Thermal and Optical Properties of the Sunspace Casing as Factors Influencing Temperature Rise in Greenhouse Systems
Abstract
:1. Introduction and Literature Review
- Practical functions, providing additional recreational or economic space, as well as increasing the sense of security of users;
- Factors related to energy saving, owing to the reduction in heat loss from adjacent rooms and preheating the air used for their ventilation;
- Factors related to the protection of residential units from noise, which is particularly important in the areas with high traffic;
- Factors related to the protection of the façade and rooms of the building from weather conditions, such as pollution, precipitation, wind, and temperature fluctuations.
2. Materials and Methods
- θi—mean internal temperature in the living room adjacent to the balcony in a given calculation step [°C];
- θe—mean outside temperature in a given calculation step [°C];
- θs—mean internal temperature in the solar space in a given calculation step [°C].
- Oriented towards maximising solar gains owing to glazing with low thermal insulation and high solar radiation transmittance;
- Oriented at minimising heat losses by increasing thermal insulation, generally associated with a reduction in solar gains.
3. Validation of the Simulation Programme
- Mean Bias Error (MBE)
- Root-Mean-Square Error (RMSE)
- Coefficient of variation of Root-Mean-Square Error (Cv(RMSE))
- Mean Absolute Percentage Error (MAPE)
- M—measured value;
- M’—mean measured value;
- S—value determined based on simulation;
- n—number of observations.
4. Climatic Data Used in the Simulation Model
5. Results and Discussion
5.1. Temperature Rise in the Sunspce and the Temperature Correction Factor
- The greatest efficiency in converting solar radiation was demonstrated by insulated enclosures, with the coating allowing the highest solar radiation transmittance through glazed parts;
- The lowest effectiveness was observed for uninsulated enclosures, with glazing and coatings characterised by the lowest radiation transmittance;
- The temperature increase was greatest if the balcony faced south and southeast, and the west orientation was the least favourable in this respect, which resulted from the shape of the enclosure and the distribution of radiation on vertical planes with different orientations (Table 5);
- The greatest increase in temperature in the glazed space took place from May to August, and in the case of insulated enclosures with higher radiation transmittance, the average temperature of zone one (balcony) may be up to 3 °C higher than the temperature of zone two (living room),
- November and December were characterised by the lowest efficiency of obtaining solar energy by greenhouse systems and the lowest temperature increase, which resulted from the lowest supply of solar radiation and the lowest irradiation of vertical planes.
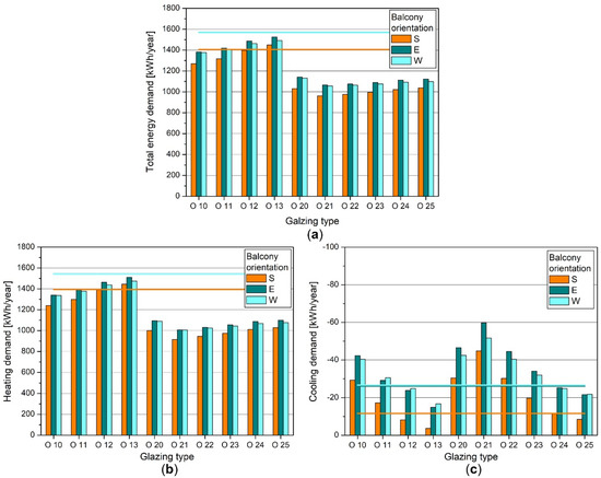
5.2. Energy Demand in the Heated Area
6. Conclusions
- Evaluation of the performance of glazed balconies as passive solar systems with the use of the temperature-correction factor proved to be consistent with the energy needs analyses of the conditioned apartment; this demonstrates the usefulness of the btr coefficient as a measure of solar conversion potential of a sunspace;
- There was a visible difference in the functioning of the passive greenhouse system and its ability to convert solar radiation into heat energy, depending on the insulating properties of the sunspace envelope and the total solar energy transmittance of the glazing;
- Envelopes with added thermal insulation and double glazing were clearly more effective solar collectors compared with uninsulated casing and single glazing; this emphasised the importance of the buffer effect provided by the sunspace, and the advantage of the strategy depending on minimising heat losses over maximizing solar gains in the greenhouse;
- High effectiveness of solar conversion during the heating season may raise overheating risk during summer, but because in the warm-summer humid continental climate conditions building maintenance is oriented towards heating rather than cooling, these effects turned out to be negligible when taking into account the whole-year energy needs;
- Changes in the solar energy transmittance turned out to be a useful solution helping to influence temperature rise in the sunspace and the energy demand in the apartment; the most effective variant of the envelope was an insulated, double-glazed casing with the spectrally selective coating (type O 21); it combined high insulative properties with high solar transmittance, allowing to raise the temperature in the sunspace by almost 10 °C (compared with the external air) and lower total energy demand in the flat by 33% (compared with the flat with an open balcony).
