Support–Activity Relationship in Heterogeneous Catalysis for Biomass Valorization and Fine-Chemicals Production
Abstract
1. Introduction
1.1. Biomass Valorization: A Great Opportunity
1.2. Biomass from Wastes to Feedstocks: Typologies, Composition, Advantages and Drawbacks
1.3. Classic Supports vs. Modern Active Supports
2. Biomass for the Production of Catalytic Supports: The Cases of Activated Carbons, Lignin and Chitosan
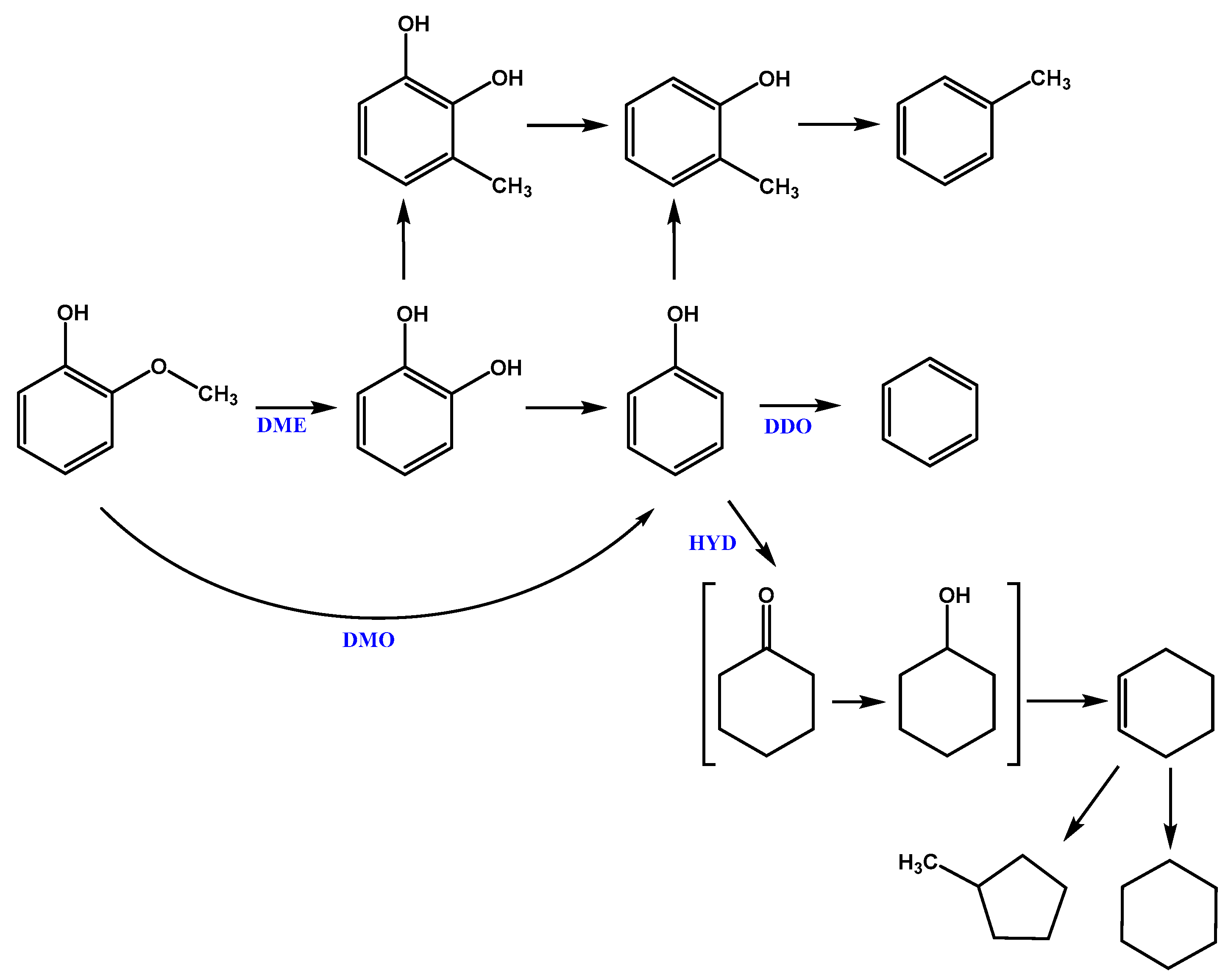
2.1. Activated Carbons
2.2. Lignin Nanocapsules
2.3. Chitosan
3. Support Materials Directly Influencing Reactions for Biomass Conversion into Fine Chemicals
3.1. Oxide Supports
3.1.1. Titania
3.1.2. Alumina, Silica and Molecular Sieves
3.1.3. Ceria
3.1.4. Layered Double Hydroxides (LDH)
3.1.5. Zirconium-Based Oxides and Other Types of Oxide Supports
3.2. Metal Organic Frameworks
3.3. Nanoparticles
3.4. Two-Dimension and Carbonaceous Materials
4. Conclusions
5. Perspectives
Author Contributions
Funding
Institutional Review Board Statement
Informed Consent Statement
Data Availability Statement
Conflicts of Interest
References
- Ma, Z.; Zaera, F. Heterogeneous Catalysis by Metals. In Encyclopedia of Inorganic Chemistry; King, R.B., Crabtree, R.H., Lukehart, C.M., Atwood, D.A., Eds.; John Wiley & Sons: Hoboken, NJ, USA, 2006. [Google Scholar]
- Rothenberg, G. Catalysis: Concepts and Green Applications, 2nd ed.; Rothenberg, G., Ed.; WILEY-VCH Verlag GmbH: Weinheim, Germany, 2017. [Google Scholar]
- Kätelhön, A.; Meys, R.; Deutz, S.; Suh, S.; Bardow, A. Climate change mitigation potential of carbon capture and utilization in the chemical industry. Proc. Natl. Acad. Sci. USA 2019, 116, 11187. [Google Scholar] [CrossRef]
- Cai, H.; Li, C.; Wang, A.; Zhang, T. Biomass into chemicals: One-pot production of furan-based diols from carbohydrates via tandem reactions. Catal. Today 2014, 234, 59–65. [Google Scholar] [CrossRef]
- Reid, W.V.; Ali, M.K.; Field, C.B. The future of bioenergy. Glob. Chang. Biol. 2020, 26, 274–286. [Google Scholar] [CrossRef]
- Banja, M.; Sikkema, R.; Jégard, M.; Motola, V.; Dallemand, J.-F. Biomass for energy in the EU—The support framework. Energy Policy 2019, 131, 215–228. [Google Scholar] [CrossRef]
- Ruddy, D.A.; Schaidle, J.A.; Ferrell, J.R.; Wang, J.; Moens, L.; Hensley, J.E. Recent advances in heterogeneous catalysts for bio-oil upgrading via “ex situ catalytic fast pyrolysis”: Catalyst development through the study of model compounds. Green Chem. 2014, 16, 454–490. [Google Scholar] [CrossRef]
- Carroccio, A.; Crescimanno, M.; Galati, A.; Tulone, A. The land grabbing in the international scenario: The role of the EU in land grabbing. Agric. Food Econ. 2016, 4, 12. [Google Scholar] [CrossRef]
- McKendry, P. Energy production from biomass (part 1): Overview of biomass. Bioresour. Technol. 2002, 83, 37–46. [Google Scholar] [CrossRef]
- Chum, H.; Faaij, A.; Moreira, J.; Berndes, G.; Dhamija, P.; Dong, H.; Gabrielle, B.; Goss Eng, A.; Lucht, W.; Mapako, M.; et al. Bioenergy. In Renewable Energy Sources and Climate Change Mitigation; Edenhofer, O., Pichs-Madruga, R., Sokona, Y., Seyboth, K., Kadner, S., Zwickel, T., Eickemeier, P., Hansen, G., Schlömer, S., von Stechow, C., et al., Eds.; Cambridge University Press: Cambridge, UK, 2011; pp. 209–332. [Google Scholar]
- Tursi, A. A review on biomass: Importance, chemistry, classification, and conversion. Biofuel Res. J. 2019, 6, 962–979. [Google Scholar] [CrossRef]
- Kaltschmitt, M. Renewable Energy from Biomass, Introduction. In Renewable Energy Systems; Kaltschmitt, M., Themelis, N.J., Bronicki, L.Y., Söder, L., Vega, L.A., Eds.; Springer: New York, NY, USA, 2013; pp. 1393–1396. [Google Scholar]
- Habert, G.; Bouzidi, Y.; Chen, C.; Jullien, A. Development of a depletion indicator for natural resources used in concrete. Resour. Conserv. Recycl. 2010, 54, 364–376. [Google Scholar] [CrossRef]
- Maugeri, L. Understanding Oil Price Behavior through an Analysis of a Crisis. Rev. Environ. Econ. Policy 2009, 3, 147–166. [Google Scholar] [CrossRef]
- Godin, B.; Lamaudière, S.; Agneessens, R.; Schmit, T.; Goffart, J.-P.; Stilmant, D.; Gerin, P.A.; Delcarte, J. Chemical characteristics and biofuel potential of several vegetal biomasses grown under a wide range of environmental conditions. Ind. Crops Prod. 2013, 48, 1–12. [Google Scholar] [CrossRef]
- Chen, H. Chemical Composition and Structure of Natural Lignocellulose. In Biotechnology of Lignocellulose: Theory and Practice; Chen, H., Ed.; Springer: Dordrecht, Netherlands, 2014; pp. 25–71. [Google Scholar]
- Bonechi, C.; Consumi, M.; Donati, A.; Leone, G.; Magnani, A.; Tamasi, G.; Rossi, C. Biomass: An overview. In Bioenergy Systems for the Future: Prospects for Biofuels and Biohydrogen; Dalena, F., Basile, A., Rossi, C., Eds.; Woodhead Publishing: Cambridge, UK, 2017; pp. 3–42. [Google Scholar]
- Bala, J.D.; Lalung, J.; Al-Gheethiand, A.A.S.; Norli, I. A Review on Biofuel and Bioresources for Environmental Applications. In Renewable Energy and Sustainable Technologies for Building and Environmental Applications: Options for a Greener Future; Ahmad, M.I., Ismail, M., Riffat, S., Eds.; Springer: Beijing, China, 2016; pp. 205–225. [Google Scholar]
- Carpenter, D.; Westover, T.L.; Czernik, S.; Jablonski, W. Biomass feedstocks for renewable fuel production: A review of the impacts of feedstock and pretreatment on the yield and product distribution of fast pyrolysis bio-oils and vapors. Green Chem. 2014, 16, 384–406. [Google Scholar] [CrossRef]
- Jindal, M.K.; Jha, M.K. Hydrothermal liquefaction of wood: A critical review. Rev. Chem. Eng. 2016, 32, 459–488. [Google Scholar] [CrossRef]
- Fromm, J.; Rockel, B.; Lautner, S.; Windeisen, E.; Wanner, G. Lignin distribution in wood cell walls determined by TEM and backscattered SEM techniques. J. Struct. Biol. 2003, 143, 77–84. [Google Scholar] [CrossRef]
- Xu, F.; Zhong, X.C.; Sun, R.C.; Gwynn, L.J. Lignin distribution and infrastructure of Salix psammophila. Trans. China Pulp Pap. 2005, 20, 6–9. [Google Scholar]
- Xie, S.; Ragauskas, A.J.; Yuan, J.S. Lignin Conversion: Opportunities and Challenges for the Integrated Biorefinery. Ind. Biotechnol. 2016, 12, 161–167. [Google Scholar] [CrossRef]
- Hodásová, L.; Jablonský, M.; Škulcová, A.; Ház, A. Lignin, Potential Products and Their Market Value. Wood Res. 2015, 60, 973–986. [Google Scholar]
- Dai, J.; Li, F.; Fu, X. Towards Shell Biorefinery: Advances in Chemical-Catalytic Conversion of Chitin Biomass to Organonitrogen Chemicals. ChemSusChem 2020, 13, 6498–6508. [Google Scholar] [CrossRef]
- Yan, N.; Chen, X. Sustainability: Don’t waste seafood waste. Nature 2015, 524, 155–157. [Google Scholar] [CrossRef]
- Hardy, J.J.E.; Hubert, S.; Macquarrie, D.J.; Wilson, A.J. Chitosan-based heterogeneous catalysts for Suzuki and Heck reactions. Green Chem. 2004, 6, 53–56. [Google Scholar] [CrossRef]
- Guibal, E. Heterogeneous catalysis on chitosan-based materials: A review. Prog. Polym. Sci. 2005, 30, 71–109. [Google Scholar] [CrossRef]
- Guo, Z.Y.; Xing, R.E.; Liu, S.; Zhong, Z.M.; Ji, X.; Wang, L.; Li, P.C. Antifungal properties of Schiff bases of chitosan, N-substituted chitosan and quaternized chitosan. Carbohydr. Res. 2007, 342, 1329–1332. [Google Scholar] [CrossRef]
- Bazhenov, V.V.; Wysokowski, M.; Petrenko, I.; Stawski, D.; Sapozhnikov, P.; Born, R.; Stelling, A.L.; Kaiser, S.; Jesionowski, T. Preparation of monolithic silica-chitin composite under extreme biomimetic conditions. Int. J. Biol. Macromol. 2015, 76, 33–38. [Google Scholar] [CrossRef] [PubMed]
- Yeul, V.S.; Rayalu, S.S. Unprecedented Chitin and Chitosan: A Chemical Overview. J. Polym. Environ. 2013, 21, 606–614. [Google Scholar] [CrossRef]
- Peng, Q.; Liu, M.X.; Zheng, J.W.; Zhou, C.R. Adsorption of dyes in aqueous solutions by chitosan-halloysite nanotubes composite hydrogel beads. Microporous Mesoporous Mater. 2015, 201, 190–201. [Google Scholar] [CrossRef]
