Modulation of the PLLA Morphology through Racemic Nucleation to Reach Functional Properties Required by 3D Printed Durable Applications
Abstract
1. Introduction
2. Materials and Methods
2.1. Experiments
2.2. Characterization
2.2.1. Chemical Structure and Thermal Behavior
2.2.2. Deep Characterization of Selected Blend
3. Results
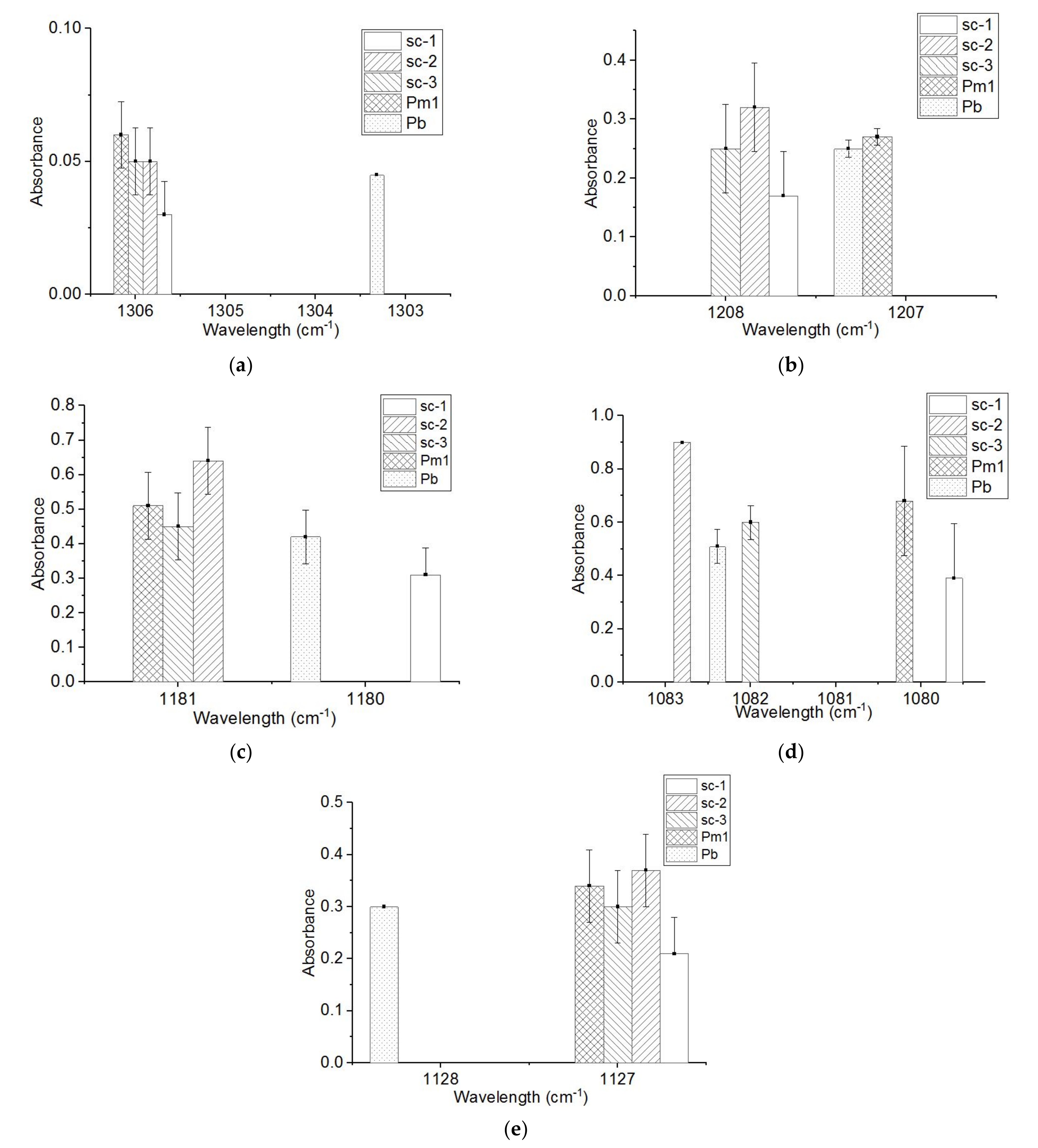
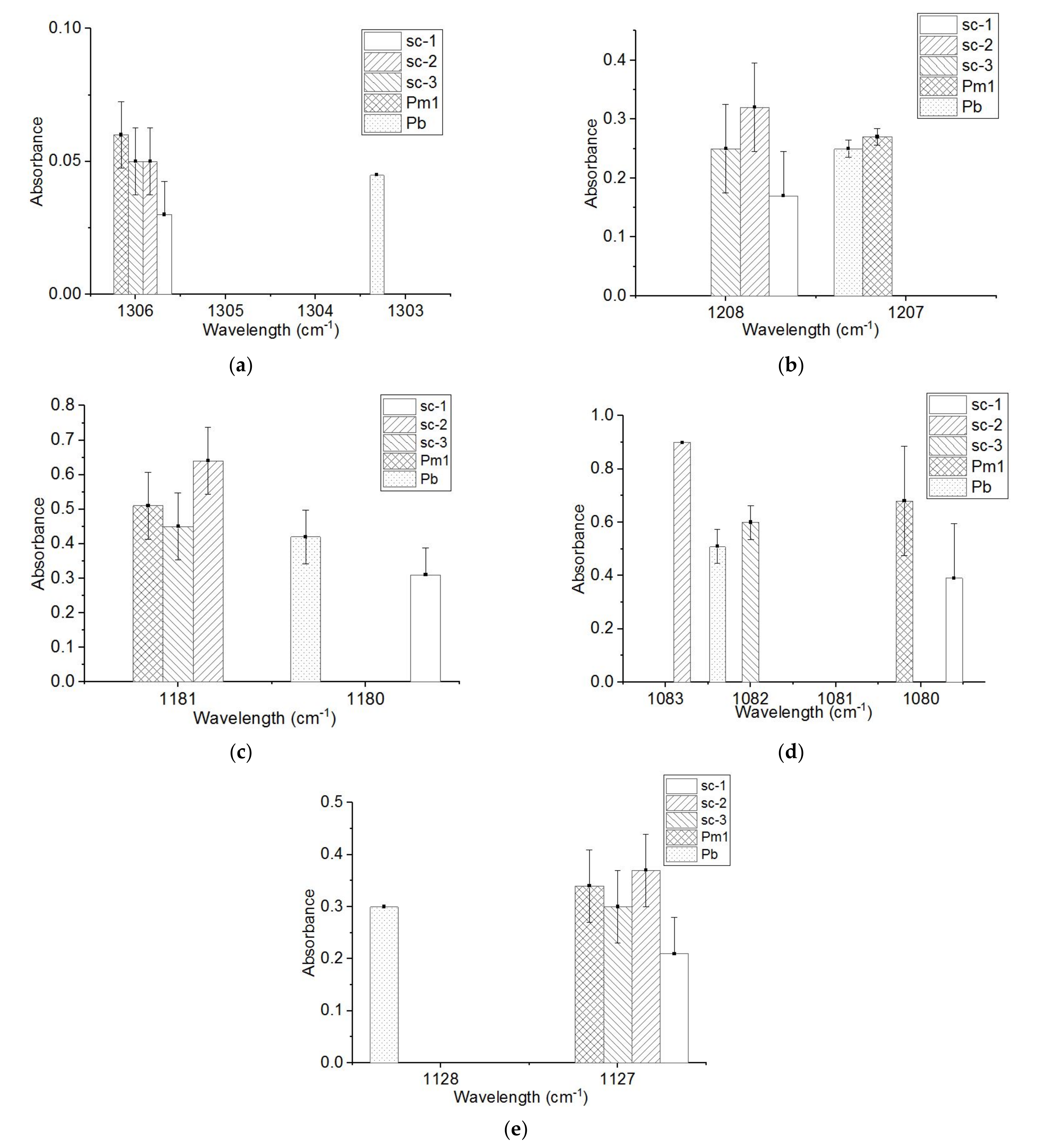
3.1. FTIR Analysis
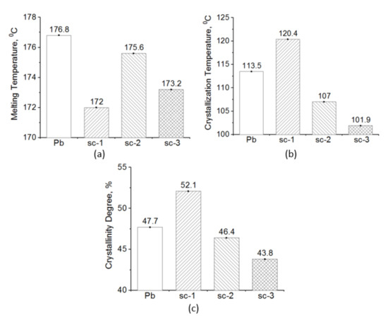
3.2. DSC Analysis
3.3. POM, SEM and AFM Morphologies
3.4. Functional Properties of Stereo-Complexed PLA
3.5. Shapeability of Selected Stereo-Complexed PLA as Filaments for 3D Printing
4. Discussion
5. Conclusions
Author Contributions
Funding
Institutional Review Board Statement
Informed Consent Statement
Data Availability Statement
Conflicts of Interest
References
- Xiao, L.; Wang, B.; Yang, G.; Gauthier, M. Poly (Lactic Acid)-based biomaterials: Synthesis, modification and applications. Biomed. Sci. Eng. Technol. 2012, 11, 247–282. [Google Scholar]
- Refaa, Z.; Boutaous, M.; Rousset, F.; Fulchiron, R.; Zinet, M.; Xin, S.; Bourgin, P. Crystallization kinetics of Poly-(Lactic Acid) with and without talc: Optical microscopy and calorimetric analysis. AIP Conf. Proc. 2014, 1593, 342–346. [Google Scholar]
- Nomai, J.; Suksut, B.; Schlarb, A.K. Crystallization behavior of Poly (lactic acid)/titanium dioxide nanocomposites. KMUTNB Int. J. Appl. Sci. Technol. 2015, 8, 251–258. [Google Scholar] [CrossRef][Green Version]
- Castro-Aguirre, E.; Iniguez-Franco, F.; Samsudin, H.; Fang, X.; Auras, R. Poly(lactic acid)—Mass production, processing, industrial applications, and end of life. Adv. Drug Deliv. Rev. 2016, 107, 333–366. [Google Scholar] [CrossRef]
- Nanthananon, P.; Seadan, M.; Pivsa-Art, S.; Suttiruengwong, S. Enhanced crystallization of poly(lactic acid) through reactive aliphatic bisamide. IOP Conf. Ser. Mater. Sci. Eng. 2015, 87, 12067. [Google Scholar] [CrossRef]
- Feng, Y.; Ma, P.; Xu, P.; Wang, R.; Dong, W.; Chen, M.; Joziasse, C. The crystallization behavior of poly(lactic acid) with different types of nucleating agents. Int. J. Biol. Macromol. 2018, 106, 955–962. [Google Scholar] [CrossRef]
