Structure of a Fe4O6-Heteraadamantane-Type Hexacation Stabilized by Chelating Organophosphine Oxide Ligands
Abstract
:1. Introduction
2. Methods
2.1. Synthesis
Characterization of Compound I
2.2. Crystallography
2.3. Hirshfeld Surface Analysis
3. Results and Discussion
3.1. Crystal Structure
3.2. CSD Review and Geometrical Analysis
3.3. Hirshfeld Surface Analysis
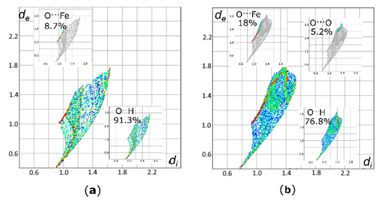
3.3.1. Hirshfeld Surface Analysis of Bridging Oxygen Atoms µ-OH′ and µ-OH″
3.3.2. Hirshfeld Surface Analysis for Intermolecular Contacts
4. Conclusions
Supplementary Materials
Author Contributions
Funding
Institutional Review Board Statement
Informed Consent Statement
Data Availability Statement
Acknowledgments
Conflicts of Interest
References
- Vittal, J.J. The chemistry of inorganic and organometallic compounds with adamantane-like structures. Polyhedron 1996, 15, 1585–1642. [Google Scholar] [CrossRef]
- Hanau, K.; Schwan, S.; Schäfer, M.R.; Müller, M.J.; Dues, C.; Rinn, N.; Sanna, S.; Chatterjee, S.; Mollenhauer, D.; Dehnen, S. Towards understanding the reactivity and optical properties of organosilicon sulfide clusters. Angew. Chem. Int. Ed. 2021, 133, 1196–1206. [Google Scholar] [CrossRef]
- Kluge, O.; Krautscheid, H. Trialkylphosphine-stabilized copper(I) gallium(III) phenylchalcogenolate complexes: Crystal structures and generation of ternary semiconductors by thermolysis. Inorg. Chem. 2012, 51, 6655–6666. [Google Scholar] [CrossRef]
- Drüeke, S.; Wieghardt, K.; Nuber, B.; Weiss, J.; Bominaar, E.L.; Sawaryn, A.; Winkler, H.; Trautwein, A.X. A new tetranucle-ar oxohydroxoiron (III) cluster: Crystal structure, magnetic properties, and EXAFS investigation of [L4Fe4(μ-O)2(μ-OH)4]I4∙3H2O (L=1,4,7,-triazacyclononane). Inorg. Chem. 1989, 28, 4477–4483. [Google Scholar] [CrossRef]
- Brimah, A.K.; Siebel, E.; Fischer, R.D.; Davies, N.A.; Apperley, D.C.; Harris, R.K. Towards organometallic zeolites: Spontane-ous self-assembly of Et3SnCN, CuCN and (nBu4N)CN to supramolecular [(nBu4N)(Et3Sn)2Cu(CN)4. J. Organomet. Chem. 1994, 475, 85–94. [Google Scholar] [CrossRef]
- Murch, B.P.; Bradley, F.C.; Boyle, P.D.; Papaefthymiou, V.; Que, L. Iron-oxo aggregates: Crystal structures and solution char-acterization of 2-hydroxy-1,3-xylylenediaminetetraacetic acid complexes. J. Am. Chem. Soc. 1987, 109, 7993–8003. [Google Scholar] [CrossRef]
- Murch, B.P.; Boyle, P.D.; Que, L. Structures of binuclear and tetranuclear iron(III) complexes as models for ferritin core for-mation. J. Am. Chem. Soc. 1985, 107, 6728–6729. [Google Scholar] [CrossRef]
- Guschlbauer, J.; Shaughnessy, K.H.; Pietrzak, A.; Chung, M.C.; Sponsler, M.B.; Kaszyński, P. [closo-B10H8-1,10-(CN)2]2− as a conduit of electronic effects: Comparative studies of Fe•••Fe communication in [{(η5-Cp)(dppe)Fe}2{μ2-(NC-X-CN)}]n+ (n = 0,2). Organometallics 2021, 40, 2504–2515. [Google Scholar] [CrossRef]