- Rinaudo, M. Chitin and chitosan: Properties and applications. Prog. Polym. Sci. 2006, 31, 603–632. [Google Scholar] [CrossRef]
- Nasrollahzadeh, M.; Shafiei, N.; Nezafat, Z.; Soheili Bidgoli, N.S.; Soleimani, F. Recent progresses in the application of cellulose, starch, alginate, gum, pectin, chitin and chitosan based (nano)catalysts in sustainable and selective oxidation reactions: A review. Carbohydr. Polym. 2020, 241, 116353. [Google Scholar] [CrossRef] [PubMed]
- Ravi Kumar, M.N.V. A review of chitin and chitosan applications. React. Funct. Polym. 2000, 46, 1–27. [Google Scholar] [CrossRef]
- Baig, R.B.N.; Nadagouda, M.N.; Varma, R.S. Ruthenium on chitosan: A recyclable heterogeneous catalyst for aqueous hydration of nitriles to amides. Green Chem. 2014, 16, 2122–2127. [Google Scholar] [CrossRef]
- Guibal, E. Interactions of metal ions with chitosan-based sorbents: A review. Sep. Purif. Technol. 2004, 38, 43–74. [Google Scholar] [CrossRef]
- Pillai, C.K.S.; Paul, W.; Sharma, C.P. Chitin and chitosan polymers: Chemistry, solubility and fiber formation. Prog. Polym. Sci. 2009, 34, 641–678. [Google Scholar] [CrossRef]
- Sun, J.; Wang, J.Q.; Cheng, W.G.; Zhang, J.X.; Li, X.H.; Zhang, S.J.; She, Y.B. Chitosan functionalized ionic liquid as a recyclable biopolymer-supported catalyst for cycloaddition of CO2. Green Chem. 2012, 14, 654–660. [Google Scholar] [CrossRef]
- Lee, M.; Chen, B.-Y.; Den, W. Chitosan as a Natural Polymer for Heterogeneous Catalysts Support: A Short Review on Its Applications. Appl. Sci. 2015, 5, 1272–1283. [Google Scholar] [CrossRef]
- Zhou, Y.; Li, Y.; Shen, W.J. Shape Engineering of Oxide Nanoparticles for Heterogeneous Catalysis. Chem. Asian J. 2016, 11, 1470–1488. [Google Scholar] [CrossRef] [PubMed]
- Di Giuseppe, A.; Di Nicola, C.; Pettinari, R.; Ferino, I.; Meloni, D.; Passacantando, M.; Crucianelli, M. Selective catalytic oxidation of olefins by novel oxovanadium(IV) complexes having different donor ligands covalently anchored on SBA-15: A comparative study. Catal. Sci. Technol. 2013, 3, 1972–1984. [Google Scholar] [CrossRef]
- Lazzarini, A.; Piovano, A.; Pellegrini, R.; Leofanti, G.; Agostini, G.; Rudic, S.; Chierotti, M.R.; Gobetto, R.; Battiato, A.; Spoto, G.; et al. A comprehensive approach to investigate the structural and surface properties of activated carbons and related Pd-based catalysts. Catal. Sci. Technol. 2016, 6, 4910–4922. [Google Scholar] [CrossRef]
- Bertarione, S.; Prestipino, C.; Groppo, E.; Scarano, D.; Spoto, G.; Zecchina, A.; Pellegrini, R.; Leofanti, G.; Lamberti, C. Direct IR observation of vibrational properties of carbonyl species formed on Pd nano-particles supported on amorphous carbon: Comparison with Pd/SiO2–Al2O3. Phys. Chem. Chem. Phys. 2006, 8, 3676–3681. [Google Scholar] [CrossRef] [PubMed]
- Pellegrini, R.; Leofanti, G.; Agostini, G.; Groppo, E.; Lamberti, C. Investigation of carbon and alumina supported Pd catalysts during catalyst preparation. In Studies in Surface Science and Catalysis; Gaigneaux, E.M., Devillers, M., Hermans, S., Jacobs, P.A., Martens, J.A., Ruiz, P., Eds.; Elsevier: Amsterdam, The Netherlands, 2010; Volume 175, pp. 437–440. [Google Scholar]
- Pellegrini, R.; Leofanti, G.; Agostini, G.; Groppo, E.; Rivallan, M.; Lamberti, C. Pd-Supported Catalysts: Evolution of Support Porous Texture along Pd Deposition and Alkali-Metal Doping. Langmuir 2009, 25, 6476–6485. [Google Scholar] [CrossRef][Green Version]
- Selvaraju, G.; Bakar, N.K.A. Production of a new industrially viable green-activated carbon from Artocarpus integer fruit processing waste and evaluation of its chemical, morphological and adsorption properties. J. Clean. Prod. 2017, 141, 989–999. [Google Scholar] [CrossRef]
- Januszewicz, K.; Kazimierski, P.; Klein, M.; Kardaś, D.; Łuczak, J. Activated Carbon Produced by Pyrolysis of Waste Wood and Straw for Potential Wastewater Adsorption. Materials 2020, 13, 2047. [Google Scholar] [CrossRef]
- Bedia, J.; Peñas-Garzón, M.; Gómez-Avilés, A.; Rodriguez, J.J.; Belver, C. A Review on the Synthesis and Characterization of Biomass-Derived Carbons for Adsorption of Emerging Contaminants from Water. C J. Carbon Res. 2018, 4, 63. [Google Scholar] [CrossRef]
- Adeleye, A.T.; Akande, A.A.; Odoh, C.K.; Philip, M.; Fidelis, T.T.; Amos, P.I.; Banjoko, O.O. Efficient synthesis of bio-based activated carbon (AC) for catalytic systems: A green and sustainable approach. J. Ind. Eng. Chem. 2021, 96, 59–75. [Google Scholar] [CrossRef]
- Lazzarini, A. Activated carbons for applications in catalysis: The point of view of a physical-chemist. Rend. Fis. Acc. Lincei 2017, 28, 29–42. [Google Scholar] [CrossRef]
- Satayeva, A.R.; Howell, C.A.; Korobeinyk, A.V.; Jandosov, J.; Inglezakis, V.J.; Mansurov, Z.A.; Mikhalovsky, S.V. Investigation of rice husk derived activated carbon for removal of nitrate contamination from water. Sci. Total Environ. 2018, 630, 1237–1245. [Google Scholar] [CrossRef]
- Laine, J.; Yunes, S. Effect of the preparation method on the pore size distribution of activated carbon from coconut shell. Carbon 1992, 30, 601–604. [Google Scholar] [CrossRef]
- Rusanen, A.; Kupila, R.; Lappalainen, K.; Kärkkäinen, J.; Hu, T.; Lassi, U. Conversion of Xylose to Furfural over Lignin-Based Activated Carbon-Supported Iron Catalysts. Catalysts 2020, 10, 821. [Google Scholar] [CrossRef]
- Budinova, T.; Ekinci, E.; Yardim, F.; Grimm, A.; Björnbom, E.; Minkova, V.; Goranova, M. Characterization and application of activated carbon produced by H3PO4 and water vapor activation. Fuel Process. Technol. 2006, 87, 899–905. [Google Scholar] [CrossRef]
- Girgis, B.S.; Yunis, S.S.; Soliman, A.M. Characteristics of activated carbon from peanut hulls in relation to conditions of preparation. Mater. Lett. 2002, 57, 164–172. [Google Scholar] [CrossRef]
- Samsuri, A.W.; Sadegh-Zadeh, F.; Seh-Bardan, B.J. Characterization of biochars produced from oil palm and rice husks and their adsorption capacities for heavy metals. Int. J. Environ. Sci. Technol. 2014, 11, 967–976. [Google Scholar] [CrossRef]
- Gratuito, M.K.B.; Panyathanmaporn, T.; Chumnanklang, R.A.; Sirinuntawittaya, N.; Dutta, A. Production of activated carbon from coconut shell: Optimization using response surface methodology. Bioresour. Technol. 2008, 99, 4887–4895. [Google Scholar] [CrossRef]
- Molina-Sabio, M.; Rodriguez-Reinoso, F. Role of chemical activation in the development of carbon porosity. Colloid Surf. A-Physicochem. Eng. Asp. 2004, 241, 15–25. [Google Scholar] [CrossRef]
- Figueiredo, J.L.; Pereira, M.F.R.; Freitas, M.M.A.; Órfão, J.J.M. Modification of the surface chemistry of activated carbons. Carbon 1999, 37, 1379–1389. [Google Scholar] [CrossRef]
- Matos, I.; Bernardo, M.; Fonseca, I. Porous carbon: A versatile material for catalysis. Catal. Today 2017, 285, 194–203. [Google Scholar] [CrossRef]
- Benaddi, H.; Legras, D.; Rouzaud, J.N.; Beguin, F. Influence of the atmosphere in the chemical activation of wood by phosphoric acid. Carbon 1998, 36, 306–309. [Google Scholar] [CrossRef]
- Oruç, Z.; Ergüt, M.; Uzunoğlu, D.; Özer, A. Green synthesis of biomass-derived activated carbon/Fe-Zn bimetallic nanoparticles from lemon (Citrus limon (L.) Burm. f.) wastes for heterogeneous Fenton-like decolorization of Reactive Red 2. J. Environ. Chem. Eng. 2019, 7, 103231. [Google Scholar] [CrossRef]
- Tang, Z.-E.; Lim, S.; Pang, Y.-L.; Shuit, S.-H.; Ong, H.-C. Utilisation of biomass wastes based activated carbon supported heterogeneous acid catalyst for biodiesel production. Renew. Energy 2020, 158, 91–102. [Google Scholar] [CrossRef]
- Luo, Y.; Street, J.; Steele, P.; Entsminger, E.; Guda, V. Activated Carbon Derived from Pyrolyzed Pinewood Char using Elevated Temperature, KOH, H3PO4, and H2O2. BioResources 2016, 11, 10433–10447. [Google Scholar] [CrossRef]
- Moreno-Castilla, C.; López-Ramón, M.V.; Carrasco-Marín, F. Changes in surface chemistry of activated carbons by wet oxidation. Carbon 2000, 38, 1995–2001. [Google Scholar] [CrossRef]
