Abstract
Reliable determination of 226Ra content in drinking water, surface water and groundwater is required for radiological health-risk assessment of populations and radiation-dose calculations after ingestion and inhalation. This study aimed to determine 226Ra presence in the untreated water samples on a liquid scintillation counter via Cherenkov radiation detection. Cherenkov counting is a faster, simpler, less expensive technique than other commonly used methods for 226Ra determination. Step-by-step optimization of this technique on the Quantulus detector is presented in this paper. Improvement of detection limit/efficiency in the presence of sodium salicylate was investigated in this study. The main parameters of the method obtained were detection efficiency 15.87 (24)% and detection limit 0.415 Bq/L achieved for 1000 min of counting in 20 mL of sample volume. When 1 g of sodium salicylate was added, efficiency increased to 38.1 (5)%, with a reduction in the detection limit to 0.248 Bq/L for 500 min of counting. A satisfactory precision level of Cherenkov counting was obtained, the results deviating between 5% and 20% from reference values. The precision and accuracy of the Cherenkov counting technique were compared to liquid scintillation counting (EPA Method 913.0 for radon determination) and gamma spectrometry (the direct method for the untreated water samples on HPGe spectrometer). An overview of the advantages/disadvantages of each technique is elaborated in this paper.
1. Introduction
Drinking water may contain radioactive isotopes that pose potential risks to human health. Isotopes from the primordial uranium-238 series are the predominant contribututors to irradiation risks due to the ingestion of drinking water [1]. It is important to detect radium (226Ra) presence in natural water samples, because it is one of the most hazardous naturally occurring radionuclides concerning internal radiation exposure. Determination of 226Ra in natural water is needed to assess the dose due to ingestion and the properties of 226Ra deposition in the bones and the urinary tract. It has been demonstrated [2] that mortality rate due to bone cancer significantly increased in the areas where tap water contained 226Ra in concentrations greater than 110 mBq/L. In the study [3], increased rates of bladder carcinoma in men, breast cancer in women and lung cancer in both sexes were recorded with increasing concentrations of 226Ra in drinking water. Research into the incidence of leukemia [4] showed correlation of the disease with 226Ra activity concentration higher than 185 mBq/L in the ground water. Therefore, in monitoring studies, it is desirable to develop a precise and accurate technique for the determination of the activity concentration of this radionuclide [5]. The permitted activity concentration of 226Ra in drinking water according to Serbian legislation is 0.49 Bq/L [6]. The international guidance level for naturally occurring 226Ra content in drinking water is set to 1 Bq/L, according to the World Health Organization [7].
226Ra can be detected directly via its α-particle or γ-ray emission. Another way is indirect measurement of the activity of its progenies where radioactive equilibrium is required: α-particles (emitted from 222Rn, 218Po, 214Po), β-particles (emitted from 214Pb, 214Bi) and γ-ray emitters (again 214Pb, 214Bi) allow indirect determination of 226Ra [8]. The EPA (Environmental Protection Agency) has approved 17 methods for 226Ra analysis in drinking water [9]. Seven of the approved methods use a radiochemical/precipitation methodology to measure the total soluble alpha-emitting radioisotopes of radium, namely, 223Ra, 224Ra and 226Ra; ten of the methods use a radon-emanation methodology that is specific to 226Ra. The radiochemical methods do not always give an accurate measurement of 226Ra content when other radium emitters are present, but can be used for the screening of the samples [9].
There have been few recent attempts in the literature to evaluate and compare numerous analytical methodologies for radium determination [10,11,12]. One study [10] evaluated gamma spectrometry, liquid scintillation counting (LSC) and alpha spectrometry for radium measurements in environmental samples, concluding that α-spectrometry coupled with chemical separation offered maximal sensitivity with a detection limit of ~0.1 mBq/L (approximately two orders of magnitude lower than low-background HPGe γ-spectrometry and LSC techniques). For monitoring purposes in water samples, α-particle spectrometry was determined as the most suitable technique for 226Ra measurements [12]. The latest study [11] determined that LSC spectrometry coupled with extractive techniques and alpha-beta discrimination offers the most accurate, rapid and relatively simple determination of 226Ra activity.
