Mineral Materials as a Neutralizing Agent Used on Soil Contaminated with Copper
Abstract
:1. Introduction
2. Materials and Methods
2.1. Experimental Design
2.2. Analytical Methods
2.2.1. Soil Analysis
2.2.2. Plant Analysis
2.2.3. Experimental Data Analysis
3. Results and Discussion
3.1. Leaf Greenness—SPAD Index
3.2. Plant Yield and Dry Matter Content
3.3. Chemical Composition of Plants
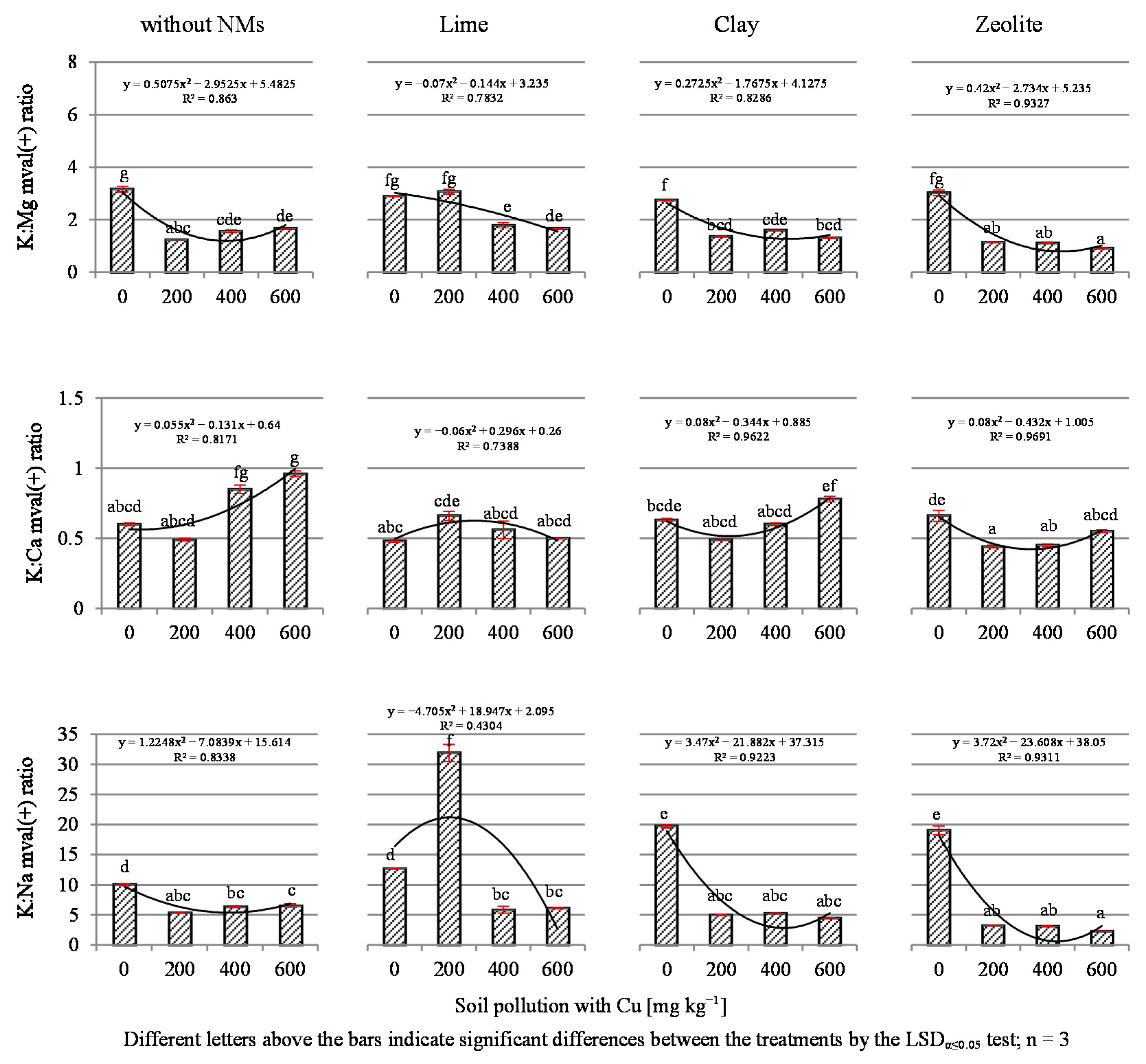
3.4. Ion Balance
4. Conclusions
Author Contributions
Funding
Institutional Review Board Statement
Informed Consent Statement
Data Availability Statement
Conflicts of Interest
References
- Hercer, M.; Wyszkowski, M.; Modrzewska, B. Impact of traffic on the content of trace elements in soils along State Road 53 (Poland). Fresenius Environ. Bull. 2016, 25, 719–731. [Google Scholar]
- Plyatsuk, L.D.; Chernysh, Y.Y.; Ablieieva, I.Y.; Yakhnenko, O.M.; Bataltsev, E.V.; Balintova, M.; Hurets, L.L. Remediation of soil contaminated with heavy metals. J. Eng. Sci. 2019, 6, H1–H8. [Google Scholar] [CrossRef] [Green Version]
- Wyszkowski, M. Soil contamination with copper and its effect on selected soil properties after applying neutralizing substances. Pol. J. Environ. Stud. 2019, 28, 2465–2471. [Google Scholar] [CrossRef]
- Bowszys, T.; Wierzbowska, J.; Bowszys, J. Content and removal of Cu and Zn with harvested crops grown on soil fertilized with composted municipal sewage sludge. J. Elem. 2009, 14, 23–32. [Google Scholar] [CrossRef]
- Wołoszyk, C.; Iżewska, A.; Krzywy-Gawrońska, E. Content, uptake and utilization by plants of copper, manganese and zinc from municipal sewage sludge and wheat straw. J. Elem. 2009, 14, 593–604. [Google Scholar] [CrossRef]
- Elbagermi, M.A.; Edwards, H.G.M.; Alajtal, A.I. Monitoring of heavy metals content in soil collected from city centre and industrial areas of Misurata, Libya. Int. J. Anal. Chem. 2013, 2013, 312581. [Google Scholar] [CrossRef] [Green Version]
- Żołnowski, A.; Busse, M.; Zając, P. Response of maize (Zea mays L.) to soil contamination with copper depending on applied contamination neutralizing substances. J. Elem. 2013, 18, 507–520. [Google Scholar] [CrossRef]
- Su, C.; Jiang, L.Q.; Zhang, W.J. A review on heavy metal contamination in the soil worldwide: Situation, impact and remediation techniques. Environ. Skep. Crit. 2014, 3, 24–38. [Google Scholar]
- Pidlisnyuk, V.; Shapoval, P.; Zgorelec, Ž.; Stefanovska, T.; Zhukov, O. Multiyear phytoremediation and dynamic of foliar metal(loid)s concentration during application of Miscanthus × giganteus Greef et Deu to polluted soil from Bakar, Croatia. Environ. Sci. Pollut. Res. 2020, 27, 31446–31457. [Google Scholar] [CrossRef]
- Rolka, E.; Żołnowski, A.C.; Kozłowska, K.A. Assessment of the content of trace elements in soils and roadside vegetation in the vicinity of some gasoline stations in Olsztyn (Poland). J. Elem. 2020, 25, 549–563. [Google Scholar]