- Yang, M.T.; Tong, W.C.; Lee, J.; Kwon, E.; Lin, K. CO2 as a reaction medium for pyrolysis of lignin leading to magnetic cobalt-embedded biochar as an enhanced catalyst for Oxone activation. J. Colloid Interface Sci. 2019, 545, 16–24. [Google Scholar] [CrossRef]
- Zhang, B.; Yang, D.; Qian, Y.; Pang, Y.; Li, Q.; Qiu, X. Engineering a lignin-based hollow carbon with opening structure for highly improving the photocatalytic activity and recyclability of ZnO. Ind. Crops Prod. 2020, 155, 112773. [Google Scholar] [CrossRef]
- Albers, P.W.; Pietsch, J.; Krauter, J.; Parker, S.F. Investigations of activated carbon catalyst supports from different natural sources. Phys. Chem. Chem. Phys. 2003, 5, 1941–1949. [Google Scholar] [CrossRef]
- Lazzarini, A.; Pellegrini, R.; Piovano, A.; Rudic, S.; Castan-Guerrero, C.; Torelli, P.; Chierotti, M.R.; Gobetto, R.; Lamberti, C.; Groppo, E. The effect of surface chemistry on the performances of Pd-based catalysts supported on activated carbons. Catal. Sci. Technol. 2017, 7, 4162–4172. [Google Scholar] [CrossRef]
- Moreno-Castilla, C.; Carrasco-Marín, F.; Mueden, A. The creation of acid carbon surfaces by treatment with (NH4)2S2O8. Carbon 1997, 35, 1619–1626. [Google Scholar] [CrossRef]
- Lazzarini, A.; Piovano, A.; Pellegrini, R.; Agostini, G.; Rudić, S.; Lamberti, C.; Groppo, E. Graphitization of Activated Carbons: A Molecular-level Investigation by INS, DRIFT, XRD and Raman Techniques. Phys. Procedia 2016, 85, 20–26. [Google Scholar] [CrossRef]
- Techikawara, K.; Kobayashi, H.; Fukuoka, A. Conversion of N-Acetylglucosamine to Protected Amino Acid over Ru/C Catalyst. ACS Sustain. Chem. Eng. 2018, 6, 12411–12418. [Google Scholar] [CrossRef]
- Hama, S.; Tamalampudi, S.; Suzuki, Y.; Yoshida, A.; Fukuda, H.; Kondo, A. Preparation and comparative characterization of immobilized Aspergillus oryzae expressing Fusarium heterosporum lipase for enzymatic biodiesel production. Appl. Microbiol. Biotechnol. 2008, 81, 637–645. [Google Scholar] [CrossRef]
- Quayson, E.; Amoah, J.; Hama, S.; Yoshida, A.; Morita, K.; Kondo, A.; Ogino, C. Valorization of Activated Carbon as a Reusable Matrix for the Immobilization of Aspergillus oryzae Whole-Cells Expressing Fusarium heterosporum Lipase toward Biodiesel Synthesis. ACS Sustain. Chem. Eng. 2019, 7, 5010–5017. [Google Scholar] [CrossRef]
- Pouretedal, H.R.; Sadegh, N. Effective removal of Amoxicillin, Cephalexin, Tetracycline and Penicillin G from aqueous solutions using activated carbon nanoparticles prepared from vine wood. J. Water Process. Eng. 2014, 1, 64–73. [Google Scholar] [CrossRef]
- Efeovbokhan, V.E.; Alagbe, E.E.; Odika, B.; Babalola, R.; Oladimeji, T.E.; Abatan, O.G.; Yusuf, E.O. Preparation and characterization of activated carbon from plantain peel and coconut shell using biological activators. J. Phys. Conf. Ser. 2019, 1378, 032035. [Google Scholar] [CrossRef]
- Moussavi, G.; Alahabadi, A.; Yaghmaeian, K.; Eskandari, M. Preparation, characterization and adsorption potential of the NH4Cl-induced activated carbon for the removal of amoxicillin antibiotic from water. Chem. Eng. J. 2013, 217, 119–128. [Google Scholar] [CrossRef]
- Chandane, V.; Singh, V.K. Adsorption of safranin dye from aqueous solutions using a low-cost agro-waste material soybean hull. Desalin. Water Treat. 2016, 57, 4122–4134. [Google Scholar] [CrossRef]
- Saygili, H.; Guzel, F. High surface area mesoporous activated carbon from tomato processing solid waste by zinc chloride activation: Process optimization, characterization and dyes adsorption. J. Clean. Prod. 2016, 113, 995–1004. [Google Scholar] [CrossRef]
- Njoku, V.O.; Islam, M.A.; Asif, M.; Hameed, B.H. Adsorption of 2,4-dichlorophenoxyacetic acid by mesoporous activated carbon prepared from H3PO4-activated langsat empty fruit bunch. J. Environ. Manag. 2015, 154, 138–144. [Google Scholar] [CrossRef] [PubMed]
- Abbaszadeh, S.; Alwi, S.R.W.; Webb, C.; Ghasemi, N.; Muhamad, I.I. Treatment of lead-contaminated water using activated carbon adsorbent from locally available papaya peel biowaste. J. Clean. Prod. 2016, 118, 210–222. [Google Scholar] [CrossRef]
- Khan, A.; Goepel, M.; Colmenares, J.C.; Glaser, R. Chitosan-Based N-Doped Carbon Materials for Electrocatalytic and Photocatalytic Applications. ACS Sustain. Chem. Eng. 2020, 8, 4708–4727. [Google Scholar] [CrossRef]
- Nasrollahzadeh, M.; Shafiei, N.; Nezafat, Z.; Bidgoli, N.S.S. Recent progresses in the application of lignin derived (nano)catalysts in oxidation reactions. Molec. Catal. 2020, 489, 110942. [Google Scholar] [CrossRef]
- Capecchi, E.; Piccinino, D.; Delfino, I.; Bollella, P.; Antiochia, R.; Saladino, R. Functionalized Tyrosinase-Lignin Nanoparticles as Sustainable Catalysts for the Oxidation of Phenols. Nanomaterials 2018, 8, 438. [Google Scholar] [CrossRef]
- Piccinino, D.; Capecchi, E.; Botta, L.; Bollella, P.; Antiochia, R.; Crucianelli, M.; Saladino, R. Layer by layer supported laccase on lignin nanoparticles catalyzes the selective oxidation of alcohols to aldehydes. Catal. Sci. Technol. 2019, 9, 4125–4134. [Google Scholar] [CrossRef]
- Yang, Z.; Zhang, X.; Yao, X.; Fang, Y.; Chen, H.; Ji, H. β-cyclodextrin grafted on lignin as inverse phase transfer catalyst for the oxidation of benzyl alcohol in H2O. Tetrahedron 2016, 72, 1773–1781. [Google Scholar] [CrossRef]
- Chen, S.; Wang, G.; Sui, W.; Parvez, A.M.; Dai, L.; Si, C. Novel lignin-based phenolic nanosphere supported palladium nanoparticles with highly efficient catalytic performance and good reusability. Ind. Crops Prod. 2020, 145, 112164. [Google Scholar] [CrossRef]
- Bellich, B.; D’Agostino, I.; Semeraro, S.; Gamini, A.; Cesàro, A. “The Good, the Bad and the Ugly” of Chitosans. Mar. Drugs 2016, 14, 99. [Google Scholar] [CrossRef]
- Molnár, Á. The use of chitosan-based metal catalysts in organic transformations. Coord. Chem. Rev. 2019, 388, 126–171. [Google Scholar] [CrossRef]
- Díaz-Sánchez, M.; Díaz-García, D.; Prashar, S.; Gómez-Ruiz, S. Palladium nanoparticles supported on silica, alumina or titania: Greener alternatives for Suzuki–Miyaura and other C–C coupling reactions. Environ. Chem. Lett. 2019, 17, 1585–1602. [Google Scholar] [CrossRef]
- Hattori, T.; Tsubone, A.; Sawama, Y.; Monguchi, Y.; Sajiki, H. Palladium on Carbon-Catalyzed Suzuki-Miyaura Coupling Reaction Using an Efficient and Continuous Flow System. Catalysts 2015, 5, 18–25. [Google Scholar] [CrossRef]
- Baran, T.; Menteş, A. Highly efficient Suzuki cross-coupling reaction of biomaterial supported catalyst derived from glyoxal and chitosan. J. Organomet. Chem. 2016, 803, 30–38. [Google Scholar] [CrossRef]
- Baran, T.; Menteş, A. Microwave assisted synthesis of biarlys by C-C coupling reactions with a new chitosan supported Pd(II) catalyst. J. Molec. Struct. 2016, 1122, 111–116. [Google Scholar] [CrossRef]
- Baran, T.; Sargin, I.; Menteş, A.; Kaya, M. Exceptionally high turnover frequencies recorded for a new chitosan-based palladium(II) catalyst. Appl. Catal. A Gen. 2016, 523, 12–20. [Google Scholar] [CrossRef]
- Baran, T. A new chitosan Schiff base supported Pd(II) complex for microwave-assisted synthesis of biaryls compounds. J. Molec. Struct. 2017, 1141, 535–541. [Google Scholar] [CrossRef]
- Thatte, C.S.; Rathnam, M.V.; Pise, A.C. Chitosan-based Schiff base-metal complexes (Mn, Cu, Co) as heterogeneous, new catalysts for the β-isophorone oxidation. J. Chem. Sci. 2014, 126, 727–737. [Google Scholar] [CrossRef]
- Alshehri, S.M.; Almuqati, T.; Almuqati, N.; Al-Farraj, E.; Alhokbany, N.; Ahamad, T. Chitosan based polymer matrix with silver nanoparticles decorated multiwalled carbon nanotubes for catalytic reduction of 4-nitrophenol. Carbohydr. Polym. 2016, 151, 135–143. [Google Scholar] [CrossRef]
- Shao, L.; Ren, Y.; Wang, Z.; Qi, C.; Lin, Y. Developing chitosan-based composite nanofibers for supporting metal catalysts. Polymer 2015, 75, 168–177. [Google Scholar] [CrossRef]