This paper presents an exploration of the Cherenkov counting technique on an LS counter, a method that has not been widely used for radium determination so far. The advantages of Cherenkov counting over common LSC methods are: lower background count-rates and consequently lower detection limits, non-usage of expensive, environmentally unfriendly LS cocktails, and, consequently, simpler sample preparation with environmentally friendly disposal [13,14]. It has been documented that Cherenkov counting can be used for detection of hard beta-emitting radionuclides via LSC, but its counting efficiency is sensitive to color quench, and depends on the emitted β-energy, the sample volume and its concentration, the type of counting vial, rthe efractive index and the type of photocathode [15]. The motivation for the experiments presented in this paper was the lack of exhaustive data in the literature concerning the optimization of LS counters and the reliability of Cherenkov radiation detection for the purpose of 226Ra activity measurements. The uniqueness of this research lies in the fact that scientific literature did not introduce exact data on detection limits and techniques for its reduction in the case of 226Ra measurement via Cherenkov counting. Therefore, this paper offers a novel, extensive analysis of Cherenkov counting via LS counter: a step-by-step optimization of the Quantulus 1220TM detector with an evaluation of the main parameters, such as selected spectral window, background count-rate, Minimal Detectable Activity MDA and detection efficiency. Results obtained in this research will complement to a large degree the existing experimental data concerning the relevance of the Cherenkov counting technique. The aim of the paper was to investigate the detection of 226Ra in water via Cherenkov radiation detection for monitoring of untreated water samples, and for that purpose, calibration samples and intercomparison samples were prepared with distilled water spiked with 226Ra solution. The results displayed in this research will supplement scientific literature with explicit and conclusive data on the possibilities, limitations and upgrades of the Cherenkov counting technique with regard to 226Ra determination in water using the Quantulus LS counter. The possible problem of interference by other radionuclides capable of generating Cherenkov radiation should be addressed in future work, and could involve pretreatment of water samples so that the presence of other radionuclides is eliminated.
Furthermore, we report that significant improvement in detection efficiency, and consequently lower detection limits, were achieved with the addition of sodium salicylate to the counting vial. The addition of sodium salicylate as a wavelength-shifter had been confirmed to increase the efficiency of Cherenkov counting in the case of 228Ra/228Ac [13] and 210Pb/210Bi [14] detection. The novelty of our research represents an investigation of the effects of sodium salicylate on 226Ra detection as well.
The second aim of the paper was to compare the precision and accuracy of the Cherenkov counting technique to two other commonly used methods for 226Ra determination in water: LSC and gamma spectrometry. The validity and performance of the analytical method can be appropriately examined via samples that contain known concentrations of 226Ra standard solution [11]. Therefore, intercomparison samples have been prepared with distilled water spiked with different concentrations of 226Ra isotope solution.
For 226Ra determination by LSC, EPA Method 913.0 for radon determination in drinking water [16] was tested. Many procedures for determining 226Ra activity concentrations in water involve the determination of 222Rn, its daughter product (either alone or together with its other daughter nuclides) by LSC techniques; therefore, any measurement of 226Ra will also be relevant to 222Rn. Lastly, 226Ra in water samples was determined by gamma spectrometry using the direct method on an HPGe spectrometer (the untreated water samples). The results of the presented experiments provide the basis for discussion on the performance, precision and accuracy of each method. Therefore, the second objective of the paper was to offer a survey of the comparative advantages and disadvantages of two other frequently utilized techniques for 226Ra determination in water.
2. Materials and Methods
2.1. Cherenkov Counting Method and Materials Used
To optimize the measurement method and to establish its main parameters, the counting of a set of calibration samples on the detector was carried out. The obtained measurements were used to determine the optimal spectral window (ROI), the detection efficiency and to conduct a Minimal Detectable Activity (MDA) evaluation. The detection efficiency ε was obtained from the following expression:
where CC [Bq] represents the reference activity of the 226Ra calibration sample (reference standard), and rC [cps] and r0 [cps] are the count-rates of the calibration sample and the background sample, respectively. Once the detection efficiency was established, the unknown sample activity concentration C [Bq/L] could be obtained as:
where V [L] and rS [cps] represent the analyzed volume and the count-rate of the water sample, respectively. The Currie relation can be used for the Minimal Detectable Activity MDA [Bq/L] parameter assessment [17]:
where t0 [s] represents the background counting time.
Cherenkov background rate varies with the vial type and the total sample volume. All experiments were performed using low-diffusion polyethylene vials (Super PE vial Cat.No. 6008117, PerkinElmer, Turku, Finland). Plastic vials transmit more light from Cherenkov radiation than glass vials [15]. Alternatively, glass vials could be used, but their 40K content would yield 2–3 times more background [18]. The sample volume was fixed at maximal vial capacity, 20 mL, since the Currie relation suggests that the increase in the analyzed volume proportionally reduces detection limits, Equation (3).
Cherenkov radiation was detected on an Ultra Low Level Liquid Scintillation Spectrometer Wallac 1220TM Quantulus manufactured by PerkinElmer Life Sciences (Turku, Finland). The spectra were acquired and analyzed by WinQ and Easy View software (version 1.D, PerkinElmer, Turku, Finland).
The sodium salicylate was of 99% grade, purchased from HiMedia Laboratories Pvt. Ltd. (Mumbai, India).
2.2. Liquid Scintillation Counting Method and Equipment
226Ra content in water samples was tested via the commonly used LSC technique for 222Rn measurement. All LSC samples were prepared in High-Performance Glass vials from PerkinElmer (Turku, Finland), with a total volume of 20 mL, and the prepared samples were counted on an LS counter Quantulus 1220TM (PerkinElmer, Turku, Finland).