- Lim, L.T.; Auras, R.; Rubino, M. Processing technologies for poly(lactic acid). Prog. Polym. Sci. 2008, 33, 820–852. [Google Scholar] [CrossRef]
- Liu, P.; Chen, X.-T.; Ye, H.-M. Enhancing stereocomplexation ability of Polylactide by coalescing from its inclusion complex with urea. Polymers 2017, 9, 592. [Google Scholar] [CrossRef]
- Li, N.; Chen, J. Advances in chemical modifications of polylactide biodegradable materials. In Advances in Engineering Research, Volume 120, Proceedings of the 2017 3rd International Forum on Energy, Environment Science and Materials (IFEESM), Shenzhen, China, 25–26 November 2017; Atlantis Press: Paris, France, 2018. [Google Scholar]
- Shi, X.; Qin, J.; Wang, L.; Ren, L.; Rong, F.; Li, D.; Wang, R.; Zhang, G. Introduction of stereocomplex crystallites of PLA for the solid and microcellular poly(lactide)/poly(butylene adipate-co-terephthalate) blends. RSC Adv. 2018, 8, 11850–11861. [Google Scholar] [CrossRef]
- Vaes, D.; Coppens, M.; Goderis, B.; Zoetelief, W.; Van Puyvelde, P. Assessment of crystallinity development during fused filament fabrication through fast scanning chip calorimetry. Appl. Sci. 2019, 9, 2676. [Google Scholar] [CrossRef]
- Bouzouita, A. Elaboration of polylactide-based materials for automotive application: Study of structure-process-properties interactions. Ph.D. Thesis, Université de Valenciennes et du Hainaut-Cambresis, Université de Mons, Mons, Belgium, 2016. [Google Scholar]
- Mathe, S.; Dimonie, D.; Mariana Cristea, M. Thermal analysis and polarized light microscopy as methods to study the increasing of the durability of PLA designed for 3D printing. Int. J. Polym. Anal. Charact. 2021, 26, 253–264. [Google Scholar] [CrossRef]
- Shao, J.; Liu, Y.-L.; Xiang, S.; Bian, X.-C.; Sun, J.-R.; Li, G.; Chen, X.-S.; Hou, H.-Q. The stereocomplex formation and phase separation of PLLA/PDLA blends with different optical purities and molecular weights. Chin. J. Polym. Sci. 2015, 33, 1713–1720. [Google Scholar] [CrossRef]
- Baimark, Y.; Sumet Kittipoom, S. Influence of chain-extension reaction on stereocomplexation, mechanical propertiesand heat resistance of compressed stereocomplex-Polylactide bioplastic films. Polymers 2018, 10, 1218. [Google Scholar] [CrossRef]