- Sandhu, S.S.; Sandhu, S.S. Complexes Of Ditertiary Phosphine And Arsine Oxides with Metal Ions-I. J. Inorg. Nucl. Chem. 1969, 31, 1363–1367. [Google Scholar] [CrossRef]
- Greenwood, N.N.; Tranter, J. Vibrational spectra of anhydrous scandium(III) chloride and bromide and their complexes. J. Chem. Soc. A 1969, 2878–2883. [Google Scholar] [CrossRef]
- Ducasse, L.; Dussauze, M.; Grondin, J.; Lassègues, J.-C.; Naudin, C.; Servant, L. Spectroscopic study of poly(ethylene oxide)6: LiX complexes (X = PF6, AsF6, SbF6, ClO4). Phys. Chem. Chem. Phys. 2003, 5, 567–574. [Google Scholar] [CrossRef]
- Sheldrick, G.M. SHELXT—Integrated space-group and cystal-structure determination. Acta Cryst. A 2015, 71, 3–8. [Google Scholar] [CrossRef] [PubMed] [Green Version]
- Dolomanov, O.V.; Bourhis, L.J.; Gildea, R.J.; Howard, J.A.K.; Puschmann, H. OLEX2: A complete structure solution, refinement and analysis program. J. Appl. Crystallogr. 2009, 42, 339–341. [Google Scholar] [CrossRef]
- Sheldrick, G.M. Crystal structure refinement with SHELXL. Acta Cryst. C 2015, 71, 3–8. [Google Scholar] [CrossRef]
- Spackman, M.A.; McKinnon, J.J. Fingerprinting intermolecular interactions in molecular crystals. CrystEngComm 2002, 4, 378–392. [Google Scholar] [CrossRef]
- McKinnon, J.J.; Spackman, M.A.; Mitchell, A.S. Novel tools for visualizing and exploring intermolecular interactions in molecular crystals. Acta Cryst. B 2004, 60, 627–668. [Google Scholar] [CrossRef]
- Spackman, M.A.; Jayatilaka, D. Hirshfeld surface analysis. CrystEngComm 2009, 11, 19–32. [Google Scholar] [CrossRef]
- Spackman, P.R.; Turner, M.J.; McKinnon, J.J.; Wolff, S.K.; Grimwood, D.J.; Jayatilaka, D.; Spackman, M.A. CrystalExplorer: A program for Hirshfeld surface analysis, visualization and quantitative analysis of molecular crystals. J. Appl. Crystallogr. 2021, 54, 1006–1011. [Google Scholar] [CrossRef] [PubMed]
- Jelsch, C.; Ejsmont, K.; Huder, L. The enrichment ratio of atomic contacts in crystals, an indicator derived from the Hirshfeld surface analysis. IUCrJ 2014, 1, 119–128. [Google Scholar] [CrossRef]
- Li, P.; Maier, J.M.; Vik, E.C.; Yehl, C.J.; Dial, B.E.; Rickher, A.E.; Smith, M.D.; Pellechia, P.J.; Shimizu, K.D. Stabilizing fluorine–π interactions. Angew. Chem. Int. Ed. 2017, 56, 7209–7212. [Google Scholar] [CrossRef]
- Groom, C.R.; Bruno, I.J.; Lightfoot, M.P.; Ward, S.C. The Cambridge structural database. Acta Cryst. B 2016, 72, 171–179. [Google Scholar] [CrossRef] [PubMed]
- Zipse, D.; Abboud, K.A.; Dalal, N.S. An Fe4 cluster with a slowly relaxing paramagnetic exxcited state: [Fe4O(OH)5(tacn)4]I7·2.5 H2O. J. Appl. Phys. 2003, 93, 7086–7088. [Google Scholar] [CrossRef]
- Jin, M.; Kim, Y.; Jung, D.; Heu, M.S.; Yoon, S.; Suh, B. Crystal Packing of Two Different Tetranuclear Iron(III) Clusters, [(tacn)4Fe4O2(OH)4]2·8Br·9H2O (tacn = 1,4,7-triazacyclononane). Bull. Korean Chem. Soc. 2005, 26, 253–259. [Google Scholar] [CrossRef] [Green Version]