The Quantulus spectrometer (PerkinElmer, Turku, Finland) has its own background reduction system around the vial chamber, which consists of a passive shield (lead, copper and cadmium) and an active shield as well. The mineral oil scintillator that surrounds the counting chamber presents the active shield of the instrument, since it has an additional pair of photomultiplier tubes that work in anticoincidence with the pair of photomultiplier tubes set around the counting chamber [19]. Low-activity materials were used in the construction of the Quantulus, which is an advantage when measuring low-level radiation activity. The Quantulus 1220TM has two MultiChannel Analyzers (MCA), each divided into two halves. One MCA is used for the active shield, and the second is used for the spectra record. The system is provided with two pulse analysis circuits accessible tousers: a Pulse Shape Analysis (PSA) and Pulse Amplitude Comparator (PAC) circuit. PSA discriminates alpha- from beta-radiations and directs them separately into two MCA halves, alpha-MCA or beta-MCA [19].
Determination of 226Ra in Water by EPA Method 913.0
The physical basis for this method is the fact that, when mixed with a scintillation cocktail, radon from the water sample always diffuses into the organic phase for which it has a much greater affinity than for water [20]. For the calibration and standardization, the Radium Solution Method was applied, where a standard of 100 mL of 226Ra solution was prepared such that the final activity was ~1.3 kBq/L. According to EPA Method 913.0 [16], 10 mL of the diluted standard was transferred into a 20 mL scintillation vial, to which 10 mL of the scintillation cocktail had been added. The background samples were prepared using 10 mL of distilled water mixed with 10 mL of the same scintillation cocktail. The standards and the background samples were set aside for 30 days to allow radon to attain secular equilibrium. The samples were then counted for 50 min in an LS counter using an energy discrimination circuit for alpha/beta particles (PSA circuit). All LSC samples (10 mL of sample + 10 mL of scintillation cocktail) were prepared in 20 mL High-Performance Glass vials (Perkin Elmer) [20]. A selection of scintillation cocktails suitable for organic samples was tested for 226Ra determination: OptiPhase HiSafe 3 and Ultima Gold AB (water-miscible cocktails); Ultima Gold F, Mineral Oil Scintillator and OptiFluor O (water-immiscible cocktails).
For the optimal window selection, a radium standard was counted for 5 min. The region of the greatest alpha activity defined by two or three large peaks (generated by 222Rn, 218Po, 214Po) in the energy spectrum, varied in shape for different scintillation cocktails. The optimal window was formed according to the highest FOM value and was fixed for each of the cocktails used [21]. Verification of standard EPA Method 913.0 was done with a set of standard referent 226Ra sources.
The PSA parameter influence was investigated with the set of 226Ra standards for each of the cocktails used, and left for 1 month after preparation to reach radioactive equilibrium. PSA variation impacted the CF (Calibration Factor) value which then impacted the calculated 226Ra activity of the sample. It was determined that it was not necessary to set the PSA parameter at the crossover point (e.g., the least alpha/beta misclassification) before the sample measurement. The most important factor was to keep the PSA parameter fixed during CF determination and sample counting, in which case the PSA value itself did not influence 226Ra determination significantly [22].
Calibration factor (CF) [cpm/Bq] was calculated as follows [16]:
where S [cpm] and B [cpm] are the standard and the background count-rates, respectively, C0 [Bq/L] represents the concentration of 226Ra standard and V [L] is its total volume. The activity of 226Ra in the unknown water sample C [Bq/L] and its 2σ uncertainty (95% CI) were obtained using the following equations [16]:
where G [cpm] is the gross count-rate of the sample, V [L] is the volume of sample, TB [min] and TG [min] represents the duration of the background and sample counting, respectively.
Evaluation of Minimum Detectable Activity (MDA) [Bq/L] for 226Ra in water samples could be carried out either via Currie relation, Equation (3) or based on the measurement uncertainty of the background, u(B) [cpm]:
Equation (7) follows directly from Currie relation, Equation (3) when long and equal background and sample counting times are assumed.
2.3. Gamma Spectrometry Method and Equipment
All water samples were measured in a Marinelli beaker (0.5 L) without any chemical pretreatment by Canberra HPGe spectrometer, nominal efficiency of 35%, FWHM of 1.77 keV. A passive detector shield was made from 12 cm thick lead and an inner layer of 3 cm thick copper. The typical measurement time was 50,000 s. All measurement uncertainties are presented at a confidence level of 95% [23,24]. The most intensive post-radon lines of 214Pb and 214Bi (295.2 keV, 351.9 keV, 609.3 keV, 1120.3 keV) were used to calculate the 226Ra content of the samples. True coincidence corrections were applied to determine the activity from the 214Bi line. The gamma spectra were acquired and analyzed using the Canberra Genie 2000 software (Mirion Technologies Inc, Atlanta, GA, USA). The program calculates the activity concentration of an isotope from all prominent gamma lines after peaked background subtraction. The detector was calibrated using a standard reference radioactive material in a Marinelli beaker (multigamma standard resin matrix 152Eu, produced by FRAMATOM, France). Self-absorption effects due to different matrices/densities were taken into account using the efficiency transfer software ANGLE based on the concept of the effective solid angle [25,26]. During measurements, beakers were hermetically secured with tape.