- Srisuwan, Y.; Baimark, Y. Mechanical properties and heat resistance of stereocomplex polylactide/copolyester blend films prepared by in situ melt blending followed with compression molding. Heliyon 2018, 4, e01082. [Google Scholar] [CrossRef]
- Bai, H.; Zhang, W.; Deng, H.; Zhang, Q.; Fu, Q. Control of crystal morphology in poly(L-lactide) by adding nucleating agent. Macromolecules 2011, 44, 1233–1237. [Google Scholar] [CrossRef]
- Jia, S.; Yu, D.; Zhu, Y.; Wang, Z.; Chen, L.; Fu, L. Morphology, Crystallization and thermal behaviors of PLA-based composites: Wonderful effects of hybrid GO/PEG via dynamic impregnating. Polymers 2017, 9, 528. [Google Scholar] [CrossRef]
- Sun, Z.; Wang, L.; Zhou, J.; Fan, X.; Xie, H.; Zhang, H.; Zhang, G.; Shi, X. Influence of Polylactide (PLA) stereocomplexation on the microstructure of PLA/PBS blends and the cell morphology of their microcellular foams. Polymers 2020, 12, 2362. [Google Scholar] [CrossRef]
- Zhang, C.; Lan, Q.; Zhai, T.; Nie, S.; Luo, J.; Yan, W. Melt crystallization behavior and crystalline morphology of polylactide/Poly(ε-caprolactone) blends compatibilized by lactide-caprolactone copolymer. Polymers 2018, 10, 1181. [Google Scholar] [CrossRef]
- Fehri, S.; Cinelli, P.; Coltelli, M.B.; Anguillesi, I.; Lazzeri, A. Thermal properties of plasticized Poly (Lactic Acid) (PLA) containing nucleating agent. Int. J. Chem. Eng. Appl. 2016, 7, 85–88. [Google Scholar] [CrossRef]
- Aliotta, L.; Cinelli, P.; Coltelli, M.B.; Righetti, M.C.; Gazzano, M.; Lazzeri, A. Effect of nucleating agents of crystallinity and properties of poly(lactic acid) (PLA). Eur. Polym. J. 2017, 93, 822–832. [Google Scholar] [CrossRef]
- Anderson, K.S.; Hillmyer, M.A. Melt preparation and nucleation efficiency of polylactide stereocomplex crystallites. Polymer 2006, 47, 2030–2035. [Google Scholar] [CrossRef]
- Kolstad, J.J. Crystallization kinetics of Poly(i-lactide-co-meso-lactide. J. Appl. Polym. Sci. 1996, 62, 1079–1091. [Google Scholar] [CrossRef]
- Ahmed, J.; Varshney, S.K. Polylactides—chemistry, properties and green packaging technology: A review. Int. J. Food Prop. 2011, 14, 37–58. [Google Scholar] [CrossRef]
- Han, L.; Pan, P.; Shan, G.; Bao, Y. Stereocomplex crystallization of high-molecular-weight poly(L-lactic acid)/poly(D-lactic acid) racemic blends promoted by a selective nucleator. Polymer 2015, 63, 144–153. [Google Scholar] [CrossRef]