- Rolka, E.; Żołnowski, A.C.; Sadowska, M.M. Assessment of heavy metal content in soils adjacent to the DK16-route in Olsztyn (North-Eastern Poland). Pol. J. Environ. Stud. 2020, 29, 4303–4311. [Google Scholar] [CrossRef]
- Alengebawy, A.; Abdelkhalek, S.T.; Qureshi, S.R.; Wang, M.Q. Heavy metals and pesticides toxicity in agricultural soil and plants: Ecological risks and human health implications. Toxics 2021, 9, 42. [Google Scholar] [CrossRef] [PubMed]
- Panagos, P.; Van Liedekerke, M.; Yigini, Y.; Montanarella, L. Contaminated sites in Europe: Review of the current situation based on data collected through a european network. J. Environ. Public Health 2013, 2013, 158764. [Google Scholar] [CrossRef]
- Borowik, A.; Wyszkowska, J.; Kucharski, J.; Baćmaga, M.; Boros-Lajszner, E.; Tomkiel, M. Sensitivity of soil enzymes to excessive zinc concentrations. J. Elem. 2014, 19, 637–648. [Google Scholar] [CrossRef]
- Dopierała, U. Effect of copper and temperature on the growth and chlorophyll content of scentless mayweed (Tripleurospermum indorum (L.) Schultz-Bip.) Originated from vicinity of Glogow copper smelter. Ecol. Chem. Eng. A. 2009, 16, 739–743. [Google Scholar]
- Zwolak, A.; Sarzyńska, M.; Szpyrka, E.; Stawarczyk, K. Sources of soil pollution by heavy metals and their accumulation in vegetables: A review. Water Air Soil Pollut. 2019, 230, 164. [Google Scholar] [CrossRef] [Green Version]
- Kabata-Pendias, A. Trace Elements in Soils and Plants, 4th ed.; CRC Press Taylor & Francis Group: Boca Raton, FL, USA, 2011; p. 505. [Google Scholar]
- Kostecki, J.; Greinert, A.; Drab, M.; Wasylewicz, R.; Walczak, B. Chemical soil degradation in the area of the Głogów Copper Smelter Protective Forest. Civil Environ. Eng. Rep. 2015, 17, 61–71. [Google Scholar] [CrossRef] [Green Version]
- Narendrula, R.; Nkongolo, K.K.; Beckett, P. Comparative soil metal analyses in Sudbury (Ontario, Canada) and Lubumbashi (Katanga, DR-Congo). Bull. Environ. Contam. Toxicol. 2012, 88, 187–192. [Google Scholar] [CrossRef]
- Adress, M.; Ali, S.; Rizwan, M.; Ibrahim, M.; Abbas, F.; Farid, M.; Zia-ur-Rehman, M.; Irshad, M.K.; Bharwana, S.A. The effect of excess copper on growth and physiology of important food crops: A review. Environ. Sci. Pollut. Res. 2015, 22, 8148–8162. [Google Scholar] [CrossRef]
- Komarek, M.; Cadkova, E.; Chrastny, V.; Bordas, F.; Bollinger, J.C. Contamination of vineyard soils with fungicides: A review of environmental and toxicological aspects. Environ. Int. 2010, 36, 138–151. [Google Scholar] [CrossRef] [PubMed]
- Nazish, H.K.; Mohammad, N.; Farooq, A. Study of copper level in soil of selected orchard and non-orchard fields. Agri. Res. Tech. 2017, 9, 555764. [Google Scholar]
- Komarek, M.; Vanek, A.; Chrastny, V.; Szakova, J.; Kubova, K.; Drahota, P.; Balik, P. Retention of copper originating from different fungicides in contrasting soil types. J. Hazard. Mater. 2009, 166, 1395–1402. [Google Scholar] [CrossRef] [PubMed]