- Liew, K.H.; Rocha, M.; Pereira, C.; Pires, A.L.; Pereira, A.M.; Yarmo, M.A.; Juan, J.C.; Yusop, R.M.; Peixoto, A.F.; Freire, C. Highly Active Ruthenium Supported on Magnetically Recyclable Chitosan-Based Nanocatalyst for Nitroarenes Reduction. ChemCatChem 2017, 9, 3930–3941. [Google Scholar] [CrossRef]
- Mahdavinia, G.R.; Soleymani, M.; Nikkhoo, M.; Farnia, S.M.F.; Amini, M. Magnetic (chitosan/laponite)-immobilized copper(II) ions: An efficient heterogeneous catalyst for azide-alkyne cycloaddition. New J. Chem. 2017, 41, 3821–3828. [Google Scholar] [CrossRef]
- Safaiee, M.; Ebrahimghasri, B.; Zolfigol, M.A.; Baghery, S.; Khoshnood, A.; Alonso, D.A. Synthesis and application of chitosan supported vanadium oxo in the synthesis of 1,4-dihydropyridines and 2,4,6-triarylpyridines via anomeric based oxidation. New J. Chem. 2018, 42, 12539–12548. [Google Scholar] [CrossRef]
- Konsolakis, M.; Lykaki, M. Recent Advances on the Rational Design of Non-Precious Metal Oxide Catalysts Exemplified by CuOx/CeO2 Binary System: Implications of Size, Shape and Electronic Effects on Intrinsic Reactivity and Metal-Support Interactions. Catalysts 2020, 10, 160. [Google Scholar] [CrossRef]
- Huber, G.W.; Chheda, J.N.; Barrett, C.J.; Dumesic, J.A. Production of liquid alkanes by aqueous-phase processing of biomass-derived carbohydrates. Science 2005, 308, 1446–1450. [Google Scholar] [CrossRef] [PubMed]
- Besson, M.; Gallezot, P.; Pinel, C. Conversion of Biomass into Chemicals over Metal Catalysts. Chem. Rev. 2014, 114, 1827–1870. [Google Scholar] [CrossRef]
- Motagamwala, A.H.; Won, W.Y.; Sener, C.; Alonso, D.M.; Maravelias, C.T.; Dumesic, J.A. Toward biomass-derived renewable plastics: Production of 2,5-furandicarboxylic acid from fructose. Sci. Adv. 2018, 4, eaap9722. [Google Scholar] [CrossRef]
- Lavacchi, A.; Bellini, M.; Berretti, E.; Chen, Y.X.; Marchionni, A.; Miller, H.A.; Vizza, F. Titanium dioxide nanomaterials in electrocatalysis for energy. Curr. Opin. Electrochem. 2021, 28, 100720. [Google Scholar] [CrossRef]
- Maslova, V.; Quadrelli, E.A.; Gaval, P.; Fasolini, A.; Albonetti, S.; Basile, F. Highly-dispersed ultrafine Pt nanoparticles on microemulsion-mediated TiO2 for production of hydrogen and valuable chemicals via oxidative photo-dehydrogenation of glycerol. J. Environ. Chem. Eng. 2021, 9, 105070. [Google Scholar] [CrossRef]
- Tian, S.B.; Gong, W.B.; Chen, W.X.; Lin, N.; Zhu, Y.Q.; Feng, Q.C.; Xu, Q.; Fu, Q.; Chen, C.; Luo, J.; et al. Regulating the Catalytic Performance of Single-Atomic-Site Ir Catalyst for Biomass Conversion by Metal-Support Interactions. ACS Catal. 2019, 9, 5223–5230. [Google Scholar] [CrossRef]
- Kuwahara, Y.; Okada, M.; Imai, H.; Unruangsri, J.; Anutrasakda, W.; Praserthdam, P.; Miyake, T.; Yamashita, H. Decarbonylation of Furfural to Furan over Titania-supported Palladium Nanoparticles Prepared by a Photo-assisted Deposition Method. J. Japan Pet. Inst. 2020, 63, 204–212. [Google Scholar] [CrossRef]
- Yamazaki, K.; Sasaki, R.; Watanabe, T.; Kuwano, S.; Murakami, Y.; Mimura, N.; Sato, O.; Yamaguchi, A. Effect of Catalyst Support on Aromatic Monomer Production from Lignocellulosic Biomass Over Pt-Based Catalysts. Waste Biomass Valor. 2021, 12, 6081–6089. [Google Scholar] [CrossRef]
- Ren, T.Y.; You, S.P.; Zhang, Z.F.; Wang, Y.F.; Qi, W.; Su, R.X.; He, Z.M. Highly selective reductive catalytic fractionation at atmospheric pressure without hydrogen. Green Chem. 2021, 23, 1648–1657. [Google Scholar] [CrossRef]
- Anderson, E.; Crisci, A.; Murugappan, K.; Roman-Leshkov, Y. Bifunctional Molybdenum Polyoxometalates for the Combined Hydrodeoxygenation and Alkylation of Lignin-Derived Model Phenolics. ChemSusChem 2017, 10, 2226–2234. [Google Scholar] [CrossRef] [PubMed]
- Garcia-Mendoza, C.; Santolalla-Vargas, C.E.; Woolfolk, L.G.; del Angel, P.; de los Reyes, J.A. Effect of TiO2 in supported NiWS catalysts for the hydrodeoxygenation of guaiacol. Catal. Today 2021, 377, 145–156. [Google Scholar] [CrossRef]
- Shylesh, S.; Singh, A.P. Synthesis, characterization, and catalytic activity of vanadium-incorporated, -grafted, and -immobilized mesoporous MCM-41 in the oxidation of aromatics. J. Catal. 2004, 228, 333–346. [Google Scholar] [CrossRef]
- Wu, K.; Li, B.S.; Han, C.Y.; Liu, J.J. Synthesis, characterization of MCM-41 with high vanadium content in the framework and its catalytic performance on selective oxidation of cyclohexane. Appl. Catal. A Gen. 2014, 479, 70–75. [Google Scholar] [CrossRef]
- Canepa, A.L.; Chanquia, C.M.; Vaschetti, V.M.; Eimer, G.A.; Casuscelli, S.G. Biomass toward fine chemical products: Oxidation of α-pinene over sieves nanostructured modified with vanadium. J. Molec. Catal. A Chem. 2015, 404, 65–73. [Google Scholar] [CrossRef]
- Zhang, Z.H.; Yuan, Z.L.; Tang, D.G.; Ren, Y.S.; Lv, K.L.; Liu, B. Iron Oxide Encapsulated by Ruthenium Hydroxyapatite as Heterogeneous Catalyst for the Synthesis of 2,5-Diformylfuran. ChemSusChem 2014, 7, 3496–3504. [Google Scholar] [CrossRef]
- Yang, Z.Z.; Deng, J.; Pan, T.; Guo, Q.X.; Fu, Y. A one-pot approach for conversion of fructose to 2,5-diformylfuran by combination of Fe3O4-SBA-SO3H and K-OMS-2. Green Chem. 2012, 14, 2986–2989. [Google Scholar] [CrossRef]
- Bui, L.; Luo, H.; Gunther, W.R.; Roman-Leshkov, Y. Domino Reaction Catalyzed by Zeolites with Brønsted and Lewis Acid Sites for the Production of -Valerolactone from Furfural. Angew. Chem. -Int. Edit. 2013, 52, 8022–8025. [Google Scholar] [CrossRef] [PubMed]
- Zhang, T.W.; Lu, Y.J.; Li, W.Z.; Su, M.X.; Yang, T.; Ogunbiyi, A.; Jin, Y.C. One-pot production of gamma-valerolactone from furfural using Zr-graphitic carbon nitride/H-beta composite. Int. J. Hydrog. Energy 2019, 44, 14527–14535. [Google Scholar] [CrossRef]
- Zhang, W.; Xie, J.Y.; Hou, W.; Liu, Y.Q.; Zhou, Y.; Wang, J. One-Pot Template-Free Synthesis of Cu-MOR Zeolite toward Efficient Catalyst Support for Aerobic Oxidation of 5-Hydroxymethylfurfural under Ambient Pressure. ACS Appl. Mater. Interfaces 2016, 8, 23122–23132. [Google Scholar] [CrossRef] [PubMed]
- Ye, L.; Han, Y.; Bai, H.; Lu, X. HZ-ZrP Catalysts with Adjustable Ratio of Brønsted and Lewis Acids for the One-Pot Value-Added Conversion of Biomass-Derived Furfural. ACS Sustain. Chem. Eng. 2020, 8, 7403–7413. [Google Scholar] [CrossRef]
- Zhang, B.; Wu, Q.F.; Zhang, C.; Su, X.L.N.; Shi, R.H.; Lin, W.W.; Li, Y.; Zhao, F.Y. A Robust Ru/ZSM-5 Hydrogenation Catalyst: Insights into the Resistances to Ruthenium Aggregation and Carbon Deposition. ChemCatChem 2017, 9, 3646–3654. [Google Scholar] [CrossRef]
- Pagliaro, M.; Rossi, M. The Future of Glycerol: New Uses of a Versatile Raw Material; RSC Publishing: Cambridge, UK, 2008. [Google Scholar]
- Werpy, T.; Petersen, G. Top Value Added Chemicals from Biomass—Vol. 1: Results of Screening for Potential Candidates from Sugars and Synthesis Gas; US Department of Energy: Golden, CO, USA, 2004. [Google Scholar] [CrossRef]
- Garcia-Fernandez, S.; Gandarias, I.; Tejido-Nunez, Y.; Requies, J.; Arias, P.L. Influence of the Support of Bimetallic Platinum Tungstate Catalysts on 1,3-Propanediol Formation from Glycerol. ChemCatChem 2017, 9, 4508–4519. [Google Scholar] [CrossRef]
- Yakabi, K.; Jones, A.; Buchard, A.; Roldan, A.; Hammond, C. Chemoselective Lactonization of Renewable Succinic Acid with Heterogeneous Nanoparticle Catalysts. ACS Sustain. Chem. Eng. 2018, 6, 16341–16351. [Google Scholar] [CrossRef]
- Shimizu, K.; Satsuma, A. Silver Cluster Catalysts for Green Organic Synthesis. J. Japan Pet. Inst. 2011, 54, 347–360. [Google Scholar] [CrossRef]
- Garcia-Sancho, C.; Sadaba, I.; Moreno-Tost, R.; Merida-Robles, J.; Santamaria-Gonzalez, J.; Lopez-Granados, M.; Maireles-Torres, P. Dehydration of Xylose to Furfural over MCM-41-Supported Niobium-Oxide Catalysts. ChemSusChem 2013, 6, 635–642. [Google Scholar] [CrossRef]