- Dimonie, D.; Vasile, C.; Coserea, R.M.; Garea, S.; Andrei, F. Characterization of the nucleation efficiency based on crystallization behavior and other PP properties. Mater. Plast. 2009, 46, 180–184. [Google Scholar]
- Balanescu, G. (Ed.) Chemistry Dictionary; Tehnica: Bucuresti, Romania, 1964. [Google Scholar]
- Eleuteri, M.; Bernal, M.; Milanesio, M.; Monticelli, O.; Fina, A. Stereocomplexation of Poly(Lactic Acid)s on graphite nanoplatelets: From functionalized nanoparticles to self-assembled nanostructures. Front. Chem. 2019, 7, 176. [Google Scholar] [CrossRef]
- D’Ambrosio, R.M.; Michell, R.M.; Mincheva, R.; Hernández, R.; Mijangos, C.; Dubois, P.; Müller, A.J. Crystallization and stereocomplexation of PLA-mb-PBS multi-block copolymers. Polymers 2018, 10, 8. [Google Scholar] [CrossRef]
- Farah, S.; Anderson, D.G.; Langer, R. Physical and Mechanical Properties of PLA, and Their Functions in Widespread Applications—A Comprehensive Review. Adv. Drug Deliv. Rev. 2016, 107, 367–392. [Google Scholar] [CrossRef]
- Zhang, J.; Sato, H.; Tsuji, H.; Noda, I.; Ozaki, Y. Infrared spectroscopic study of CH3OC interaction during Poly(l-lactide)/Poly(d-lactide) Stereocomplex Formation. Macromolecules 2005, 38, 1822–1828. [Google Scholar] [CrossRef]
- Slager, J.; Domb, A.J. Biopolymer stereocomplexes. Adv. Drug Deliv. Rev. 2003, 55, 549–583. [Google Scholar] [CrossRef]
- Li, G.; Zhao, M.; Xu, F.; Yang, B.; Li, X.; Meng, X.; Teng, L.; Sun, F.; Li, Y. Synthesis and biological application of polylactic acid. Molecules 2020, 25, 5023. [Google Scholar] [CrossRef] [PubMed]
- Martino, V.; Ruseckaite, R.; Jiménez, A. Thermal and mechanical characterization of plasticized poly (l-lactide-co-d,l-lactide) films for food packaging. J. Therm. Anal. Calorim. 2006, 86, 707–712. [Google Scholar] [CrossRef]
- Jing, Z.; Shi, X.; Zhang, G. Competitive stereocomplexation and homocrystallization behaviors in the Poly(lactide). blends of PLLA and PDLA-PEG-PDLA with controlled block length. Polymers 2017, 9, 107. [Google Scholar] [CrossRef] [PubMed]
- Ahmed, R. Poly(Lactic Acid) Stereocomplex Formation in the Melt: Limitations and Prospectives. Ph.D. Thesis, Technische Universiteit Eindhoven, Eindhoven, The Netherlands, 2011. [Google Scholar]