- Avramidis, P.; Barouchas, P.; Dünwald, T.; Unkel, I.; Panagiotaras, D. The influence of olive orchards copper-based fungicide use, in soils and sediments—The case of Aetoliko (Etoliko) Lagoon Western Greece. Geosciences 2019, 9, 267. [Google Scholar] [CrossRef] [Green Version]
- Li, W.; Zhang, M.; Shu, H. Distribution and fractionation of copper in soils of apple orchards. Environ. Sci. Pollut. Res. 2005, 12, 168–172. [Google Scholar] [CrossRef] [PubMed]
- Antoniadis, V.; Tsadilas, C.D.; Ashworth, D.J. Monometal and competitive adsorption of heavy metals by sewage sludge-amended soil. Chemosphere 2007, 68, 489–494. [Google Scholar] [CrossRef] [PubMed]
- Rolka, E.; Wyszkowski, M. Availability of trace elements in soil with simulated cadmium, lead and zinc pollution. Minerals 2021, 11, 879. [Google Scholar] [CrossRef]
- Wyszkowski, M.; Brodowska, M.S. Phytoextraction with maize of soil contaminated with copper after application of mineral and organic amendments. Agronomy 2020, 10, 1597. [Google Scholar] [CrossRef]
- Inazumi, S.; Shishido, K.I.; Nontananandh, S.; Moriiwa, K. Remediation of heavy metals polluted soil using metal insolubilizing materials. J. Environ. Prot. 2018, 9, 770–789. [Google Scholar] [CrossRef] [Green Version]
- Nwachukwu, O.I.; Pulford, I.D. Comparative effectiveness of selected adsorbant materials as potential amendments for the remediation of lead-, copper- and zinc-contaminated soil. Soil Use Manag. 2008, 24, 199–207. [Google Scholar] [CrossRef]
- Żołnowski, A.C.; Ciećko, Z.; Najmowicz, T. Arsenic content in and uptake by plants from arsenic-contaminated soil. In Application of Phytotechnologies for Cleanup of Industrial, Agricultural, and Wastewater Contamination; Kulakow, P.A., Pidlisnyuk, V.V., Eds.; NATO Science for Peace and Security Series C: Environmental Security; Springer: Dordrecht, The Netherlands, 2010; pp. 135–145. [Google Scholar]
- Karczewska, A.; Kabała, C. The soils polluted with heavy metals and arsenic in Lower Silesia—The need and methods of reclamation. Zesz. Nauk. UP Wroc. 2010, 576, 59–80. (In Polish) [Google Scholar]
- Singh, S.; Parihar, P.; Singh, R.; Singh, V.P.; Prasad, S.M. Heavy metal tolerance in plants: Role of transcriptomics, proteomics, metabolomics, and ionomics. Front. Plant. Sci. 2016, 6, 1143. [Google Scholar] [CrossRef] [Green Version]
- Gao, X.; Hao, X.; Marchbank, D.H.; Beck, R.; Willms, W.D.; Zhao, M. Responses of herbage P, Ca, K and Mg content and Ca/P and K/(Ca+Mg) ratios to long-term continuous and discontinued cattle grazing on a rough fescue grassland. Grass Forage Sci. 2016, 72, 581–589. [Google Scholar] [CrossRef]
- Kumar, K.; Soni, A. Elemental ratio and their importance in feed and fodder. Int. J. Pure App. Biosci. 2014, 2, 154–160. [Google Scholar]
- Grzegorczyk, S.; Alberski, J.; Olszewska, M. Accumulation of potassium, calcium and magnesium by selected species of grassland legumes and herbs. J. Elem. 2013, 18, 69–78. [Google Scholar] [CrossRef]
