X., Li, J.-P., Li, Q.-P., Lu, Y.-Q., Jia, L., & Zhao, D. (2021). Effect of Gd2O3 Addition on the Microstructure and Properties of Gd2O3-Yb2O3-Y2O3-ZrO2 (GYYZO) Ceramics. Materials, 14(23), 7470. https://doi.org/10.3390/ma14237470