- Liao, J. Preparation and Modification of Thermoplastic/Tannins Composites via Reactive Extrusion. Ph.D. Thesis, Université de Lorraine, Nancy, France, 2019. [Google Scholar]
- Meaurio, E.; López-Rodríguez, N.; Sarasua, J.R. Infrared Spectrum of Poly(L-lactide): Application to Crystallinity Studies. Macromolecules 2006, 39, 9291–9301. [Google Scholar] [CrossRef]
- Chang, Y.; Chen, Z.; Yang, Y. Benign Fabrication of Fully Stereocomplex Polylactide with High Molecular Weights via a Thermally Induced Technique. ACS Omega 2018, 3, 7979–7984. [Google Scholar] [CrossRef]
- Yuniarto, K.; Purwanto, Y.A.; Purwanto, S.; Welt, B.A.; Purwadaria, H.K.; Sunarti, T.C. Infrared and Raman Studies on Polylactide Acid and Polyethylene Glycol-400 Blend. AIP Conf. Proc. 2016, 1725, 020101. [Google Scholar]
- Qiu, Z.; Li, Z. Effect of orotic acid on the crystallization kinetics and morphology of biodegradable poly(L-lactide) as an efficient nucleating agent. Ind. Eng. Chem. Res. 2011, 50, 12299–12303. [Google Scholar] [CrossRef]
- Rudnik, E. Chapter 3—Properties and applications. In Compostable Polymer Materials, 2nd ed.; Elsevier: Amsterdam, The Netherlands, 2019; pp. 49–98. [Google Scholar]
- Wang, Y.; He, D.; Wang, X.; Cao, W.; Li, Q.; Shen, C. Crystallization of poly(lactic acid) enhanced by phthalhydrazide as nucleation agent. Polym. Bull. 2013, 70, 2911–2922. [Google Scholar] [CrossRef]
- Spinelli, G.; Kotsilkova, R.; Ivanov, E.; Petrova-Doycheva, I.; Menseidov, D.; Georgiev, V.; Di Maio, R.; Silvestre, C. Effects of filament extrusion, 3D printing and hot-pressing on electrical and tensile properties of Poly(Lactic) acid composites filled with carbon nanotubes and graphene. Nanomaterials 2020, 10, 35. [Google Scholar] [CrossRef]
- Sancaktar, E.; Gomatam, R. A study on the effects of surface roughness on the strength of single lap joints. J. Adhes. Sci. Technol. 2001, 15, 97–117. [Google Scholar] [CrossRef]
- Hammer, A.; Fedelich, N.; Giani, S.; Hempel, E.; Jing, N. Thermal Analysis of Polymers; Mettler Toledo: Greifensee, Switzerland, 2013. [Google Scholar]