- IUSS Working Group WRB. World Reference Base for Soil Resources 2014; World Soil Resources Report; International Soil Classification System for Naming Soils and Creating Legends for Soil Maps. World Soil Resources Reports No. 106; FAO: Rome, Italy, 2015; Available online: https://www.fao.org/3/i3794en/I3794en.pdf (accessed on 18 August 2021).
- Ostrowska, A.; Gawliński, S.; Szczubiałka, Z. Methods of Analysis and Assessment of Soil and Plants Properties; IOŚ: Warszawa, Poland, 1991; p. 331. [Google Scholar]
- Ciećko, Z.; Mierzejewska, A.; Żołnowski, A.C.; Szostek, R. Influence of foliar nitrogen and magnesium fertilization on concentration of ash macronutrients in potato tubers. Ecol. Chem. Eng. A 2012, 19, 677–688. [Google Scholar]
- Statistica, version 13; Data Analysis Software System; Tibco Software Inc.: Palo Alto, CA, USA, 2021. Available online: http://statistica.io (accessed on 18 August 2021).
- Microsoft 2021; Microsoft® Excel® for Microsoft 365 MSO. Microsoft Corp.: Albuquerque, NM, USA, 2021. Available online: http://www.microsoft.com (accessed on 18 August 2021).
- Cerovic, Z.G.; Masdoumier, G.; Ghozlen, N.B.; Latouche, G. A new optical leaf-clip meter for simultaneousnon-destructive assessment of leaf chlorophylland epidermal flavonoids. Physiol. Plant. 2012, 146, 251–260. [Google Scholar] [CrossRef] [PubMed]
- Gabriel, J.L.; Quemada, M.; Alonso-Ayuso, M.; Lizaso, J.I.; Martín-Lammerding, D. Predicting N status in maize with clip sensors: Choosing sensor, leaf sampling point, and timing. Sensors 2019, 19, 3881. [Google Scholar] [CrossRef] [Green Version]
- Zhang, K.; Liu, X.; Ma, Y.; Zhang, R.; Cao, Q.; Zhu, Y.; Cao, W.; Tian, Y. A comparative assessment of measures of leaf nitrogen in rice using two leaf-clip meters. Sensors 2020, 20, 175. [Google Scholar] [CrossRef] [Green Version]
- Feil, S.B.; Pii, Y.; Valentinuzzi, F.; Tiziani, R.; Mimmo, T.; Cesco, C. Copper toxicity affects phosphorus uptake mechanisms at molecular and physiological levels in Cucumis sativus plants. Plant. Physiol. Biochem. 2020, 157, 138–147. [Google Scholar] [CrossRef]
- Pichnode, M.; Nikhil, M. Effect of copper dust on photosynthesis pigments concentration in plants species. Int. J. Eng. Res. Manag. 2015, 2, 63–66. [Google Scholar]
- Asati, A.; Pichnode, M.; Nikhil, M. Effect of Heavy Metals on Plants: An Overview. Int. J. Appl. Innov. Eng. Manag. 2016, 5, 56–66. [Google Scholar]
- Pishchik, V.N.; Vorob’ev, N.I.; Provorovb, N.A.; Khomyakov, Y.V. Mechanisms of plant and microbial adaptation to heavy metals in plant-microbial systems. Microbiology 2016, 85, 257–271. [Google Scholar] [CrossRef]
- Xu, J.K.; Yang, L.X.; Wang, Z.Q.; Dong, G.C.; Huang, J.Y.; Wang, Y.L. Effects of soil copper concentration on growth, development and yield formation of rice (Oryza sativa). Rice Sci. 2005, 12, 125–132. [Google Scholar]