Funding
Conflicts of Interest
References
- Frantz, J.; Hanke, S.; Krampen, M.; Schempp, D. Wintergärten. Das Erlebnis mit der Natur zu Wohnen. Planen, Bauen und Gestalten; Falken: Dresden, Germany, 1993. [Google Scholar]
- Wall, M. Climate and Energy Use in Glazed Spaces; Report TABK-96/1009; Lund University, Department of Building Science: Lund, Sweden, 1996. [Google Scholar]
- Boonstra, C. Glazed Balconies in Building Renovation; James and James Ltd: London, UK, 1997. [Google Scholar]
- Kennedy, R.; Buys, L.; Miller, E. Residents’ Experiences of Privacy and Comfort in Multi-Storey Apartment Dwellings in Sub-tropical Brisbane. Sustainability 2015, 7, 7741–7761. [Google Scholar] [CrossRef] [Green Version]
- Ribeiro, C.; Ramos, N.; Flores-Colen, I. A Review of Balcony Impacts on the Indoor Environmental Quality of Dwellings. Sustainability 2020, 12, 6453. [Google Scholar] [CrossRef]
- Fernández-González, A. Analysis of the thermal performance and comfort conditions produced by five different passive solar heating strategies in the United States midwest. Sol. Energy 2007, 81, 581–593. [Google Scholar] [CrossRef]
- Hilliaho, K.; Köliö, A.; Pakkala, T.; Lahdensivu, J.; Vinha, J. Effects of added glazing on Balcony indoor temperatures: Field measurements. Energy Build 2016, 128, 458–472. [Google Scholar] [CrossRef]
- Hilliaho, K. Energy saving potential and interior temperatures of glazed spaces. In Evaluation through Measurements and Simulations; Tampere University of Technology: Tampere, Finland, 2017. [Google Scholar]
- Catalina, T.; Bortis, D.; Vartires, A.; Lungu, C. Glazed balconies impact on energy consumption of multi-story buildings. E3S Web Conf. 2019, 111. [Google Scholar] [CrossRef] [Green Version]
- Grudzińska, M. Glazed balconies and their influence on the temperature reduction factor during the heating season. E3S Web Conf. 2020, 172, 12011. [Google Scholar] [CrossRef]
- Rempel, A.R.; Rempel, A.W.; Cashman, K.V.; Gates, K.N.; Page, C.J.; Shaw, B. Interpretation of passive solar field data with EnergyPlus models: Un-conventional wisdom from four sunspaces in Eugene, Oregon. Build Environ 2013, 60, 158–172. [Google Scholar] [CrossRef]
- Ma, Q.; Fukuda, H.; Lee, M.; Kobatake, T.; Kuma, Y.; Ozaki, A.; Wei, X. Experimental Analysis of the Thermal Performance of a Sunspace Attached to a House with a Central Air Conditioning System. Sustainability 2018, 10, 1428. [Google Scholar] [CrossRef] [Green Version]
- Ma, Q.; Fukuda, H.; Lee, M.; Kobatake, T.; Kuma, Y.; Ozaki, A.; Wei, X. Study on Heat Utilization in an Attached Sunspace in a House with a Central Heating, Ventilation, and Air Conditioning System. Energies 2018, 11, 1192. [Google Scholar] [CrossRef] [Green Version]
- Fernandes, J.; Pimenta, C.; Mateus, R.; Silva, S.M.; Bragança, L. Contribution of Portuguese Vernacular Building Strategies to Indoor Thermal Comfort and Occupants’ Perception. Buildings 2015, 5, 1242–1264. [Google Scholar] [CrossRef] [Green Version]
- Fernandes, J.; Malheiro, R.; Castro, M.D.F.; Gervásio, H.; Silva, S.M.; Mateus, R. Thermal Performance and Comfort Condition Analysis in a Vernacular Building with a Glazed Balcony. Energies 2020, 13, 624. [Google Scholar] [CrossRef] [Green Version]
- Monge-Barrio, A.; Sánchez-Ostiz, A. Energy efficiency and thermal behaviour of attached sunspaces in the residential archi-tecture in Spain. Summer conditions. Energy Build. 2015, 108, 244–256. [Google Scholar] [CrossRef]
- Sánchez-Ostiz, A.; Monge-Barrio, A.; Domingo-Irigoyen, S.; González-Martínez, P. Design and experimental study of an in-dustrialized sunspace with solar heat storage. Energy Build. 2014, 80, 231–246. [Google Scholar] [CrossRef]