- Huang, F.; Su, Y.; Tao, Y.; Sun, W.; Wang, W. Preparation of 5-hydroxymethylfurfural from glucose catalyzed by silica-supported phosphotungstic acid heterogeneous catalyst. Fuel 2018, 226, 417–422. [Google Scholar] [CrossRef]
- Zhang, Y.; Chen, Y.; Pan, J.; Liu, M.; Jin, P.; Yan, Y. Synthesis and evaluation of acid-base bi-functionalized SBA-15 catalyst for biomass energy conversation. Chem. Eng. J. 2017, 313, 1593–1606. [Google Scholar] [CrossRef]
- Franco, A.; Luque, R.; Carrillo-Carrion, C. Exploiting the Potential of Biosilica from Rice Husk as Porous Support for Catalytically Active Iron Oxide Nanoparticles. Nanomaterials 2021, 11, 1259. [Google Scholar] [CrossRef] [PubMed]
- Andas, J.; Adam, F.; Rahman, I.A. Heterogeneous copper-silica catalyst from agricultural biomass and its catalytic activity. Appl. Surf. Sci. 2013, 284, 503–513. [Google Scholar] [CrossRef]
- Huang, X.B.; Zhang, K.Y.; Peng, B.X.; Wang, G.; Muhler, M.; Wang, F. Ceria-Based Materials for Thermocatalytic and Photocatalytic Organic Synthesis. ACS Catal. 2021, 11, 9618–9678. [Google Scholar] [CrossRef]
- Tamura, M.; Shimizu, K.; Satsuma, A. CeO2-catalyzed Transformations of Nitriles and Amides. Chem. Lett. 2012, 41, 1397–1405. [Google Scholar] [CrossRef]
- Tomishige, K.; Tamura, M.; Nakagawa, Y. CO2 Conversion with Alcohols and Amines into Carbonates, Ureas, and Carbamates over CeO2 Catalyst in the Presence and Absence of 2-Cyanopyridine. Chem. Rec. 2019, 19, 1354–1379. [Google Scholar] [CrossRef]
- Tomishige, K.; Gu, Y.; Chang, T.; Tamura, M.; Nakagawa, Y. Catalytic function of CeO2 in non-reductive conversion of CO2 with alcohols. Mater. Today Sustain. 2020, 9, 100035. [Google Scholar] [CrossRef]
- Beckers, J.; Rothenberg, G. Sustainable selective oxidations using ceria-based materials. Green Chem. 2010, 12, 939–948. [Google Scholar] [CrossRef]
- Lei, L.J.; Wang, Y.H.; Zhang, Z.X.; An, J.H.; Wang, F. Transformations of Biomass, Its Derivatives, and Downstream Chemicals over Ceria Catalysts. ACS Catal. 2020, 10, 8788–8814. [Google Scholar] [CrossRef]
- Ranga Rao, G.; Mishra, B.G. Structural, redox and catalytic chemistry of ceria based materials. Bull. Catal. Soc. India 2003, 2, 122–134. [Google Scholar]
- Zhang, D.S.; Du, X.J.; Shi, L.Y.; Gao, R.H. Shape-controlled synthesis and catalytic application of ceria nanomaterials. Dalton Trans. 2012, 41, 14455–14475. [Google Scholar] [CrossRef] [PubMed]
- Cargnello, M.; Doan-Nguyen, V.V.T.; Gordon, T.R.; Diaz, R.E.; Stach, E.A.; Gorte, R.J.; Fornasiero, P.; Murray, C.B. Control of Metal Nanocrystal Size Reveals Metal-Support Interface Role for Ceria Catalysts. Science 2013, 341, 771–773. [Google Scholar] [CrossRef] [PubMed]
- Abad, A.; Concepcion, P.; Corma, A.; Garcia, H. A collaborative effect between gold and a support induces the selective oxidation of alcohols. Angew. Chem. -Int. Edit. 2005, 44, 4066–4069. [Google Scholar] [CrossRef] [PubMed]
- Abad, A.; Corma, A.; Garcia, H. Catalyst parameters determining activity and selectivity of supported gold nanoparticles for the aerobic oxidation of alcohols: The molecular reaction mechanism. Chem. Eur. J. 2008, 14, 212–222. [Google Scholar] [CrossRef]
- Hammond, C.; Schumperli, M.T.; Conrad, S.; Hermans, I. Hydrogen Transfer Processes Mediated by Supported Iridium Oxide Nanoparticles. ChemCatChem 2013, 5, 2983–2990. [Google Scholar] [CrossRef]
- Tong, T.; Xia, Q.; Liu, X.; Wang, Y. Direct hydrogenolysis of biomass-derived furans over Pt/CeO2 catalyst with high activity and stability. Catal. Commun. 2017, 101, 129–133. [Google Scholar] [CrossRef]
- Qiao, B.T.; Wang, A.Q.; Yang, X.F.; Allard, L.F.; Jiang, Z.; Cui, Y.T.; Liu, J.Y.; Li, J.; Zhang, T. Single-atom catalysis of CO oxidation using Pt1/FeOx. Nat. Chem. 2011, 3, 634–641. [Google Scholar] [CrossRef]
- Nie, L.; Mei, D.; Xiong, H.; Peng, B.; Ren, Z.; Hernandez Xavier Isidro, P.; DeLaRiva, A.; Wang, M.; Engelhard Mark, H.; Kovarik, L.; et al. Activation of surface lattice oxygen in single-atom Pt/CeO2 for low-temperature CO oxidation. Science 2017, 358, 1419–1423. [Google Scholar] [CrossRef]
- Lin, L.L.; Zhou, W.; Gao, R.; Yao, S.Y.; Zhang, X.; Xu, W.Q.; Zheng, S.J.; Jiang, Z.; Yu, Q.L.; Li, Y.W.; et al. Low-temperature hydrogen production from water and methanol using Pt/α-MoC catalysts. Nature 2017, 544, 80–83. [Google Scholar] [CrossRef] [PubMed]
- Kyriakou, G.; Boucher, M.B.; Jewell, A.D.; Lewis, E.A.; Lawton, T.J.; Baber, A.E.; Tierney, H.L.; Flytzani-Stephanopoulos, M.; Sykes, E.C.H. Isolated Metal Atom Geometries as a Strategy for Selective Heterogeneous Hydrogenations. Science 2012, 335, 1209–1212. [Google Scholar] [CrossRef] [PubMed]
- Feng, Q.C.; Zhao, S.; Wang, Y.; Dong, J.C.; Chen, W.X.; He, D.S.; Wang, D.S.; Yang, J.; Zhu, Y.M.; Zhu, H.L.; et al. Isolated Single-Atom Pd Sites in Intermetallic Nanostructures: High Catalytic Selectivity for Semihydrogenation of Alkynes. J. Am. Chem. Soc. 2017, 139, 7294–7301. [Google Scholar] [CrossRef]
- Wang, X.; Chen, W.X.; Zhang, L.; Yao, T.; Liu, W.; Lin, Y.; Ju, H.X.; Dong, J.C.; Zheng, L.R.; Yan, W.S.; et al. Uncoordinated Amine Groups of Metal-Organic Frameworks to Anchor Single Ru Sites as Chemoselective Catalysts toward the Hydrogenation of Quinoline. J. Am. Chem. Soc. 2017, 139, 9419–9422. [Google Scholar] [CrossRef] [PubMed]
- Yang, J.; Chen, B.X.; Liu, X.K.; Liu, W.; Li, Z.J.; Dong, J.C.; Chen, W.X.; Yan, W.S.; Yao, T.; Duan, X.Z.; et al. Efficient and Robust Hydrogen Evolution: Phosphorus Nitride Imide Nanotubes as Supports for Anchoring Single Ruthenium Sites. Angew. Chem. -Int. Edit. 2018, 57, 9495–9500. [Google Scholar] [CrossRef]
- Wang, C.P.; Mao, S.J.; Wang, Z.; Chen, Y.Z.; Yuan, W.T.; Ou, Y.; Zhang, H.; Gong, Y.T.; Wang, Y.; Mei, B.B.; et al. Insight into Single-Atom-Induced Unconventional Size Dependence over CeO2-Supported Pt Catalysts. Chem 2020, 6, 752–765. [Google Scholar] [CrossRef]
- Cavani, F.; Trifiro, F.; Vaccari, A. Hydrotalcite-Type Anionic Clays: Preparation, Properties and Applications. Catal. Today 1991, 11, 173–301. [Google Scholar] [CrossRef]
- Yan, K.; Liu, Y.; Lu, Y.; Chai, J.; Sun, L. Catalytic application of layered double hydroxide-derived catalysts for the conversion of biomass-derived molecules. Catal. Sci. Technol. 2017, 7, 1622–1645. [Google Scholar] [CrossRef]
- Takehira, K. Recent development of layered double hydroxide-derived catalysts—Rehydration, reconstitution, and supporting, aiming at commercial application. Appl. Clay Sci. 2017, 136, 112–141. [Google Scholar] [CrossRef]
- Fan, G.L.; Li, F.; Evans, D.G.; Duan, X. Catalytic applications of layered double hydroxides: Recent advances and perspectives. Chem. Soc. Rev. 2014, 43, 7040–7066. [Google Scholar] [CrossRef]
- Feng, J.T.; He, Y.F.; Liu, Y.N.; Du, Y.Y.; Li, D.Q. Supported catalysts based on layered double hydroxides for catalytic oxidation and hydrogenation: General functionality and promising application prospects. Chem. Soc. Rev. 2015, 44, 5291–5319. [Google Scholar] [CrossRef]
- Wang, Q.; O’Hare, D. Recent Advances in the Synthesis and Application of Layered Double Hydroxide (LDH) Nanosheets. Chem. Rev. 2012, 112, 4124–4155. [Google Scholar] [CrossRef] [PubMed]
- Debecker, D.P.; Gaigneaux, E.M.; Busca, G. Exploring, Tuning, and Exploiting the Basicity of Hydrotalcites for Applications in Heterogeneous Catalysis. Chem. Eur. J. 2009, 15, 3920–3935. [Google Scholar] [CrossRef]
- Sels, B.F.; De Vos, D.E.; Jacobs, P.A. Hydrotalcite-like anionic clays in catalytic organic reactions. Catal. Rev. Sci. Eng. 2001, 43, 443–488. [Google Scholar] [CrossRef]
- Gao, Z.; Fan, G.; Yang, L.; Li, F. Double-active sites cooperatively catalyzed transfer hydrogenation of ethyl levulinate over a ruthenium-based catalyst. Molec. Catal. 2017, 442, 181–190. [Google Scholar] [CrossRef]
- Ho, S.-M. On the structural chemistry of zirconium oxide. Mater. Sci. Eng. 1982, 54, 23–29. [Google Scholar] [CrossRef]