- Fan, L.; Zhang, X.; Sun, Z.; Zhang, W.; Li, D.; Wei, P.; Li, B.; Dou, J. Exploratory syntheses, crystal structures, and properties of two new 3-D coordination polymers of Mn(II) and Fe(II) with (54.62) (510.63.7.8) topological spaces. J. Coord. Chem. 2012, 65, 4389–4396. [Google Scholar] [CrossRef]
- Lee, J.H.; Lee, S.W. Oxidation of trans-[FeH(N CS(Me)-S)(dppe)2]I to trans-[Fe(NCS)2(Ph2P(O)CH2CH2P(O)Ph2)2][I3] (dppe = PPh2CH2CH2PPh2). J. Korean Chem. Soc. 2000, 44, 311–315. [Google Scholar]
- Orpen, A.G.; Brammer, L.; Allen, F.H.; Watson, D.G.; Taylor, R. Typical interatomic distances: Organometallic compounds and coordination Complexes of the d- and f-block metals. In International Tables for Crystallography, 3rd ed.; Prince, E., Ed.; Kluwer Academic Publishers: Dordrecht, the Netherlands, 2004; Volume C, pp. 812–896. [Google Scholar]
- Pinto, C.B.; Dos Santos, L.H.R.; Rodrigues, B.L. Understanding metal–ligand interactions in coordination polymers using Hirshfeld surface analysis. Acta Crystallogr. Sect. C Struct. Chem. 2019, 75, 707–716. [Google Scholar] [CrossRef] [PubMed]
- Abendrot, M.; Chęcińska, L.; Kusz, J.; Lisowska, K.; Zawadzka, K.; Felczak, A.; Kalinowska-Lis, U. Zinc(II) Complexes with Amino Acids for Potential Use in Dermatology: Synthesis, Crystal Structures, and Antibacterial Activity. Molecules 2020, 25, 951. [Google Scholar] [CrossRef] [Green Version]
- Czylkowska, A.; Pietrzak, A.; Szczesio, M.; Rogalewicz, B.; Wojciechowski, J. Crystal structures, Hirshfeld Surfaces and thermal study of isostructural polymeric ladders of La(III) and Sm(III) Coordinatio compounds with 4,4’-Bipyridine and Di-bromoactetes. Materials 2020, 13, 4274. [Google Scholar] [CrossRef]
- Gacki, M.; Kafarska, K.; Pietrzak, A.; Szczesio, M.; Korona-Głowniak, I.; Wolf, W.M. Transition Metal Complexes with Flufenamic Acid for Pharmaceutical Applications—A Novel Three-Centered Coordination Polymer of Mn(II) Flufenamate. Materials 2020, 13, 3705. [Google Scholar] [CrossRef] [PubMed]
- Kumar, M.; Sheikh, H.N.; Fraconetti, A.; Zaręba, J.K.; Sahoo, S.C.; Frontera, A. 2,5-Furandicarboxylic acid as a linker for lanthanide coordination polymers: The role of heteroaromatic π–π stacking and hydrogen bonding. New J. Chem. 2019, 43, 2179–2195. [Google Scholar] [CrossRef]








| Structure I (CCDC 2109754) | |
|---|---|
| Formula | C120H142Cl4F12Fe4O18P10 |
| Dcalc./ g cm−3 | 1.411 |
| m/mm−1 | 6.063 |
| Formula Weight | 2775.23 |
| Colour | orange |
| Size/mm | 0.41 × 0.27 × 0.17 |
| T/K | 278(2) |
| Crystal System | Cubic |
| Flack Parameter | −0.007(4) |
| Space Group | I-43d |
| a = b = c/Å | 33.9715(3) |
| α = β = γ/˚ | 90 |
| V/ Å3 | 39,205.2(10) |
| Z/Z’ | 12/0.25 |
| Wavelength/ Å | 1.54184 |
| Radiation type | Cu Ka |
| θmin/° | 3.680 |