- Saleh, P.H. Thermal performance of glazed balconies within heavy weight/thermal mass buildings in Beirut, Lebanon’s hot climate. Energy Build. 2015, 108, 291–303. [Google Scholar] [CrossRef]
- Song, D.; Choib, Y.-J. Effect of building regulation on energy consumption in residential buildings in Korea. Renew Sustain. Energy Rev. 2012, 16, 1074–1081. [Google Scholar] [CrossRef]
- Gainza-Barrencua, J.; Odriozola-Maritorena, M.; Hernandez_Minguillon, R.; Gomez-Arriaran, I. Energy savings using sun-spaces to preheat ventilation intake air: Experimental and simulation study. J. Build. Eng. 2021, 40, 102343. [Google Scholar] [CrossRef]
- López, M.J.S.; Castro, S.S.; Manso, A.N.; Marigorta, E.B. Heat collection in an attached sunspace. Renew. Energy 2019, 145, 2144–2150. [Google Scholar] [CrossRef]
- Ulpiani, G.; Giuliani, D.; Romagnoli, A.; DI Perna, C. Experimental monitoring of a sunspace applied to a NZEB mock-up: Assessing and comparing the energy benefits of different configurations. Energy Build. 2017, 152, 194–215. [Google Scholar] [CrossRef]
- Asa’D, O.; Ugursal, V.I.; Ben-Abdallah, N. Investigation of the energetic performance of an attached solar greenhouse through monitoring and simulation. Energy Sustain. Dev 2019, 53, 15–29. [Google Scholar] [CrossRef]
- Vukadinović, A.; Radosavljević, J.; Đorđević, A. Energy performance impact of using phase-change materials in thermal storage walls of detached residential buildings with a sunspace. Sol. Energy 2020, 206, 228–244. [Google Scholar] [CrossRef]
- Li, Q.; Wang, Y.; Ma, L.; Arıcı, M.; Li, D.; Zhu, Y. Effect of sunspace and PCM louver combination on the energy saving of rural residences: Case study in a severe cold region of China. Sustain. Energy Technol. Assess. 2021, 45, 101126. [Google Scholar] [CrossRef]
- Stevanović, S. Optimization of passive solar design strategies: A review. Renew. Sustain. Energy Rev 2013, 25, 177–196. [Google Scholar] [CrossRef]
- Vukadinović, A.; Radosavljević, J.; Đorđević, A.; Protić, M.; Nikolić, Z. Analysis and optimisation of energy performance in residential buildings with sunspaces. In Proceedings of the III International Conference Industrial Engineering and Environmental Protection 2018 (IIZS 2018), Zrenjanin, Serbia, 11–12 October 2018. [Google Scholar]
- Albatici, R.; Passerini, F.; Pfafferott, J. Energy Performance of Verandas in the Building Retrofit Process. Energies 2016, 9, 365. [Google Scholar] [CrossRef] [Green Version]
- Bataineh, K.M.; Fayez, N. Analysis of thermal performance of building attached sunspace. Energy Build. 2011, 43, 1863–1868. [Google Scholar] [CrossRef]
- Chiesa, G.; Simonetti, M.; Ballada, G. Potential of attached sunspaces in winter season comparing different technological choices in Central and Southern Europe. Energy Build. 2017, 138, 377–395. [Google Scholar] [CrossRef]
- Ma, L.; Zhang, X.; Li, D.; Arıcı, M.; Li, Q.; Zhang, S.; Jiang, W. Influence of sunspace on energy consumption of rural residential buildings. Sol. Energy 2020, 211, 336–344. [Google Scholar] [CrossRef]
- Piegari, A.; Flory, F. Optical Thin Films and Coatings. From Materials to Applications; Woodhead Publishing: Oxford, UK, 2013. [Google Scholar]
- ISO 52016-1:2017 Energy Performance of Buildings—Energy Needs for Heating and Cooling, Internal Temperatures and Sensible and Latent Heat Loads—Part 1: Calculation Procedures; European Committee for Standardization: Brussels, Belgium, 2017.
- Panão, M.J.O.; Camelo, S.M.; Gonçalves, H.J. Solar Load Ratio and ISO 13790 methodologies: Indirect gains from sunspaces. Energy Build. 2012, 51, 212–222. [Google Scholar] [CrossRef] [Green Version]
- ISO 13789:2017 Thermal Performance of Buildings—Transmission and Ventilation Heat Transfer Coefficients—Calculation Method; European Committee for Standardization: Brussels, Belgium, 2017.