2.4. Intercomparison Samples
A standard radioactive source, 226Ra, produced by Czech Metrology Institute, Inspectorate for Ionizing Radiation (Brno, Czech Republic), activity concentration of C0 = 39.67 Bq/mL on the reference date 1/10/2013, was used for the sample preparation. Samples were prepared with distilled water in 2 L plastic bottles, acidified with HNO3 and left in the laboratory for the time necessary radioactive equilibrium to be reached between 222Rn and 226Ra (~30 days). All measurements presented in the paper were carried out throughout the year 2017.
3. Results
3.1. Optimization of Cherenkov Counting Method
Cherenkov spectra are generated on Quantulus 1220TM when the counting protocol is set up manually. The system configuration is explicitly displayed in the previous publication [18]. The counting was carried out on a high coincidence bias, since Cherenkov pulses are high amplitude pulses. The obtained spectral shapes of the 226Ra calibration sample (with and without sodium salicylate addition) are presented in Figure 1.
Figure 1.
Generated Cherenkov spectra of 226Ra solution (C0 = 15.87 Bq).
A significant number of Cherenkov photons cannot be detected by the photomultipliers placed in the LS counter since they are generated in the ultraviolet region. However, sodium salicylate added in a counting vial acts as awavelength shifter—it absorbs ultraviolet photons and re-emits them at longer wavelengths. This shift in wavelengths consequently leads to the detection of more photons and an increment in counting efficiency. In the case of 210Pb/210Bi detection, it was demonstrated that the addition of sodium salicylate > 1 mg/g increased detection efficiency due to the combination of wavelength shifting and the production of more scintillation light [14]. It is clear that the presence of sodium salicylate in 226Ra solution similarly generates a more intensive Cherenkov spectrum as seen in Figure 1.
The first step in method optimization was the selection of the optimal spectral window (ROI) which was carried out considering the count-rates of one vial with 226Ra solution and one background sample, requiring the maximal FOM [s] = ε2/r0, Figure Of Merit value. From the results in Table 1, one can observe that optimal ROI was established between 130 and 400 channels, since it provided maximal FOM, while MDA was as minimal as possible.
Table 1.
Optimal spectral window selection (fine-tuning of ROI).
Calibration of the Quantulus detector facilitated determination of detection efficiency, which was experimentally assessed with an asset of five calibration samples, 226Ra solutions with increasing 226Ra activity. These samples were prepared in three probes containing distilled water and increasing amounts of the certified 226Ra activity, with a total volume of 20 mL in polyethylene vials. Each sample was counted in 6 cycles for 100 min. The obtained results are displayed in Figure 2a, where detection efficiency, 15.87 (24)%, was determined from the slope of the linear fit (with the intercept set to zero) of the data.
Figure 2.
Cherenkov counting technique optimization for 226Ra determination in water: (a) Results of the calibration procedure; (b) MDA achieved.
According to Equation (3), detection limits were evaluated while measurement duration was varied. MDA behavior is displayed in Figure 2b, and it can be observed that MDA~0.5 Bq/L (the limit set by the legislation in Serbia [6]) can be reached for 1000 min of counting.
Long counting times may be one of the drawbacks of the Cherenkov counting method, but there are ways to achieve lower MDAs with reduced measurement duration.
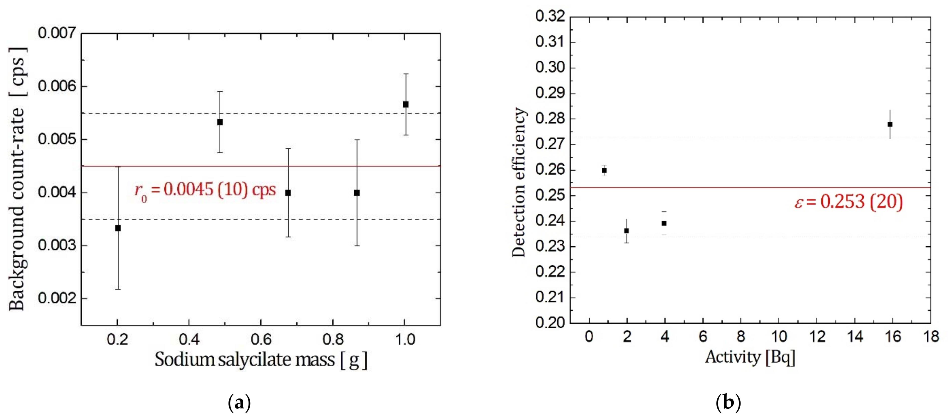
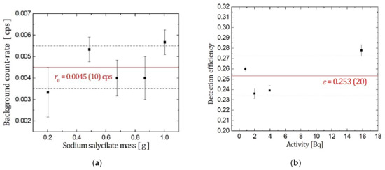
Small amounts of sodium salicylate added to the counting vial can significantly intensify the Cherenkov spectrum, as seen in Figure 1, meaning that the detection efficiency increases and MDA proportionally decreases. As shown in Figure 3, the effect of sodium salicylate addition to 226Ra calibration samples was tested. The graph from Figure 3a shows that an increasing mass of sodium salicylate added to the vials did not influence the count-rates of the background samples, therefore, the value r0 = 0.0045(10) cps can be regarded as constant. On the graph in Figure 3b, the consistency of the sodium salicylate addition was examined; a few samples were prepared with a different 226Ra activity into which the same mass of sodium salicylate, 0.2 g, was added. In all samples, the detection efficiency increased from 15.87 (24)% to the mean value 25.3 (20)%. These measurements indicate that sodium salicylate addition gives consistent results and provides stable samples, since the experimental results showed satisfactory repeatability. The addition of sodium salicylate to the counting vials during 226Ra measurement produced a similar effect on detection efficiency, as reported in the case of 210Pb/210Bi detection [14] and 228Ra/228Ac detection [13] via Cherenkov counting.