- Jiang, L.; Shen, T.; Xu, P.; Zhao, X.; Li, X.; Dong, W.; Ma, P.; Chen, M. Crystallization modification of poly(lactide) by using nucleating agents and stereocomplexation. e-Polymers 2016, 16, 1–13. [Google Scholar] [CrossRef]
- Kao, Y.-C. Simulation of Polymer Crystal Growth in Fused Deposition Modelling. Master’s Thesis, The University of Manchester, Manchester, UK, 2018. [Google Scholar]
- Arif, P.M.; Kalarikkal, N.; Thomas, S.; Gowd, E.B. Crystallization in Multiphase Polymer Systems; Elsevier: Amsterdam, The Netherlands, 2018; pp. 1–16. [Google Scholar]
- Qi, L.; Zhu, Q.; Cao, D.; Liu, T.; Zhu, K.R.; Chang, K.; Gao, Q. Preparation and properties of stereocomplex of Poly(lactic acid) and its amphiphilic copolymers containing glucose groups. Polymers 2020, 12, 760. [Google Scholar] [CrossRef]
- Muthuraj, R.; Misra, M.; Mohanty, A.K. Mohanty Biodegradable compatibilized polymer blends for packaging applications: A literature review. J. Appl. Polym. Sci. 2018, 135, 45726. [Google Scholar] [CrossRef]
- Rapp, G.; Samuel, C.; Odent, J.; Raquez, J.-M.; Dubois, P.; Bussiere, P.-O.; Gardette, J.-L.; Therias, S. Peculiar effect of stereocomplexes on the photo chemical ageing of PLA/PMMA blends. Polym. Degrad. Stab. 2018, 150, 92–104. [Google Scholar] [CrossRef]
- Dimonie, D.; Damian, C.; Trusca, R.; Rapa, M. Some aspects conditioning the achieving of filaments for 3D printing from physical modified corn starch. Mater. Plast. 2019, 56, 351. [Google Scholar] [CrossRef]
- Dimonie, D.; Dragomir, N. Melt rheology of renewable polymers and of new materials based on them as tool in controlling the 3D/4D printability. Mater. Plast. 2020, 57, 77–87. [Google Scholar] [CrossRef]
- Dimonie, D.; Dragomir, N.; Stoica, R. Attempts to diminish the drawbacks of polylactic acid designed for 3D/4D printing technology-fused deposition modeling. Mater. Plast. 2021, 58, 142–153. [Google Scholar] [CrossRef]











| PLA * Grade | Function | Code | Mw, g·mol−1 | D-Lactide Content, % |
|---|---|---|---|---|
| PLLA D 850 2* | Base-PLLA | Pb | 4.5 × 104/Low | 0.5/Low |
| PDLA D 3052 | Stereo-complexer | Pm1 | 11.6 × 104/Middle | 4/Middle |
| PDLA D 2003 | Stereo-complexer | Pm2 | 18.04 × 104/High | 3.5/Middle |
| PDLA D 4060 | Stereo-complexer | Pm3 | 19 × 104/High | 12/High |
| Codes | Blending Proportion for Getting Racemic Compounds, % | ||||||||