- Bai, Y.; Dou, Y.B.; Xie, L.H.; Rutledge, W.; Li, J.R.; Zhou, H.C. Zr-based metal-organic frameworks: Design, synthesis, structure, and applications. Chem. Soc. Rev. 2016, 45, 2327–2367. [Google Scholar] [CrossRef] [PubMed]
- Masudi, A.; Muraza, O. Zirconia-Based Nanocatalysts in Heavy Oil Upgrading: A Mini Review. Energy Fuels 2018, 32, 2840–2854. [Google Scholar] [CrossRef]
- Royer, S.; Duprez, D.; Can, F.; Courtois, X.; Batiot-Dupeyrat, C.; Laassiri, S.; Alamdari, H. Perovskites as Substitutes of Noble Metals for Heterogeneous Catalysis: Dream or Reality. Chem. Rev. 2014, 114, 10292–10368. [Google Scholar] [CrossRef] [PubMed]
- Zhang, W.W.; Wang, Z.C.; Huang, J.; Jiang, Y.J. Zirconia-Based Solid Acid Catalysts for Biomass Conversion. Energy Fuels 2021, 35, 9209–9227. [Google Scholar] [CrossRef]
- Peng, L.C.; Gao, X.Y.; Yu, X.; Li, H.; Zhang, J.H.; He, L. Facile and High-Yield Synthesis of Alkyl Levulinate Directly from Furfural by Combining Zr-MCM-41 and Amberlyst-15 without External H2. Energy Fuels 2019, 33, 330–339. [Google Scholar] [CrossRef]
- Wang, X.X.; Lefebvre, F.; Patarin, J.; Basset, J.M. Synthesis and characterization of zirconium containing mesoporous silicas I. Hydrothermal synthesis of Zr-MCM-41-type materials. Microporous Mesoporous Mater. 2001, 42, 269–276. [Google Scholar] [CrossRef]
- Girard, E.; Delcroix, D.; Cabiac, A. Catalytic conversion of cellulose to C2–C3 glycols by dual association of a homogeneous metallic salt and a perovskite-supported platinum catalyst. Catal. Sci. Technol. 2016, 6, 5534–5542. [Google Scholar] [CrossRef]
- Keller, M.; Leion, H.; Mattisson, T. Chemical looping tar reforming using La/Sr/Fe-containing mixed oxides supported on ZrO2. Appl. Catal. B Environ. 2016, 183, 298–307. [Google Scholar] [CrossRef]
- Nie, J.F.; Liu, H.C. Aerobic oxidation of 5-hydroxymethylfurfural to 2,5-diformylfuran on supported vanadium oxide catalysts: Structural effect and reaction mechanism. Pure Appl. Chem. 2012, 84, 765–777. [Google Scholar] [CrossRef]
- Gandini, A.; Belgacem, N.M. Recent advances in the elaboration of polymeric materials derived from biomass components. Polym. Int. 1998, 47, 267–276. [Google Scholar] [CrossRef]
- Amarasekara, A.S.; Green, D.; Williams, L.D. Renewable resources based polymers: Synthesis and characterization of 2,5-diformylfuran-urea resin. Eur. Polym. J. 2009, 45, 595–598. [Google Scholar] [CrossRef]
- Ohmi, Y.; Nishimura, S.; Ebitani, K. Synthesis of α-Amino Acids from Glucosamine-HCl and its Derivatives by Aerobic Oxidation in Water Catalyzed by Au Nanoparticles on Basic Supports. ChemSusChem 2013, 6, 2259–2262. [Google Scholar] [CrossRef]
- Zhao, W.S.; Li, G.D.; Tang, Z.Y. Metal-organic frameworks as emerging platform for supporting isolated single-site catalysts. Nano Today 2019, 27, 178–197. [Google Scholar] [CrossRef]
- Gutterød, E.S.; Øien-Ødegaard, S.; Bossers, K.; Nieuwelink, A.-E.; Manzoli, M.; Braglia, L.; Lazzarini, A.; Borfecchia, E.; Ahmadigoltapeh, S.; Bouchevreau, B.; et al. CO2 Hydrogenation over Pt-Containing UiO-67 Zr-MOFs—The Base Case. Ind. Eng. Chem. Res. 2017, 56, 13206–13218. [Google Scholar] [CrossRef]
- Kaur, M.; Kumar, S.; Younis, S.A.; Yusuf, M.; Lee, J.; Weon, S.; Kim, K.-H.; Malik, A.K. Post-Synthesis modification of metal-organic frameworks using Schiff base complexes for various catalytic applications. Chem. Eng. J. 2021, 423, 130230. [Google Scholar] [CrossRef]
- Kømurcu, M.; Lazzarini, A.; Kaur, G.; Borfecchia, E.; Øien-Ødegaard, S.; Gianolio, D.; Bordiga, S.; Lillerud, K.P.; Olsbye, U. Co-catalyst free ethene dimerization over Zr-based metal-organic framework (UiO-67) functionalized with Ni and bipyridine. Catal. Today 2021, 369, 193–202. [Google Scholar] [CrossRef]
- Gutterød, E.S.; Lazzarini, A.; Fjermestad, T.; Kaur, G.; Manzoli, M.; Bordiga, S.; Svelle, S.; Lillerud, K.P.; Skúlason, E.; Øien-Ødegaard, S.; et al. Hydrogenation of CO2 to Methanol by Pt Nanoparticles Encapsulated in UiO-67: Deciphering the Role of the Metal-Organic Framework. J. Am. Chem. Soc. 2020, 142, 999–1009. [Google Scholar] [CrossRef]
- Gutterød, E.S.; Pulumati, S.H.; Kaur, G.; Lazzarini, A.; Solemsli, B.G.; Gunnæs, A.E.; Ahoba-Sam, C.; Kalyva, M.E.; Sannes, J.A.; Svelle, S.; et al. Influence of Defects and H2O on the Hydrogenation of CO2 to Methanol over Pt Nanoparticles in UiO-67 Metal-Organic Framework. J. Am. Chem. Soc. 2020, 142, 17105–17118. [Google Scholar] [CrossRef] [PubMed]
- Hao, Y.-C.; Chen, L.-W.; Li, J.; Guo, Y.; Su, X.; Shu, M.; Zhang, Q.; Gao, W.-Y.; Li, S.; Yu, Z.-L.; et al. Metal-organic framework membranes with single-atomic centers for photocatalytic CO2 and O2 reduction. Nat. Commun. 2021, 12, 2682. [Google Scholar] [CrossRef]
- Sun, Y.; Xue, Z.; Liu, Q.; Jia, Y.; Li, Y.; Liu, K.; Lin, Y.; Liu, M.; Li, G.; Su, C.-Y. Modulating electronic structure of metal-organic frameworks by introducing atomically dispersed Ru for efficient hydrogen evolution. Nat. Commun. 2021, 12, 1369. [Google Scholar] [CrossRef]
- Moghaddam, F.M.; Jarahiyan, A.; Heidarian Haris, M.; Pourjavadi, A. An advancement in the synthesis of nano Pd@magnetic amine-Functionalized UiO-66-NH2 catalyst for cyanation and O-arylation reactions. Sci. Rep. 2021, 11, 11387. [Google Scholar] [CrossRef]
- Li, X.L.; Goh, T.W.; Li, L.; Xiao, C.X.; Guo, Z.Y.; Zeng, X.C.; Huang, W.Y. Controlling Catalytic Properties of Pd Nanoclusters through Their Chemical Environment at the Atomic Level Using Isoreticular Metal-Organic Frameworks. ACS Catal. 2016, 6, 3461–3468. [Google Scholar] [CrossRef]
- Kuwahara, Y.; Kango, H.; Yamashita, H. Catalytic Transfer Hydrogenation of Biomass-Derived Levulinic Acid and Its Esters to γ-Valerolactone over Sulfonic Acid-Functionalized UiO-66. ACS Sustain. Chem. Eng. 2017, 5, 1141–1152. [Google Scholar] [CrossRef]
- Jiang, H.; Zhang, W.Q.; Kang, X.; Cao, Z.P.; Chen, X.; Liu, Y.; Cui, Y. Topology-Based Functionalization of Robust Chiral Zr-Based Metal-Organic Frameworks for Catalytic Enantioselective Hydrogenation. J. Am. Chem. Soc. 2020, 142, 9642–9652. [Google Scholar] [CrossRef]
- Ning, L.M.; Liao, S.Y.; Liu, X.G.; Guo, P.F.; Zhang, Z.Y.; Zhang, H.G.; Tong, X.L. A regulatable oxidative valorization of furfural with aliphatic alcohols catalyzed by functionalized metal-organic frameworks-supported Au nanoparticles. J. Catal. 2018, 364, 1–13. [Google Scholar] [CrossRef]
- Kar, A.K.; Kaur, S.P.; Kumar, T.J.D.; Srivastava, R. Efficient hydrogenolysis of aryl ethers over Ce-MOF supported Pd NPs under mild conditions: Mechanistic insight using density functional theoretical calculations. Catal. Sci. Technol. 2020, 10, 6892–6901. [Google Scholar] [CrossRef]
- Somorjai, G.A.; Contreras, A.M.; Montano, M.; Rioux, R.M. Clusters, surfaces, and catalysis. Proc. Natl. Acad. Sci. USA 2006, 103, 10577–10583. [Google Scholar] [CrossRef] [PubMed]
- Chng, L.L.; Erathodiyil, N.; Ying, J.Y. Nanostructured Catalysts for Organic Transformations. Acc. Chem. Res. 2013, 46, 1825–1837. [Google Scholar] [CrossRef] [PubMed]
- Astruc, D.; Lu, F.; Aranzaes, J.R. Nanoparticles as Recyclable Catalysts: The Frontier between Homogeneous and Heterogeneous Catalysis. Angew. Chem. -Int. Edit. 2005, 44, 7852–7872. [Google Scholar] [CrossRef] [PubMed]
- Song, H. Metal Hybrid Nanoparticles for Catalytic Organic and Photochemical Transformations. Acc. Chem. Res. 2015, 48, 491–499. [Google Scholar] [CrossRef] [PubMed]
- Mulvaney, P.; Giersig, M.; Ung, T.; Liz-Marzán, L.M. Direct observation of chemical reactions in silica-coated gold and silver nanoparticles. Adv. Mater. 1997, 9, 570–575. [Google Scholar] [CrossRef]
- Bell, A.T. The impact of nanoscience on heterogeneous catalysis. Science 2003, 299, 1688–1691. [Google Scholar] [CrossRef]
- Yin, Y.D.; Rioux, R.M.; Erdonmez, C.K.; Hughes, S.; Somorjai, G.A.; Alivisatos, A.P. Formation of hollow nanocrystals through the nanoscale Kirkendall Effect. Science 2004, 304, 711–714. [Google Scholar] [CrossRef]