- Decree of the Minister of Infrastructure and Development from 27th February 2015 on the methodology of determining energy charac-teristics of buildings or their parts and energy certificates. J. Laws Repub. Pol. 2015, 376.
- Calumen II v. 1.3.1, Saint Gobain Glass. Available online: https://calumen-ii2.software.informer.com/1.3/ (accessed on 7 February 2015).
- Grudzińska, M. Glazed balconies as passive greenhouse systems. In Evaluation of Functioning in Polish Climatic Conditions; Lublin University of Technology Publishing House: Lublin, Poland, 2020. [Google Scholar]
- ASHRAE Guideline 14-2002: Measurement of Energy and Demand Savings; American Society of Heating, Refrigerating and Air-Conditioning Engineers: Atlanta, GA, USA, 2002.
- International Performance Measurement and Verification Protocol: Concepts and Options for Determining Energy and Water Savings, Volume I; International Performance Measurement and Verification Protocol Committee: Oak Ridge, TN, USA, 2002.
- Measurement and Verification Guidelines. In Measurement and Verification for Performance-Based Contracts, Version 4.0; U.S. Department of Energy, Federal Energy Management Program: Washington, DC, USA, 2015.
- Rogalska, M. Multi-Factor Models in Evaluating the Time of Building Processes; Lublin University of Technology Publishing House: Lublin, Poland, 2016. [Google Scholar]
- Perez, R.; Stewart, R.; Arbogast, C.; Seals, R.; Scott, J. An anisotropic hourly diffuse radiation model for sloping surfaces: De-scription, performance validation, site dependency evaluation. Sol. Energy 1986, 36, 481–497. [Google Scholar] [CrossRef]
- Włodarczyk, D.; Nowak, H. Statistical analysis of solar radiation models onto inclined planes for climatic conditions of Lower Silesia in Poland. Arch. Civ. Mech. Eng. 2009, 9, 127–144. [Google Scholar] [CrossRef]









| Glazing Type | O 10 | O 11 | O 12 | O 13 | O 20 | O 21 | O 22 | O 23 | O 24 | O 25 |
|---|---|---|---|---|---|---|---|---|---|---|
| No of Panes | 1 | 1 | 1 | 1 | 2 | 2 | 2 | 2 | 2 | 2 |
| Selective Coating | − | + | + | + | − | + | + | + | + | + |
| Ug [W/(m2·K)] | 5.60 | 5.60 | 5.30 | 5.10 | 2.70 | 1.40 | 1.30 | 1.20 | 1.10 | 1.00 |
| g [–] | 0.85 | 0.68 | 0.44 | 0.30 | 0.80 | 0.74 | 0.63 | 0.53 | 0.42 | 0.36 |
| τvis [–] | 0.89 | 0.67 | 0.36 | 0.21 | 0.83 | 0.81 | 0.8 | 0.72 | 0.63 | 0.54 |
| τs [–] | 0.83 | 0.63 | 0.32 | 0.18 | 0.77 | 0.66 | 0.56 | 0.48 | 0.38 | 0.31 |
| ρs [–] | 0.08 | 0.16 | 0.21 | 0.29 | 0.14 | 0.19 | 0.29 | 0.4 | 0.48 | 0.49 |
| g/Ug [(m2·K)/W] | 0.15 | 0.12 | 0.08 | 0.06 | 0.30 | 0.53 | 0.48 | 0.44 | 0.38 | 0.36 |
| Window Frame | Alu | Alu | Alu | Alu | PVC | PVC | PVC | PVC | PVC | PVC |
| Uf [W/(m2·K)] | 6.00 | 6.00 | 6.00 | 6.00 | 2.00 | 1.20 | 1.20 | 1.20 | 1.20 | 1.20 |
| Uw [W/(m2·K)] | 5.70 | 5.70 | 5.40 | 5.30 | 2.60 | 1.40 | 1.30 | 1.20 | 1.10 | 1.00 |
| Opaque Enclosure | NI | NI | NI | NI | IT | I | I | I | I | I |
| Ue [W/(m2·K)] | 1.60 | 1.60 | 1.60 | 1.60 | 0.65 | 0.30 | 0.30 | 0.30 | 0.30 | 0.30 |
| Parameter | No of Variants | Range |
|---|---|---|
| Building location | 1 | Warsaw |
| Balcony orientation | 5 | S, SE, E, SW, W |