Figure 3.
The addition of sodium salicylate: (a) increasing amounts added to the background samples; (b) 0.2 g added to 226Ra solution samples with different activities.
One other alternative for MDA decrement is to proportionally increase the sample volume that is being analyzed, which is evident in Equation (3). The radioactive content of the sample would be preconcentrated if the sample were evaporated before counting. In previous research, where 210Pb/210Bi detection via Cherenkov counting was explored, it was shown that a 10-fold reduction in MDA was accomplished when distilled water sample was evaporated from 200 mL to 20 mL, while the count-rate of a background sample was not altered [27].
The summation of the improvement of the method’s most important parameters is given in Table 2. One can conclude that the addition of 0.2 g of sodium salicylate to the counting vials ensures that MDA below the permitted levels in our country could be achieved during 500 min of counting. Moreover, in the case of the addition of 1 g of sodium salicylate to a 226Ra solution vial, the detection efficiency was enhanced to 38.3 (5)%, high enough that satisfactory MDA levels could be achieved for the purpose of routine radiological screening of samples. If lower MDA is required, the Cherenkov counting technique may have better sensitivity if the samples are evaporated before the counting. The combination of the sample’s evaporation from 200 mL to 20 mL, with the addition of 1 g of sodium salicylate, provided MDA = 0.025 Bq/L, which implies that the Cherenkov counting method has the potential for more sensitive radiological analysis of samples.
Table 2.
Characteristic parameters in the case of the method’s improvement.
3.2. A Survey on Other Methods for 226Ra Determination
Before the evaluation of the EPA 913.0 method (“LSC-radon” technique) for the determination of 226Ra content in water samples, some experiments were conducted to test the performance of several scintillation cocktails for radium measurements. Ultima Gold AB and OptiPhase HiSafe 3 are water-miscible cocktails and form homogeneous samples, while Ultima Gold F, Mineral Oil and OptiFluor O are water-immiscible; from these, the two-phase samples were obtained. It was previously mentioned that the EPA 913.0 method is generally recommended for 222Rn activity concentration measurements, but it can be applied for 226Ra determination in samples that are known to have achieved secular equilibrium. For all of the used cocktails, calibration of the system was carried out according to the previously described procedure, which included CF determination, CF vs. PSA investigation, MDA calculation, etc. The majority of these measurements are reported in the previous research [21]. Results of measurements on the spiked 226Ra samples prepared with five different cocktails are displayed in Table 3. Samples mixed with Ultima Gold F and High-Performance Mineral Oil Scintillator cocktail (PerkinElmer) gave the best match concerning all referential 226Ra activity concentrations. High-Performance Mineral Oil Scintillator is often recommended for radon analysis. Optifluor O had the poorest performance in these experiments. The rest of the experiments concerning the comparison of the Cherenkov counting technique with the LSC-radon method were carried out only with the Ultima Gold F cocktail.
Table 3.
Results were obtained on the intercomparison samples prepared with different scintillation cocktails used with the LSC-radon method.
Table 4 shows the activity concentrations of the spiked samples obtained by three measurement techniques evaluated in this research.
Table 4.
Results of intercomparison.
First of all, the precision of the Cherenkov counting technique was investigated based on the measurement of the spiked samples, where the obtained activity concentrations had a relative deviation between 5and 20%. This indicates that Cherenkov radiation detection can provide a reliable estimation of 226Ra content in water samples. The results obtained via the other two commonly used methods offered the opportunity to compare those methods’ performances, advantages and drawbacks with those of the Cherenkov detection technique.
Results from gamma-spectrometric measurements have shown relative deviation <20%, except for the last sample with the greatest activity, for which the deviation was 69%. This discrepancy could be explained by the potential loss of 222Rn from the Marinelli beaker if the hermetical sealing was not perfect.
The obtained experimental results for 226Ra determination in the spiked water samples by LSC-radon method with Ultima Gold F scintillation cocktail had a relative deviation of 15% or less, which makes this method the most reliable for 226Ra measurements among the investigated methods.
With regard to detection limits, it can be observed in Figure 2b and Table 2 that the Cherenkov counting technique produced MDA = 0.415 Bq/L (slightly below the limit permitted by Serbian legislation [6]) over the total counting time of 1000 min, or for less than 500 min in the case of sodium salicylate addition (more precisely, it can be achieved in 300 min of counting when 1 g of sodium salicylate is added). For the purpose of comparison with other investigated methods, minimal detectable activity (MDA) vs. measurement time for 226Ra determination in water by: (a) gamma spectrometry, and (b) LSC-radon method when Ultima Gold F scintillator is used, is presented in Figure 4.