- Park, J.C.; Lee, H.J.; Kim, J.Y.; Park, K.H.; Song, H. Catalytic Hydrogen Transfer of Ketones over Ni@SiO2 Yolk-Shell Nanocatalysts with Tiny Metal Cores. J. Phys. Chem. C 2010, 114, 6381–6388. [Google Scholar] [CrossRef]
- Kim, M.; Song, H. Precise adjustment of structural anisotropy and crystallinity on metal-Fe3O4 hybrid nanoparticles and its influence on magnetic and catalytic properties. J. Mater. Chem. C 2014, 2, 4997–5004. [Google Scholar] [CrossRef]
- Park, J.C.; Heo, E.; Kim, A.; Kim, M.; Park, K.H.; Song, H. Extremely Active Pd@pSiO2 Yolk-Shell Nanocatalysts for Suzuki Coupling Reactions of Aryl Halides. J. Phys. Chem. C 2011, 115, 15772–15777. [Google Scholar] [CrossRef]
- Kim, M.; Park, J.C.; Kim, A.; Park, K.H.; Song, H. Porosity Control of Pd@SiO2 Yolk-Shell Nanocatalysts by the Formation of Nickel Phyllosilicate and Its Influence on Suzuki Coupling Reactions. Langmuir 2012, 28, 6441–6447. [Google Scholar] [CrossRef]
- Park, J.C.; Bang, J.U.; Lee, J.; Ko, C.H.; Song, H. Ni@SiO2 yolk-shell nanoreactor catalysts: High temperature stability and recyclability. J. Mater. Chem. 2010, 20, 1239–1246. [Google Scholar] [CrossRef]
- Arnal, P.M.; Comotti, M.; Schuth, F. High-temperature-stable catalysts by hollow sphere encapsulation. Angew. Chem. -Int. Edit. 2006, 45, 8224–8227. [Google Scholar] [CrossRef] [PubMed]
- Lee, I.; Joo, J.B.; Yin, Y.D.; Zaera, F. A Yolk@Shell Nanoarchitecture for Au/TiO2 Catalysts. Angew. Chem. -Int. Edit. 2011, 50, 10208–10211. [Google Scholar] [CrossRef]
- Zaera, F. New Challenges in Heterogeneous Catalysis for the 21st Century. Catal. Lett. 2012, 142, 501–516. [Google Scholar] [CrossRef]
- Rioux, R.M.; Song, H.; Hoefelmeyer, J.D.; Yang, P.; Somorjai, G.A. High-surface-area catalyst design: Synthesis, characterization, and reaction studies of platinum nanoparticles in mesoporous SBA-15 silica. J. Phys. Chem. B 2005, 109, 2192–2202. [Google Scholar] [CrossRef] [PubMed]
- Pelletier, J.D.A.; Basset, J.M. Catalysis by Design: Well-Defined Single-Site Heterogeneous Catalysts. Acc. Chem. Res. 2016, 49, 664–677. [Google Scholar] [CrossRef]
- Copéret, C.; Comas-Vives, A.; Conley, M.P.; Estes, D.P.; Fedorov, A.; Mougel, V.; Nagae, H.; Núñez-Zarur, F.; Zhizhko, P.A. Surface Organometallic and Coordination Chemistry toward Single-Site Heterogeneous Catalysts: Strategies, Methods, Structures, and Activities. Chem. Rev. 2016, 116, 323–421. [Google Scholar] [CrossRef]
- Coperet, C. Single-Sites and Nanoparticles at Tailored Interfaces Prepared via Surface Organometallic Chemistry from Thermolytic Molecular Precursors. Acc. Chem. Res. 2019, 52, 1697–1708. [Google Scholar] [CrossRef]
- Jarupatrakorn, J.; Tilley, J.D. Silica-supported, single-site titanium catalysts for olefin epoxidation. A molecular precursor strategy for control of catalyst structure. J. Am. Chem. Soc. 2002, 124, 8380–8388. [Google Scholar] [CrossRef] [PubMed]
- Crocker, M.; Herold, R.H.M.; Orpen, A.G.; Overgaag, M.T.A. Synthesis and characterisation of titanium silasesquioxane complexes: Soluble models for the active site in titanium silicate epoxidation catalysts. J. Chem. Soc. –Dalton. Trans. 1999, 1999, 3791–3804. [Google Scholar] [CrossRef]
- Basset, J.M.; Coperet, C.; Soulivong, D.; Taoufik, M.; Cazat, J.T. Metathesis of Alkanes and Related Reactions. Acc. Chem. Res. 2010, 43, 323–334. [Google Scholar] [CrossRef]
- Coperet, C. C-H Bond Activation and Organometallic Intermediates on Isolated Metal Centers on Oxide Surfaces. Chem. Rev. 2010, 110, 656–680. [Google Scholar] [CrossRef]
- Groppo, E.; Martino, G.A.; Piovano, A.; Barzan, C. The Active Sites in the Phillips Catalysts: Origins of a Lively Debate and a Vision for the Future. ACS Catal. 2018, 8, 10846–10863. [Google Scholar] [CrossRef]
- McDaniel, M.P. A Review of the Phillips Supported Chromium Catalyst and Its Commercial Use for Ethylene Polymerization. In Advances in Catalysis; Gates, B.C., Knozinger, H., Jentoft, F.C., Eds.; Elsevier Academic Press Inc: San Diego, CL, USA, 2010; Volume 53, pp. 123–606. [Google Scholar]
- Groppo, E.; Lamberti, C.; Bordiga, S.; Spoto, G.; Zecchina, A. The structure of active centers and the ethylene polymerization mechanism on the Cr/SiO2 catalyst: A frontier for the characterization methods. Chem. Rev. 2005, 105, 115–183. [Google Scholar] [CrossRef] [PubMed]
- Sattler, J.; Ruiz-Martinez, J.; Santillan-Jimenez, E.; Weckhuysen, B.M. Catalytic Dehydrogenation of Light Alkanes on Metals and Metal Oxides. Chem. Rev. 2014, 114, 10613–10653. [Google Scholar] [CrossRef]
- Conley, M.P.; Delley, M.F.; Nunez-Zarur, F.; Comas-Vives, A.; Coperet, C. Heterolytic Activation of C-H Bonds on Cr-III-O Surface Sites Is a Key Step in Catalytic Polymerization of Ethylene and Dehydrogenation of Propane. Inorg. Chem. 2015, 54, 5065–5078. [Google Scholar] [CrossRef]
- Delley, M.F.; Silaghi, M.C.; Nunez-Zarur, F.; Kovtunov, K.V.; Salnikov, O.G.; Estes, D.P.; Koptyug, I.V.; Comas-Vives, A.; Coperet, C. X-H Bond Activation on Cr(III),O Sites (X = R, H): Key Steps in Dehydrogenation and Hydrogenation Processes. Organometallics 2017, 36, 234–244. [Google Scholar] [CrossRef]
- Crucianelli, M.; Bizzarri, B.M.; Saladino, R. SBA-15 Anchored Metal Containing Catalysts in the Oxidative Desulfurization Process. Catalysts 2019, 9, 984. [Google Scholar] [CrossRef]
- Lazzarini, A.; Colaiezzi, R.; Passacantando, M.; D’Orazio, F.; Arrizza, L.; Ferella, F.; Crucianelli, M. Investigation of physico-chemical and catalytic properties of the coating layer of silica-coated iron oxide magnetic nanoparticles. J. Phys. Chem. Solids 2021, 153, 110003. [Google Scholar] [CrossRef]
- Farzaneh, F.; Asgharpour, Z. Synthesis of a new schiff base oxovanadium complex with melamine and 2-hydroxynaphtaldehyde on modified magnetic nanoparticles as catalyst for allyl alcohols and olefins epoxidation. Appl. Organometal. Chem. 2019, 33, e4896. [Google Scholar] [CrossRef]
- Hamidipour, L.; Farzaneh, F. Immobilized VOsalpr on modified Fe3O4 nanoparticles as a magnetically separable epoxidation catalyst. C. R. Chim. 2014, 17, 927–933. [Google Scholar] [CrossRef]
- Gawande, M.B.; Monga, Y.; Zboril, R.; Sharma, R.K. Silica-decorated magnetic nanocomposites for catalytic applications. Coord. Chem. Rev. 2015, 288, 118–143. [Google Scholar] [CrossRef]
- Masteri-Farahani, M.; Tayyebi, N. A new magnetically recoverable nanocatalyst for epoxidation of olefins. J. Molec. Catal. A: Chem. 2011, 348, 83–87. [Google Scholar] [CrossRef]
- Sarkheil, M.; Lashanizadegan, M.; Ghiasi, M. High catalytic activity of magnetic Fe3O4@SiO2-Schiff base-Co(II) nanocatalyst for aerobic oxidation of alkenes and alcohols and DFT study. J. Molec. Struct. 2019, 1179, 278–288. [Google Scholar] [CrossRef]
- Bagherzadeh, M.; Bahjati, M.; Mortazavi-Manesh, A. Synthesis, characterization and catalytic activity of supported vanadium Schiff base complex as a magnetically recoverable nanocatalyst in epoxidation of alkenes and oxidation of sulfides. J. Organomet. Chem. 2019, 897, 200–206. [Google Scholar] [CrossRef]
- Lashanizadegan, M.; Alavijeh, R.K.; Sarkheil, M. Synthesis, characterization and catalytic activity of a heterogeneous copper Schiff base complex supported on iron oxide nanoparticles for the oxidation of olefins. React. Kinet. Mech. Catal. 2017, 120, 579–591. [Google Scholar] [CrossRef]
- Ghorbani-Choghamarani, A.; Ghasemi, B.; Safari, Z.; Azadi, G. Schiff base complex coated Fe3O4 nanoparticles: A highly reusable nanocatalyst for the selective oxidation of sulfides and oxidative coupling of thiols. Catal. Commun. 2015, 60, 70–75. [Google Scholar] [CrossRef]
- Veisi, H.; Rashtiani, A.; Rostami, A.; Shirinbayan, M.; Hemmati, S. Chemo-selective oxidation of sulfide to sulfoxides with H2O2 catalyzed by oxo-vanadium/Schiff-base complex immobilized on modified magnetic Fe3O4 nanoparticles as a heterogeneous and recyclable nanocatalyst. Polyhedron 2019, 157, 358–366. [Google Scholar] [CrossRef]