| Apartment location | 1 | Central part of the repetitive storey |
| Thermal insulation of the external partitions | 1 | 0.25 W/(m2·K)/1.30 W/(m2·K) (walls/windows) |
| Air change | 2 | 0.5 1/h/0.5 1/h/1.4 1/h (zone 3/2/1) Balcony—not insulated 0.5 1/h/0.3 1/h/0.8 1/h (zone 3/2/1) Balcony—intermediate or insulated |
| Balcony type | 1 | External, enclosure gazed on 3 walls |
| Balcony enclosure | 3 | Not insulated, intermediate or insulated |
| Glazing type | 10 | Described in Table 2 |
| Glazing height | 3 | 1.80 m, 2.20 m, 2.60 m |
| Absorptivity of balcony enclosure | 1 | 0.5 |
| MBE [%] | RMSE [°C] | CV(RMSE) [%] | MAPE [%] |
|---|---|---|---|
| 0.57 | 1.44 | 5.22 | 4.38 |
| Statistical Parameter | Publication | ||
|---|---|---|---|
| ASHRAE 14 [39] | IPMVP [40] | FEMP [41] | |
| MBE [%] | ±10 | ±5 | ±10 |
| Cv(RMSE) [%] | 30 | 20 | 30 |
| Time Period | Solar Radiation Intensity on the Planes of Different Orientations [kWh/m2] | |||||||
|---|---|---|---|---|---|---|---|---|
| N | NE | E | SE | S | SW | W | NW | |
| I | 14.0 | 15.3 | 38.5 | 70.1 | 71.7 | 40.8 | 16.8 | 14.0 |
| II | 20.0 | 24.9 | 44.6 | 64.5 | 63.4 | 41.9 | 25.2 | 20.0 |
| III | 34.6 | 48.3 | 78.0 | 98.1 | 88.9 | 62.3 | 43.5 | 35.2 |
| IV | 51.8 | 73.0 | 99.0 | 107.6 | 95.9 | 82.5 | 68.2 | 54.8 |
| V | 73.4 | 107.3 | 136.0 | 134.0 | 112.4 | 105.6 | 94.5 | 77.1 |
| VI | 82.7 | 116.2 | 142.0 | 136.5 | 117.0 | 117.2 | 109.2 | 89.0 |
| VII | 83.8 | 123.2 | 150.6 | 141.6 | 116.5 | 112.4 | 102.7 | 84.5 |
| VIII | 68.2 | 101.0 | 131.8 | 135.6 | 118.0 | 106.4 | 89.4 | 70.3 |
| IX | 44.1 | 57.5 | 79.6 | 95.6 | 94.5 | 79.7 | 60.8 | 46.6 |
| X | 25.6 | 27.6 | 40.5 | 60.9 | 68.7 | 53.7 | 34.2 | 25.9 |
| XI | 13.0 | 13.3 | 19.2 | 30.8 | 35.2 | 26.7 | 16.1 | 13.0 |
| XII | 10.1 | 10.2 | 18.1 | 32.6 | 35.7 | 23.8 | 11.9 | 10.1 |
| IX–V | 286.6 | 377.4 | 553.5 | 694.2 | 666.4 | 517.0 | 371.2 | 296.7 |
| Whole year | 521.3 | 717.8 | 977.9 | 1107.9 | 1017.9 | 853.0 | 672.5 | 540.5 |
Publisher’s Note: MDPI stays neutral with regard to jurisdictional claims in published maps and institutional affiliations. |
© 2021 by the author. Licensee MDPI, Basel, Switzerland. This article is an open access article distributed under the terms and conditions of the Creative Commons Attribution (CC BY) license (https://creativecommons.org/licenses/by/4.0/).
Share and Cite
Grudzińska, M. Thermal and Optical Properties of the Sunspace Casing as Factors Influencing Temperature Rise in Greenhouse Systems. Materials 2021, 14, 7411. https://doi.org/10.3390/ma14237411
Grudzińska M. Thermal and Optical Properties of the Sunspace Casing as Factors Influencing Temperature Rise in Greenhouse Systems. Materials. 2021; 14(23):7411. https://doi.org/10.3390/ma14237411
Chicago/Turabian StyleGrudzińska, Magdalena. 2021. "Thermal and Optical Properties of the Sunspace Casing as Factors Influencing Temperature Rise in Greenhouse Systems" Materials 14, no. 23: 7411. https://doi.org/10.3390/ma14237411
APA StyleGrudzińska, M. (2021). Thermal and Optical Properties of the Sunspace Casing as Factors Influencing Temperature Rise in Greenhouse Systems. Materials, 14(23), 7411. https://doi.org/10.3390/ma14237411