Figure 4.
MDA for 226Ra determination in water by: (a) gamma-spectrometry; (b) LSC-radon method using Ultima Gold F scintillator.
The presented graphs also contain equations the experimental data are fitted to. Distilled water was used as a blank sample for all investigated techniques. For the gamma-spectroscopic measurements, it was observed that MDA = 0.45 Bq/L when the measurement time was 20 h—therefore, gamma spectrometry offers the same MDA but for a longer measurement time in comparison with Cherenkov counting (without sodium salicylate). For the LSC-radon method. when samples were prepared with Ultima Gold F scintillator, MDA was calculated to be ~0.1 Bq/L for the total counting time of 300 min, which indicates that Cherenkov counting (without sodium salicylate) provides detection limits 10 times higher (or ~5 times higher in the case of sodium salicylate addition) than the LSC-radon method for the same measurement times.
The overall comparison of the advantages and disadvantages of all presented methods can be summarized in the conclusions presented in Table 5.
Table 5.
Characteristic parameters for the presented methods (the untreated water samples).
4. Discussion
Cherenkov’s counting technique offers satisfactory precision with deviations <20%. In its original form, it is a simple, non-expensive and non-destructive technique that offers reliable 226Ra screening in small-volumes water samples via LS counter. The purpose of this paper was to explore the Cherenkov counting technique on the Quantulus detector and the main parameters (efficiency, detection limit, reliability and precision) of the method. However, the most important drawback occurs if the sample contains other radionuclides besides 226Ra that can produce the Cherenkov spectrum, in which case, the interferences appear in the generated spectra, and chemical pretreatment is required before the counting. Further research should deal with the possible presence of 40K in groundwater (and, consequently, in drinking water) that can generate Cherenkov radiation and thus interfere with the 226Ra spectrum. A preconcentration step coupled with chemical separation should be carried out prior to counting to eliminate naturally occurring radionuclides, 40K or progenies from U and Th series [10]. Another drawback is the long counting time of 1000 min if endeavoring to reach the acceptable MDA parameter. However, the addition of 1 g of sodium salicylate ensures that detection limits below those legally permittedcan be reached within 300 min of counting. The investigation presented in this paper demonstrated that repeatable results are obtainable in the case of sodium salicylate addition.
Gamma spectrometry is a non-destructive and direct method that provided measurements of 226Ra content that were not reliable in higher activity concentrations (for C(226Ra) > 10 Bq/L). Its MDA is lower than the limit permitted by the legislation in Serbia [6], but it requires 20 h of measurement to achieve it. On the other hand, the LSC-EPA 913.0 method gave acceptable results on all 226Ra activity concentrations examined. This method is very simple, but it is destructive, since the sample is mixed with a scintillation cocktail. Very low detection limits can be achieved during measurements, which correspond to critical levels determined in studies [2,3,4] that impact human health. Precise and reliable results, the small sample volume required for the analysis and low MDA values make the LSC-radon method the most adequate among all those presented for medical research, epidemiologic studies and the dose assessment of drinking water.
5. Conclusions
Cherenkov counting technique for 226Ra determination in water was optimized on a Quantulus LS counter. The method was simple, rapid, and inexpensive. To date, the literature has not provided data on the Cherenkov counting technique for 226Ra determination on Quantulus. Therefore, the presented research enabled the assessment of the method’s potential in the field of routine radiological analysis of samples. The obtained detection efficiency was 15.87 (24)%, with a detection limit of MDA = 0.415 Bq/L for 1000 min of counting. The analyzed sample volume was 20 mL, and water samples were not pretreated. Long measurement time was shortened in the case of sodium salicylate addition, in which case 1 g of sodium salicylate increased efficiency to 38.1 (5)% with a reduction in the detection limit to MDA = 0.248 Bq/L for 500 min of counting. Sodium salicylate addition provided repeatable results. Additionally, if sample evaporation was performed before the counting, the detection limit was reduced proportionally to volume reduction during evaporation. Cherenkov counting offered reliable 226Ra measurement with satisfactory precision, since relative deviation was less than 20%. Although Cherenkov counting is a very efficient screening tool for 226Ra determination, the problem of interferences with other radionuclides capable of generating Cherenkov photons, such as 40K, should be addressed in future work.
A brief comparison of the Cherenkov counting method with two other common measurement methods for the determination of 226Ra activity concentrations in water was also conducted. MDA determined via gamma spectrometry was 0.45 Bq/L for 20 h of measurement, and the activity concentrations of spiked samples had larger deviations than the ones obtained by the Cherenkov counting technique. The LSC-radon measurement technique resulted in MDA = 0.1 Bq/L for 300 min of measurement, with relative deviations less than 15%. It can be concluded that the most precise results for 226Ra measurements were yielded by the LSC-radon method, which is relatively fast, does not require any chemical pretreatment of samples, and requires a sample volume of only 10 mL. The advantage of the Cherenkov counting technique in comparison with the LSC-radon method lies in the fact that no scintillation cocktail is needed for the sample analysis, which makes this technique, besides being less expensive and non-destructive, also environmentally friendly and safe from the ecological perspective, with regard to the storage of samples after their counting.