- Derakhshan Nejad, Z.; Myung, N.; Jung, C.; Kim, K.H. Remediation of soils contaminated with heavy metals with an emphasis on immobilization technology. Environ. Geochem. Health 2018, 40, 927–953. [Google Scholar] [CrossRef]
- Szatanik-Kloc, A. Changes in surface properties of plant roots determined by aluminium and copper phytotoxicity. Acta Agroph. 2010, 176, 122. [Google Scholar]
- Korzeniowska, J.; Stanisławska-Glubiak, E. Phytoremediation potential of Phalaris arundinacea, Salix viminalisand, Zea mays for nickel-contaminated soils. Int. J. Environ. Sci. Tech. 2019, 16, 1999–2008. [Google Scholar] [CrossRef] [Green Version]
- Pedersen, M.B.; Kjær, C.; Elmegaard, N. Toxicity and bioaccumulation of copper to black bindweed (Fallopia convolvulus) in relation to bioavailability and the age of soil contamination. Arch. Environ. Contamin. Toxicol. 2000, 39, 431–439. [Google Scholar] [CrossRef] [PubMed] [Green Version]
- Amin, H.; Arain, B.A.; Jahangir, T.M.; Abbasi, A.R.; Mangi, J.; Abbasi, M.S.; Amin, F. Copper (Cu) tolerance and accumulation potential in four native plant species: A comparative study for effective phytoextraction technique. Geol. Ecol. Landsc. 2021, 5, 53–64. [Google Scholar] [CrossRef] [Green Version]
- Meychik, N.; Nikolaeva, Y.; Kushunina, M. The role of the cell walls in Ni binding by plant roots. J. Plant. Physiol. 2019, 234–235, 28–35. [Google Scholar] [CrossRef] [PubMed]
- Zhou, X.; Huang, G.; Liang, D.; Liu, Y.; Yao, S.; Ali, U.; Hu, H. Influence of nitrogen forms and application rates on the phytoextraction of copper by castor bean (Ricinus communis L.). Environ. Sci. Pollut. Res. 2020, 27, 647–656. [Google Scholar] [CrossRef]
- Rascio, N.; Navari-Izzo, F. Heavy metal hyperaccumulating plants: How and why do they do it? And what makes them so interesting? Plant. Sci. 2011, 180, 169–181. [Google Scholar] [CrossRef]
- Van Der Ent, A.; Baker, A.J.M.; Reeves, R.D.; Pollard, A.J.; Schat, H. Hyperaccumulators of metal and metalloid trace elements: Facts and fiction. Plant. Soil 2012, 362, 319–334. [Google Scholar] [CrossRef]
- Kuziemska, B.; Kalembasa, S.; Jakubicka, M. Effect of application of lime and sewage sludge addition on the content of iron, copper and zinc in Dactylis glomerata L. cultivated on nickel contaminated soil. J. Ecol. Eng. 2011, 27, 92–99. [Google Scholar]
- Farzadfar, S.; Zarinkamar, F.; Modarres-Sanavy, S.A.M.; Hojati, M. Exogenously applied calcium alleviates cadmium toxicity in Matricaria chamomilla L. Plants. Environ. Sci. Pollut. Res. 2013, 20, 1413–1422. [Google Scholar] [CrossRef] [PubMed]
- Antoniadis, V.; Damalidis, K. Copper availability in an acidic and limed zeolite-amended soil. Commun. Soil Sci. Plant. Anal. 2014, 45, 881–886. [Google Scholar] [CrossRef]
- Rietra, R.P.J.J.; Heinen, M.; Dimkpa, C.O.; Bindraban, P.S. Effects of nutrient antagonism and synergism on yield and fertilizer use efficiency. Commun. Soil Sci. Plant. Anal. 2017, 48, 1895–1920. [Google Scholar] [CrossRef] [Green Version]