|---|---|---|---|---|---|---|---|---|---|
| M* Mw and M*DS* | H* Mw and M*DS* | H* Mw and H*DS* | |||||||
| sc-1 | sc-2 | sc-3 | sc-4 | sc-5 | sc-6 | sc-7 | sc-8 | sc-9 | |
| Pb | 95.24 | 80 | 66.66 | 80 | 66.66 | 99 | 95.24 | 90.91 | 80 |
| Pm1 | 4.76 | 20 | 33.33 | - | - | - | - | - | - |
| Pm2 | - | - | - | 20 | 33.33 | - | - | - | - |
| Pm3 | - | - | - | - | - | 1 | 4.76 | 9.09 | 20 |
| FTIR Range | Wavelength, cm−1 | Absorbance | Absorbance, H* Mw and M*DS* | Absorbance, H* Mw and H*DS* | ||||||
|---|---|---|---|---|---|---|---|---|---|---|
| Pb | sc-4 | sc-5 | Pm2 | sc-6 | sc-7 | sc-8 | sc-9 | Pm3 | ||
| 3600–2800 cm−1 | 2996 | 0.028 | 0.036 | 0.028 | 0.033 | 0.015 | 0.025 | 0.033 | 0.012 | 0.025 |
| 2945 | 0.029 | 0.035 | - | 0.034 | 0.016 | 0.031 | 0.035 | 0.011 | 0.027 | |
| 2851 | 0.025 | 0.01 | 0.035 | 0.018 | 0.007 | 0.02 | 0.01 | - | 0.01 | |
| 1850–1660 cm−1 | 1747 | 0.45 | 0.68 | 0.46 | 0.6 | 0.22 | 0.37 | 0.65 | 0.14 | 0.45 |
| 1480–1300 cm−1 | 1452 | 0.13 | 0.16 | 0.13 | 0.15 | 0.08 | 0.11 | 0.15 | 0.05 | 0.11 |
| 1364 | 0.12 | 0.125 | 0.11 | 0.13 | 0.05 | 0.085 | 0.13 | 0.04 | 0.08 | |
| 1306 | 0.045 | 0.065 | 0.055 | 0.07 | - | 0.06 | 0.05 | - | 0.065 | |
| 1275–1000 cm−1 | 1180 | 0.42 | 0.6 | 0.48 | 0.55 | 0.20 | 0.375 | 0.60 | 0.13 | 0.39 |
| 1081 | 0.51 | 0.83 | 0.61 | 0.78 | 0.23 | 0.43 | 0.82 | 0.16 | 0.49 | |
| 1042 | 0.37 | 0.48 | 0.38 | 0.48 | 0.19 | 0.31 | 0.45 | 0.12 | 0.32 | |
| Sample | DSC | Glass Trans. | Crystallization (exo) | Melting (endo) | Cryst. | ||||
|---|---|---|---|---|---|---|---|---|---|
| tg, °C | tc, °C | ΔHc, J·g−1 | Range, °C | tm, °C | ΔHm, J·g−1 | Range, °C | % | ||
| Pb | Cooling | - | 113.5 | 38.4 | 125–105 | - | - | - | - |
| Heating 2 | 65.7 | - | - | 176.8 | 44.3 | 144–186 | 47.7 | ||
| Pm2 | Cooling | - | - | - | - | - | - | - | - |
| Heating 2 | 61.5 | - | - | - | - | - | - | - | |
| sc-4 | Cooling | - | 106.6 | 32.2 | 120–98 | - | - | - | - |
| Heating 2 | 53.6 | - | - | - | 175 | 38.1 | 146–185 | 40.9 | |
| sc-5 | Cooling | - | 108.9 | 34.1 | 121–100 | - | - | - | - |
| Heating 2 | 63.6 | - | - | 175 | 35.5 | 146–185 | 38.2 | ||
| Sample | DSC | Glass Trans. | Crystallization (exo) | Melting (endo) | Cryst. | ||||
|---|---|---|---|---|---|---|---|---|---|