Author Contributions
Conceptualization, I.S., N.T. and J.N.; methodology, I.S., N.T. and J.N.; software, M.G.; validation, B.R.; formal analysis, I.S. and B.R.; investigation, N.T. and J.N.; resources, M.G.; data curation, M.G.; writing—original draft preparation, I.S.; writing—review and editing, I.S., N.T., B.R. and J.N.; supervision, M.G.; project administration, M.G.; funding acquisition, M.G. All authors have read and agreed to the published version of the manuscript.
Funding
This work was financially supported by the Provincial Secretariat for Higher Education and Scientific Research under the projects "Development of an environmentally safe method based on ionic liquids for the investigation of radiological content of drinking water in Vojvodina" No. 142-451-2373/2021-01, as well as by the Ministry of Education, Science and Technological Development of the Republic of Serbia under the projects no. 451-03-9/2021-14/200156 (“Innovative scientific and artistic research from the FTS (activity) domain”) and no. 451-03-9/2021-14/200125.
Institutional Review Board Statement
Not applicable.
Informed Consent Statement
Not applicable.
Data Availability Statement
The data presented in this study are available on request from the corresponding author.
Conflicts of Interest
The authors declare no conflict of interest. The funders had no role in the project.
References
- Sources and Effects of Ionizing Radiation. Available online: https://www.unscear.org/unscear/en/publications/2000_1.html (accessed on 1 October 2021).
- Petersen, N.J.; Samuels, L.D.; Lucas, H.F.; Abrahams, S.P. An Epidemiologic Approach to Low-Level Radium 226 Exposure. Public Health Rep. 1966, 81, 805. [Google Scholar] [CrossRef] [PubMed]
- Bean, J.A.; Isacson, P.; Hausler, J.W.J.; Kohler, J. Drinking Water and Cancer Incidence in Iowa. Am. J. Epidemiol. 1982, 116, 912–923. [Google Scholar] [CrossRef] [PubMed]
- Lyman, G.H. Association of Leukemia with Radium Groundwater Contamination. JAMA 1985, 254, 621. [Google Scholar] [CrossRef] [PubMed]
- Chalupnik, S.; Lebecka, J.; Mielnikow, A.; Michalik, B. Determining radium in water: Comparison of methods. In Advances in Liquid Scintillation Spectrometry, 1994; Cook, G.T., Harkness, D.D., MacKenzie, A.B., Miller, B.F., Scott., E.M., Eds.; Radiocarbon Publishers: Tuscon, AZ, USA, 1996; pp. 103–109. [Google Scholar]
- Rulebook on Limits of Radionuclide Content in Drinking Water, Food, Feed, Medicine, Objects of General Use, Building Materials and Other Goods Placed on the Market. Available online: https://www.pravno-informacioni-sistem.rs/SlGlasnikPortal/eli/rep/sgrs/drugidrzavniorganiorganizacije/pravilnik/2018/36/1/reg (accessed on 1 October 2021).
- Guidelines for Drinking-Water Quality. Available online: https://www.who.int/publications/i/item/9789241549950 (accessed on 1 October 2021).
- Köhler, M.; Preuße, W.; Gleisberg, B.; Schäfer, I.; Heinrich, T.; Knobus, B. Comparison of methods for the analysis of 226Ra in water samples. Appl. Radiat. Isot. 2002, 56, 387–392. [Google Scholar] [CrossRef]
- Compendium of EPA-Approved Analytical Methods for Measuring Radionuclides in Drinking Water. Available online: https://www.epa.gov/sites/default/files/2019-06/documents/compendium_of_epa-approved_analytical_methods_for_measuring_radionuclides_in_drinking_water.pdf (accessed on 1 October 2021).