- Kuziemska, B.; Trębicka, J.; Wysokiński, A. Uptake and utilization of nitrogen from organic fertilizers influenced by different doses of copper. Agronomy 2021, 11, 1219. [Google Scholar] [CrossRef]
- Snowball, K.; Robson, A.D.; Loneragan, J.F. The effect of copper on nitrogen fixation in subterranean clover (Trifolium subterraneum). New Phytol. 1980, 85, 63–72. [Google Scholar] [CrossRef] [Green Version]
- Alhasany, A.; Noaema, A.H.; Alhmadi, H.B. The role of spraying copper and zinc on the growth and yield of Vicia faba L. IOP Conf. Ser. Mater. Sci. Eng. 2019, 571, 012048. [Google Scholar] [CrossRef] [Green Version]
- Meller, E.; Jarnuszewski, G. Chemical composition of plants grown on post-bog soils fertilised with zinc and copper. Zesz. Nauk. UZ Inż. Środ. 2015, 159, 45–53. (In Polish) [Google Scholar]
- Alaouis-Sosse, B.; Genet, P.; Vinit-Dunand, F.; Toussaint, M.; Epron, D.; Badot, P. Effect of copper on growth in cucumber plants (Cucumis sativus) and its relationships with carbohydrate accumulation and changes in ion contents. Plant. Sci. 2004, 166, 1213–1218. [Google Scholar] [CrossRef]
- Grzegorczyk, S.; Grabowski, K. The K:(Ca+Mg) Ratio in meadow sward irrigated with wastewater. J. Elem. 2019, 4, 953–959. [Google Scholar] [CrossRef]
- Grzegorczyk, S.; Alberski, J.; Olszewska, M.; Grabowski, K.; Bałuch-Małecka, A. Content of calcium and phosphorus and the Ca:P ratio is selected species of leguminous and herbaceous plants. J. Elem. 2017, 22, 663–669. [Google Scholar] [CrossRef]
- Jarnuszewski, G.; Meller, E. Mineral element ratios in plants grown on post-bog soils fertilised with zinc and copper. Folia Pomer. Univ. Technol. Stetin. Agric. Aliment. Pisc. Zootech. 2013, 304, 25–32. (In Polish) [Google Scholar]






| Soil Type | pH KCl | pH H2O | HAC [cmol kg−1] | TEB [cmol kg−1] | CEC [cmol kg−1] | BS [%] | Salinity [μS cm−1] | Ntot [g kg−1] | TOC [g kg−1] | C:N ratio | Cu [mg kg−1] |
|---|---|---|---|---|---|---|---|---|---|---|---|
| Cambisols—Brown Soil 1 | 6.44 | 7.07 | 2.46 | 6.57 | 9.03 | 72.75 | 0.89 | 0.58 | 4.79 | 8.26 | 18.21 |
| Soil Pollution with Cu (mg kg−1) | Without NMs | Neutralizing Materials | Mean | |||||||
|---|---|---|---|---|---|---|---|---|---|---|
| Lime | Clay | Zeolite | ||||||||
| Copper content (mg Cu kg−1 DM) | ||||||||||
| 0 | 76.97 ± 15.95 | b | 16.48 ± 4.17 | a | 22.02 ± 4.70 | a | 74.54 ± 2.12 | b | 47.50 ± 9.25 | A |
| 200 | 371.18 ± 12.72 | ef | 222.05 ± 6.66 | c | 356.40 ± 0.00 | de | 424.22 ± 5.28 | f | 343.46 ± 21.84 | C |
| 400 | 398.18 ± 4.66 | ef | 244.59 ± 13.97 | c | 379.69 ± 1.74 | ef | 383.38 ± 3.48 | ef | 351.46 ± 18.32 | C |
| 600 | 310.29 ± 7.97 | d | 217.41 ± 12.20 | c | 346.67 ± 8.04 | de | 368.65 ± 5.78 | ef | 310.76 ± 17.25 | B |
| Mean: | 289.15 ± 36.97 | BC | 175.13 ± 27.08 | A | 276.19 ± 45.57 | B | 312.70 ± 40.19 | C | 263.29 | |
| r | 0.63 | ns | 0.74 | * | 0.76 | * | 0.68 | ns | - | |