| θmax/° | 78.756 |
| Measured Refl’s. | 33,119 |
| Independent Refl’s. | 5926 |
| Refl’s I ≥ 2 σ(I) | 4837 |
| Rint | 0.042 |
| Parameters | 421 |
| Largest Peak | 0.34 |
| Deepest Hole | −0.24 |
| GooF | 1.035 |
| wR2(all data) | 0.1624 |
| wR2 | 0.1514 |
| R1 (all data) | 0.0680 |
| R1 | 0.0554 |
| C-H…O Interactions | C—H/Å | H…A/Å | H…A/Å | D—H…A/˚ |
| C2—H2…O4 | 0.93 | 2.48 | 2.907 (15) | 108 |
| C26—H26a…O4 i | 0.93 | 2.14 | 2.962(15) | 147 |
| C-H…π Interactions | C—H/Å | H…Cg/Å | C…Cg/Å | C-H…Cg/˚ |
| C16—H16a…Cg1 | 0.93 | 2.87 | 3.62 (1) | 139 |
| C15—H15b…Cg8 ii | 0.93 | 2.83 | 3.79(2) | 173 |
| C-H…F Interactions | C—H/Å | H…A/Å | H…A/Å | D—H…A/˚ |
| C17—H17b…F2 | 0.97 | 2.46 | 3.30(1) | 145 |
| C6—H6…F3 i | 0.93 | 2.63 | 2.23(1) | 124 |
| F…π Interaction | - | F…Cg/Å | F…Plane/Å | - |
| F3…Cg3 | - | 4.057 | 3.165 | - |
| Parameter | I | EYAVIJ | JAZZUF | YAXZON |
|---|---|---|---|---|
| Bond length/Å | ||||
| Fe-OOH | 1.961/1.951/1.983 | 1.986/1.950/2.030 | 1.996/1.974/2.019 | 1.996/1.939/2.033 |
| Fe-Ooxo | - | 1.826/*/* | 1.816/1.816/1.820 | 1.806/1.804/1.815 |
| Angle/° | ||||
| Fe-OOH-Fe | 145.0/144.5/146.3 | 128.6/126.8/129.4 | 124.5/123.7/125.4 | 124.2/121.1/126.6 |
| Fe-Ooxo-Fe | - | 137.5/*/* | 132.6/132.5/132.7 | 132.3/131.4/133.1 |
| OOH-Fe-OOH | 86.7/85.3/88.5 | 95.73/89.3/101.9 | 95.9/93.9/97.6 | 96.5/92.4/101.5 |
| Ooxo-Fe-Ooxo | - | - | - | - |
| Distance/Å | ||||
| FeOH…FeOH | 3.744/3.737/3.747 | 3.582/3.537/3.624 | 3.534/3.509/3.564 | 3.542/3.521/3.555 |
| FeO…FeO | - | 3.403/*/* | 3.325/3.323/3.328 | 3.331/3.294/3.366 |
Publisher’s Note: MDPI stays neutral with regard to jurisdictional claims in published maps and institutional affiliations. |
© 2021 by the authors. Licensee MDPI, Basel, Switzerland. This article is an open access article distributed under the terms and conditions of the Creative Commons Attribution (CC BY) license (https://creativecommons.org/licenses/by/4.0/).
Share and Cite
Pietrzak, A.; Guschlbauer, J.; Kaszyński, P. Structure of a Fe4O6-Heteraadamantane-Type Hexacation Stabilized by Chelating Organophosphine Oxide Ligands. Materials 2021, 14, 6840. https://doi.org/10.3390/ma14226840
Pietrzak A, Guschlbauer J, Kaszyński P. Structure of a Fe4O6-Heteraadamantane-Type Hexacation Stabilized by Chelating Organophosphine Oxide Ligands. Materials. 2021; 14(22):6840. https://doi.org/10.3390/ma14226840
Chicago/Turabian StylePietrzak, Anna, Jannick Guschlbauer, and Piotr Kaszyński. 2021. "Structure of a Fe4O6-Heteraadamantane-Type Hexacation Stabilized by Chelating Organophosphine Oxide Ligands" Materials 14, no. 22: 6840. https://doi.org/10.3390/ma14226840
APA StylePietrzak, A., Guschlbauer, J., & Kaszyński, P. (2021). Structure of a Fe4O6-Heteraadamantane-Type Hexacation Stabilized by Chelating Organophosphine Oxide Ligands. Materials, 14(22), 6840. https://doi.org/10.3390/ma14226840