- Jia, G.; Jia, J. Determination of radium isotopes in environmental samples by gamma spectrometry, liquid scintillation counting and alpha spectrometry: A review of analytical methodology. J. Environ. Radioact. 2012, 106, 98–119. [Google Scholar] [CrossRef] [PubMed]
- Al-Hamarneh, I.F.; Almasoud, F.I. A comparative study of different radiometric methodologies for the determination of 226Ra in water. Nucl. Eng. Technol. 2018, 50, 159–164. [Google Scholar] [CrossRef]
- Vasile, M.; Benedik, L.; Altzitzoglou, T.; Spasova, Y.; Wätjen, U.; De Orduna, R.G.; Hult, M.; Beyermann, M.; Mihalcea, I. 226Ra and 228Ra determination in mineral waters—Comparison of methods. Appl. Radiat. Isot. 2009, 68, 1236–1239. [Google Scholar] [CrossRef] [PubMed]
- Aleissa, K.A.; Almasoud, F.I.; Islam, M.S.; L’Annunziata, M.F. Radium-228 analysis of natural waters by Cherenkov counting of Actinium-228. Appl. Radiat. Isot. 2008, 66, 1954–1963. [Google Scholar] [CrossRef]
- Wang, Y.; Yang, Y.; Song, L.; Ma, Y.; Luo, M.; Dai, X. Effects of sodium salicylate on the determination of Lead-210/Bismuth-210 by Cerenkov counting. Appl. Radiat. Isot. 2018, 139, 175–180. [Google Scholar] [CrossRef]
- Al-Masri, M.S. Cerenkov counting technique. J. Radioanal. Nucl. Chem. 1996, 207, 205–213. [Google Scholar] [CrossRef]
- Hahn, P.B.; Pia, S.H. Determination of Radon in Drinking Water by Liquid Scintillation Counting Method 913.0. Available online: https://nepis.epa.gov/Exe/ZyNET.exe/91021ESM.TXT?ZyActionD=ZyDocument&Client=EPA&Index=1991+Thru+1994&Docs=&Query=&Time=&EndTime=&SearchMethod=1&TocRestrict=n&Toc=&TocEntry=&QField=&QFieldYear=&QFieldMonth=&QFieldDay=&IntQFieldOp=0&ExtQFieldOp=0&XmlQuery=&File=D%3A%5Czyfiles%5CIndex%20Data%5C91thru94%5CTxt%5C00000031%5C91021ESM.txt&User=ANONYMOUS&Password=anonymous&SortMethod=h%7C-&MaximumDocuments=1&FuzzyDegree=0&ImageQuality=r75g8/r75g8/x150y150g16/i425&Display=hpfr&DefSeekPage=x&SearchBack=ZyActionL&Back=ZyActionS&BackDesc=Results%20page&MaximumPages=1&ZyEntry=1&SeekPage=x&ZyPURL (accessed on 1 October 2021).
- Currie, L.A. Limits for qualitative detection and quantitative determination. Application to radiochemistry. Anal. Chem. 1968, 40, 586–593. [Google Scholar] [CrossRef]
- Todorović, N.; Stojković, I.; Nikolov, J.; Tenjović, B. 90Sr determination in water samples using Čerenkov radiation. J. Environ. Radioact. 2017, 169–170, 197–202. [Google Scholar] [CrossRef] [PubMed]
- Quantulus 1220. Instrument Manual, Ultra Low Level Liquid Scintillation Spectrometer; 1220-931-06; PerkinElmer: Turku, Finland, 2002. [Google Scholar]
- Todorović, N.; Jakonić, I.; Nikolov, J.; Hansman, J.; Vesković, M. Establishment of a method for 222Rn determination in water by low-level liquid scintillation counter. Radiat. Prot. Dosim. 2014, 162, 110–114. [Google Scholar] [CrossRef] [PubMed]
- Nikolov, J.; Stojković, I.; Todorović, N.; Tenjović, B.; Vuković, S.; Knežević, J. Evaluation of different LSC methods for 222Rn determination in waters. Appl. Radiat. Isot. 2018, 142, 56–63. [Google Scholar] [CrossRef] [PubMed]
- Stojković, I.; Todorović, N.; Nikolov, J.; Tenjović, B. PSA discriminator influence on 222Rn efficiency detection in waters by liquid scintillation counting. Appl. Radiat. Isot. 2016, 112, 80–88. [Google Scholar] [CrossRef] [PubMed]
- Todorovic, N.; Forkapic, S.; Bikit, I.; Mrdja, D.; Veskovic, M.; Todorovic, S. Monitoring for exposures to TENORM sources in Vojvodina region. Radiat. Prot. Dosim. 2010, 144, 655–658. [Google Scholar] [CrossRef] [PubMed][Green Version]
- Todorović, N.; Hansman, J.; Mrđa, D.; Nikolov, J.; Kardos, R.; Krmar, M. Concentrations of 226 Ra, 232Th and 40K in industrial kaolinized granite. J. Environ. Radioact. 2017, 168, 10–14. [Google Scholar] [CrossRef] [PubMed]
- Moens, L.; De Donder, J.; Xi-Lei, L.; De Corte, F.; De Wispelaere, A.; Simonits, A.; Hoste, J. Calculation of the absolute peak efficiency of gamma-ray detectors for different counting geometries. Nucl. Instrum. Methods. Phys. Res. 1981, 187, 451–472. [Google Scholar] [CrossRef]
- Stanić, G.; Nikolov, J.; Tucaković, I.; Mrđa, D.; Todorovic, N.; Grahek, Z.; Coha, I.; Vraničar, A. Angle vs. LabSOCS for HPGe efficiency calibration. Nucl. Instrum. Methods Phys. Res. Sect. A Accel. Spectrom. Detect. Assoc. Equip. 2018, 920, 81–87. [Google Scholar] [CrossRef]
- Stojković, I.; Todorović, N.; Nikolov, J.; Tenjović, B.; Gadžurić, S.; Tot, A.; Vraneš, M. 210Pb/210Bi detection in waters by cherenkov counting—perspectives and new possibilities. Radiat. Phys. Chem. 2019, 166, 108474. [Google Scholar] [CrossRef]
Publisher’s Note: MDPI stays neutral with regard to jurisdictional claims in published maps and institutional affiliations. |
© 2021 by the authors. Licensee MDPI, Basel, Switzerland. This article is an open access article distributed under the terms and conditions of the Creative Commons Attribution (CC BY) license (https://creativecommons.org/licenses/by/4.0/).