| LSD α ≤ 0.05 for increasing Cu soil pollution = 26.08; for amendments = 26.08; for interaction = 52.15 | ||||||||||
| Soil Pollution with Cu (mg kg−1) | Without NMs | Neutralizing Materials | Mean | |||||||
|---|---|---|---|---|---|---|---|---|---|---|
| Lime | Clay | Zeolite | ||||||||
| Ntot (g kg−1 DM) | ||||||||||
| 0 | 9.88 ± 0.46 | a | 13.30 ± 0.07 | b | 21.70 ± 0.07 | d | 21.84 ± 0.13 | d | 16.68 ± 1.51 | A |
| 200 | 28.56 ± 0.00 | e | 19.46 ± 0.07 | c | 36.40 ± 0.13 | g | 39.48 ± 0.26 | ij | 30.98 ± 2.24 | B |
| 400 | 36.26 ± 0.07 | g | 32.62 ± 0.07 | f | 42.28 ± 0.66 | l | 41.30 ± 0.07 | kl | 38.12 ± 1.14 | D |
| 600 | 37.38 ± 0.07 | gh | 32.76 ± 0.00 | f | 40.32 ± 0.13 | jk | 38.78 ± 0.20 | hi | 37.31 ± 0.82 | C |
| Mean: | 28.02 ± 3.18 | B | 24.54 ± 2.44 | A | 35.18 ± 2.33 | C | 35.35 ± 2.27 | C | 30.77 | |
| r | 0.92 | ** | 0.95 | ** | 0.85 | ** | 0.75 | * | - | |
| LSDα≤0.05 for increasing Cu soil pollution = 0.73; for NMs = 0.73; for interaction = 1.46 | ||||||||||
| P (g kg−1 DM) | ||||||||||
| 0 | 3.89 ± 0.04 | 5.93 ± 1.07 | 4.10 ± 0.04 | 3.95 ± 0.01 | 4.47 ± 0.36 | B | ||||
| 200 | 3.01 ± 0.08 | 4.02 ± 0.02 | 3.22 ± 0.00 | 3.09 ± 0.02 | 3.34 ± 0.12 | B | ||||
| 400 | 2.38 ± 0.01 | 2.62 ± 0.10 | 3.05 ± 0.00 | 2.80 ± 0.00 | 2.71 ± 0.07 | AB | ||||
| 600 | 2.15 ± 0.03 | 2.01 ± 0.01 | 2.06 ± 0.00 | 2.32 ± 0.02 | 2.14 ± 0.04 | A | ||||
| Mean: | 2.86 ± 0.20 | 3.64 ± 0.51 | 3.11 ± 0.21 | 3.04 ± 0.17 | 3.16 ± 0.04 | |||||
| r | −0.96 | ** | −0.78 | * | −0.97 | ** | −0.97 | ** | ||
| LSDα≤0.05 for increasing Cu soil pollution = 0.86; for NMs = ns; for interaction = ns | ||||||||||
| K (g kg−1 DM) | ||||||||||
| 0 | 17.14 ± 0.12 | ab | 14.41 ± 0.23 | a | 15.88 ± 0.24 | ab | 17.70 ± 0.86 | ab | 16.28 ± 0.43 | A |
| 200 | 22.91 ± 0.28 | bc | 20.98 ± 1.19 | abc | 24.09 ± 0.00 | bc | 23.51 ± 0.56 | bc | 22.87 ± 0.48 | B |
| 400 | 42.25 ± 1.27 | f | 34.56 ± 3.79 | de | 28.11 ± 0.15 | cd | 21.20 ± 0.53 | abc | 31.53 ± 2.46 | C |
| 600 | 36.29 ± 1.18 | ef | 28.75 ± 0.15 | cde | 28.76 ± 0.46 | cde | 22.33 ± 0.00 | abc | 29.03 ± 1.46 | C |
| Mean: | 29.65 ± 2.94 | B | 24.68 ± 2.42 | A | 24.21 ± 1.49 | A | 21.19 ± 0.69 | A | 24.93 | |
| r | 0.84 | ** | 0.73 | * | 0.92 | ** | 0.52 | ns | - | |
| LSDα≤0.05 for increasing Cu soil pollution = 3.60; for NMs = 3.60; for interaction = 7.21 | ||||||||||
| Soil Pollution with Cu (mg kg−1) | Without NMs | Neutralizing Materials | Mean | |||||||
|---|---|---|---|---|---|---|---|---|---|---|
| Lime | Clay | Zeolite | ||||||||
| Ca (g kg−1 DM) | ||||||||||
| 0 | 14.76 ± 0.18 | bc | 15.34 ± 0.06 | c | 12.98 ± 0.04 | a | 13.79 ± 0.26 | ab | 14.22 ± 0.27 | A |
| 200 | 23.82 ± 0.01 | g | 16.36 ± 0.12 | d | 25.43 ± 0.21 | h | 27.51 ± 0.17 | i | 23.28 ± 1.22 | C |
| 400 | 25.51 ± 0.16 | h | 31.39 ± 0.04 | k | 24.14 ± 0.17 | g | 24.05 ± 0.09 | g | 26.27 ± 0.87 | D |
| 600 | 19.36 ± 0.23 | e | 29.19 ± 0.07 | j | 18.97 ± 0.14 | e | 20.68 ± 0.22 | f | 22.05 ± 1.21 | B |