- Olia, F.K.; Sayyahi, S.; Taheri, N. An Fe3O4 nanoparticle-supported Mn (II)-azo Schiff complex acts as a heterogeneous catalyst in alcoholysis of epoxides. C. R. Chim. 2017, 20, 370–376. [Google Scholar] [CrossRef]
- Farzaneh, F.; Rashtizadeh, E. A new Cu Schiff base complex with histidine and glutaraldehyde immobilized on modified iron oxide nanoparticles as a recyclable catalyst for the oxidative homocoupling of terminal alkynes. J. Iran. Chem. Soc. 2016, 13, 1145–1154. [Google Scholar] [CrossRef]
- Costa, V.V.; Jacinto, M.J.; Rossi, L.M.; Landers, R.; Gusevskaya, E.V. Aerobic oxidation of monoterpenic alcohols catalyzed by ruthenium hydroxide supported on silica-coated magnetic nanoparticles. J. Catal. 2011, 282, 209–214. [Google Scholar] [CrossRef]
- García-López, E.I.; Marcì, G.; Krivtsov, I.; Casado Espina, J.; Liotta, L.F.; Serrano, A. Local Structure of Supported Keggin and Wells–Dawson Heteropolyacids and Its Influence on the Catalytic Activity. J. Phys. Chem. C 2019, 123, 19513–19527. [Google Scholar] [CrossRef]
- Wang, S.; Zhang, Z.; Liu, B.; Li, J. Silica coated magnetic Fe3O4 nanoparticles supported phosphotungstic acid: A novel environmentally friendly catalyst for the synthesis of 5-ethoxymethylfurfural from 5-hydroxymethylfurfural and fructose. Catal. Sci. Technol. 2013, 3, 2104–2112. [Google Scholar] [CrossRef]
- Farzaneh, F.; Rashtizadeh, E. Expedient Catalytic Access to Geraniol Epoxide Using a New Vanadium Schiff Base Complex on Modified Magnetic Nanoparticles. J. Sci. I. R. Iran. 2018, 29, 311–319. [Google Scholar] [CrossRef]
- Yang, Y.; Zhang, W.; Yang, F.; Zhou, B.; Zeng, D.H.; Zhang, N.; Zhao, G.M.; Hao, S.J.; Zhang, X. Ru nanoparticles dispersed on magnetic yolk-shell nanoarchitectures with Fe3O4 core and sulfoacid-containing periodic mesoporous organosilica shell as bifunctional catalysts for direct conversion of cellulose to isosorbide. Nanoscale 2018, 10, 2199–2206. [Google Scholar] [CrossRef]
- Halilu, A.; Ali, T.H.; Atta, A.Y.; Sudarsanam, P.; Bhargava, S.K.; Abd Hamid, S.B. Highly Selective Hydrogenation of Biomass-Derived Furfural into Furfuryl Alcohol Using a Novel Magnetic Nanoparticles Catalyst. Energy Fuels 2016, 30, 2216–2226. [Google Scholar] [CrossRef]
- Yuan, B.; Guan, J.; Peng, J.; Zhu, G.Z.; Jiang, J.H. Green hydrolysis of corncob cellulose into 5-hydroxymethylfurfural using hydrophobic imidazole ionic liquids with a recyclable, magnetic metalloporphyrin catalyst. Chem. Eng. J. 2017, 330, 109–119. [Google Scholar] [CrossRef]
- Yang, F.; Ding, Y.; Tang, J.J.; Zhou, S.J.; Wang, B.B.; Kong, Y. Oriented surface decoration of (Co-Mn) bimetal oxides on nanospherical porous silica and synergetic effect in biomass-derived 5-hydroxymethylfurfural oxidation. Molec. Catal. 2017, 435, 144–155. [Google Scholar] [CrossRef]
- Sidhpuria, K.B.; Daniel-da-Silva, A.L.; Trindade, T.; Coutinho, J.A.P. Supported ionic liquid silica nanoparticles (SILnPs) as an efficient and recyclable heterogeneous catalyst for the dehydration of fructose to 5-hydroxymethylfurfural. Green Chem. 2011, 13, 340–349. [Google Scholar] [CrossRef]
- Lee, Y.Y.; Wu, K.C.W. Conversion and kinetics study of fructose-to-5-hydroxymethylfurfural (HMF) using sulfonic and ionic liquid groups bi-functionalized mesoporous silica nanoparticles as recyclable solid catalysts in DMSO systems. Phys. Chem. Chem. Phys. 2012, 14, 13914–13917. [Google Scholar] [CrossRef] [PubMed]
- Su, H.; Wang, H.H.; Zhao, T.J.; Li, X.H. Nanoporous Carbon/Nitrogen Materials and their Hybrids for Biomass Conversion. In Nanoporous Catalysts for Biomass Conversion; Stevens, C.V., Xiao, F.S., Wang, L., Eds.; John Wiley & Sons: Hoboken, NJ, USA, 2017; pp. 55–77. [Google Scholar]
- Jin, X.; Dang, L.; Lohrman, J.; Subramaniam, B.; Ren, S.; Chaudhari, R.V. Lattice-Matched Bimetallic CuPd-Graphene Nanocatalysts for Facile Conversion of Biomass-Derived Polyols to Chemicals. ACS Nano 2013, 7, 1309–1316. [Google Scholar] [CrossRef] [PubMed]
- Bjelić, A.; Grilc, M.; Huš, M.; Likozar, B. Hydrogenation and hydrodeoxygenation of aromatic lignin monomers over Cu/C, Ni/C, Pd/C, Pt/C, Rh/C and Ru/C catalysts: Mechanisms, reaction micro-kinetic modelling and quantitative structure-activity relationships. Chem. Eng. J. 2019, 359, 305–320. [Google Scholar] [CrossRef]
- Li, J.; Zhang, J.-j.; Liu, H.-y.; Liu, J.-l.; Xu, G.-y.; Liu, J.-x.; Sun, H.; Fu, Y. Graphitic Carbon Nitride (g-C3N4)-derived Fe-N-C Catalysts for Selective Hydrodeoxygenation of 5-Hydroxymethylfurfural to 2,5-Dimethylfuran. ChemistrySelect 2017, 2, 11062–11070. [Google Scholar] [CrossRef]
- Yuan, G.; Wang, L.; Zhang, X.W.; Luque, R.; Wang, Q.F. Core-Shell Pt@Ir Nanothorns on Carbon Fiber Paper Electrodes for Carboxylic Acid Valorization via Kolbe Electrolysis. ACS Sustain. Chem. Eng. 2019, 7, 18061–18066. [Google Scholar] [CrossRef]
- Han, G.; Yan, T.; Zhang, W.; Zhang, Y.C.; Lee, D.Y.; Cao, Z.; Sun, Y. Highly Selective Photocatalytic Valorization of Lignin Model Compounds Using Ultrathin Metal/CdS. ACS Catal. 2019, 9, 11341–11349. [Google Scholar] [CrossRef]
- Zhang, L.L.; Ren, Y.J.; Liu, W.G.; Wang, A.Q.; Zhang, T. Single-atom catalyst: A rising star for green synthesis of fine chemicals. Natl. Sci. Rev. 2018, 5, 653–672. [Google Scholar] [CrossRef]
- Xuereb, D.J.; Dzierzak, J.; Raja, R. From zeozymes to bio-inspired heterogeneous solids: Evolution of design strategies for sustainable catalysis. Catal. Today 2012, 198, 19–34. [Google Scholar] [CrossRef]
- Coperet, C.; Chabanas, M.; Saint-Arroman, R.P.; Basset, J.M. Homogeneous and heterogeneous catalysis: Bridging the gap through surface organometallic chemistry. Angew. Chem. -Int. Edit. 2003, 42, 156–181. [Google Scholar] [CrossRef]
- Zhao, S.; Li, Y.Y.; Stavitski, E.; Tappero, R.; Crowley, S.; Castaldi, M.J.; Zakharov, D.N.; Nuzzo, R.G.; Frenkel, A.I.; Stach, E.A. Operando Characterization of Catalysts through use of a Portable Microreactor. ChemCatChem 2015, 7, 3683–3691. [Google Scholar] [CrossRef]





















| Entry | Biomass Origin | Refs. |
|---|---|---|
| 1 | Vine wood | [76] |
| 2 | Pomegranate wood | [77] |
| 3 | Soybean hull | [78] |
| 4 | Plantain peel | [79] |
| 5 | Coconut shell | [53,58,69,79] |
| 6 | Tomato waste | [77] |
| 7 | Langsat empty fruit bunch | [80] |
| 8 | Papaya peel | [81] |
| 9 | Papaya seeds | [64] |
| 10 | Rice husk | [57,82] |
| 11 | Beech | [69] |
| 12 | Pine wood | [69] |
| 13 | Corn cob | [64] |
| 14 | Peanut hull | [56] |
| 15 | Lemon peel | [63] |
| 16 | Chitosan | [83] |
| 17 | Olive stone | [66] |
| 18 | Oil palm | [57] |
Publisher’s Note: MDPI stays neutral with regard to jurisdictional claims in published maps and institutional affiliations. |
© 2021 by the authors. Licensee MDPI, Basel, Switzerland. This article is an open access article distributed under the terms and conditions of the Creative Commons Attribution (CC BY) license (https://creativecommons.org/licenses/by/4.0/).
Share and Cite
Lazzarini, A.; Colaiezzi, R.; Gabriele, F.; Crucianelli, M. Support–Activity Relationship in Heterogeneous Catalysis for Biomass Valorization and Fine-Chemicals Production. Materials 2021, 14, 6796. https://doi.org/10.3390/ma14226796
Lazzarini A, Colaiezzi R, Gabriele F, Crucianelli M. Support–Activity Relationship in Heterogeneous Catalysis for Biomass Valorization and Fine-Chemicals Production. Materials. 2021; 14(22):6796. https://doi.org/10.3390/ma14226796
Chicago/Turabian StyleLazzarini, Andrea, Roberta Colaiezzi, Francesco Gabriele, and Marcello Crucianelli. 2021. "Support–Activity Relationship in Heterogeneous Catalysis for Biomass Valorization and Fine-Chemicals Production" Materials 14, no. 22: 6796. https://doi.org/10.3390/ma14226796
APA StyleLazzarini, A., Colaiezzi, R., Gabriele, F., & Crucianelli, M. (2021). Support–Activity Relationship in Heterogeneous Catalysis for Biomass Valorization and Fine-Chemicals Production. Materials, 14(22), 6796. https://doi.org/10.3390/ma14226796