| Mean: | 20.86 ± 1.21 | A | 23.07 ± 2.10 | C | 20.38 ± 1.42 | A | 21.51 ± 1.47 | B | 21.46 | |
| r | 0.41 | ns | 0.87 | ** | 0.38 | ns | 0.38 | ns | - | |
| LSDα≤0.05 for increasing Cu soil pollution = 0.49; for amendments = 0.49; for interaction = 0.99 | ||||||||||
| Mg (g kg−1 DM) | ||||||||||
| 0 | 1.70 ± 0.05 | a | 1.55 ± 0.03 | a | 1.80 ± 0.01 | a | 1.82 ± 0.02 | a | 1.72 ± 0.03 | A |
| 200 | 5.74 ± 0.05 | bc | 2.12 ± 0.06 | a | 5.50 ± 0.03 | b | 6.33 ± 0.08 | cd | 4.92 ± 0.48 | B |
| 400 | 8.39 ± 0.02 | f | 5.95 ± 0.32 | bc | 5.46 ± 0.02 | b | 5.96 ± 0.03 | bc | 6.44 ± 0.34 | C |
| 600 | 6.75 ± 0.22 | d | 5.34 ± 0.02 | b | 6.83 ± 0.00 | d | 7.52 ± 0.07 | e | 6.61 ± 0.24 | C |
| Mean: | 5.64 ± 0.72 | C | 3.74 ± 0.56 | A | 4.90 ± 0.54 | B | 5.41 ± 0.62 | C | 4.92 | |
| r | 0.80 | * | 0.87 | ** | 0.90 | ** | 0.87 | ** | - | |
| LSDα≤0.05 for increasing Cu soil pollution = 0.33; for amendments = 0.33; for interaction = 0.67 | ||||||||||
| Na (g kg−1 DM) | ||||||||||
| 0 | 1.00 ± 0.02 | c | 0.66 ± 0.01 | b | 0.47 ± 0.00 | a | 0.55 ± 0.01 | ab | 0.67 ± 0.06 | A |
| 200 | 2.51 ± 0.03 | d | 0.39 ± 0.00 | a | 2.81 ± 0.01 | e | 4.23 ± 0.06 | j | 2.49 ± 0.40 | B |
| 400 | 3.90 ± 0.05 | h | 3.45 ± 0.03 | g | 3.12 ± 0.00 | f | 3.95 ± 0.03 | i | 3.61 ± 0.10 | C |
| 600 | 3.27 ± 0.04 | i | 2.74 ± 0.02 | e | 3.75 ± 0.20 | h | 5.66 ± 0.03 | k | 3.86 ± 0.32 | D |
| Mean: | 2.67 ± 0.31 | C | 1.81 ± 0.38 | A | 2.54 ± 0.36 | B | 3.60 ± 0.54 | D | 2.66 | |
| r | 0.84 | ** | 0.79 | * | 0.91 | ** | 0.90 | ** | - | |
| LSDα≤0.05 for increasing Cu soil pollution = 0.09; for amendments = 0.49; for interaction = 0.18 | ||||||||||
Publisher’s Note: MDPI stays neutral with regard to jurisdictional claims in published maps and institutional affiliations. |
© 2021 by the authors. Licensee MDPI, Basel, Switzerland. This article is an open access article distributed under the terms and conditions of the Creative Commons Attribution (CC BY) license (https://creativecommons.org/licenses/by/4.0/).
Share and Cite
Żołnowski, A.C.; Wyszkowski, M.; Rolka, E.; Sawicka, M. Mineral Materials as a Neutralizing Agent Used on Soil Contaminated with Copper. Materials 2021, 14, 6830. https://doi.org/10.3390/ma14226830
Żołnowski AC, Wyszkowski M, Rolka E, Sawicka M. Mineral Materials as a Neutralizing Agent Used on Soil Contaminated with Copper. Materials. 2021; 14(22):6830. https://doi.org/10.3390/ma14226830
Chicago/Turabian StyleŻołnowski, Andrzej Cezary, Mirosław Wyszkowski, Elżbieta Rolka, and Marta Sawicka. 2021. "Mineral Materials as a Neutralizing Agent Used on Soil Contaminated with Copper" Materials 14, no. 22: 6830. https://doi.org/10.3390/ma14226830
APA StyleŻołnowski, A. C., Wyszkowski, M., Rolka, E., & Sawicka, M. (2021). Mineral Materials as a Neutralizing Agent Used on Soil Contaminated with Copper. Materials, 14(22), 6830. https://doi.org/10.3390/ma14226830