| tg, °C | tc, °C | ΔHc, J·g−1 | Range, °C | tm, °C | ΔHm, J·g−1 | Range, °C | % | ||
| Pb | Cooling | - | 113.5 | 38.4 | 125–105 | - | - | - | - |
| Heating 2 | 65.7 | - | - | 176.8 | 44.3 | 144–186 | 47.7 | ||
| Pm3 | Cooling | - | - | - | - | - | - | - | - |
| Heating 2 | 58.9 | - | - | - | - | - | - | - | |
| sc-6 | Cooling | - | 110.1 | 36.3 | 122–100 | - | - | - | - |
| Heating 2 | 64.7 | - | - | - | 176.5 | 47.8 | 144–186 | 51.4 | |
| sc-7 | Cooling | - | 108.9 | 35.8 | 122–98 | - | - | - | - |
| Heating 2 | 64.1 | - | - | - | 176.2 | 48.2 | 144–186 | 51.9 | |
| sc-8 | Cooling | - | 108.5 | 35.2 | 122–96 | - | - | - | - |
| Heating 2 | 63.4 | - | - | - | 176.3 | 44.5 | 144–186 | 47.9 | |
| sc-9 | Cooling | - | 104.7 | 31.2 | 118–92 | - | - | - | - |
| Heating 2 | 62 | - | - | - | 175 | 38.9 | 144–186 | 41.8 | |
| Sample | DSC | Glass Trans. | Crystallization (exo) | Melting (endo) | Cryst. | ||||
|---|---|---|---|---|---|---|---|---|---|
| tg, °C | tc, °C | ΔHc, J·g−1 | Range, °C | tm, °C | ΔHm, J·g−1 | Range, °C | % | ||
| Pb | Cooling | - | 113.5 | 38.4 | 125–105 | - | - | - | - |
| Heating 2 | 65.7 | - | - | - | 176.8 | 44.3 | 144–186 | 47.7 | |
| Pm1 | Cooling | - | - | - | - | - | - | - | - |
| Heating 2 | 61.7 | - | - | - | - | - | - | - | |
| sc-1 | Cooling | - | 120.4 | 44.2 | 130–113 | - | - | - | - |
| Heating 2 | 64.4 | - | - | - | 172 | 48.4 | 144–186 | 52.1 | |
| sc-2 | Cooling | - | 107 | 35 | 122–96 | - | - | - | - |
| Heating 2 | 60.3 | - | - | - | 175.6 | 43.1 | 144–186 | 46.4 | |
| sc-3 | Cooling | - | 101.9 | 31 | 122–88 | - | - | - | - |
| Heating 2 | 63.1 | - | - | - | 173.2 | 40.8 | 144–186 | 43.8 | |
| Sample/ Roughness Parameters | Scanning Area (3D), 1 µm × 1 µm | Scanning Area (3D), 5 µm × 5 µm | ||
|---|---|---|---|---|
| RMS (nm) | Ra (nm) | RMS (nm) | Ra (nm) | |
| Pb | 4 | 3 | 10 | 7 |
| Pm1 | 2 | 2 | 6 | 5 |
| sc-1 | 3 | 2 | 16 | 12 |
| Specimen\Properties | Functional Property | |
|---|---|---|
| Izod Impact Resistance (kJ/m2) | HDT (°C) | |
| Base-PLLA | 0.56 | 78 |
| Stereo-complexed PLA (sc-1) | 2.36 | 95 |
Publisher’s Note: MDPI stays neutral with regard to jurisdictional claims in published maps and institutional affiliations. |
© 2021 by the authors. Licensee MDPI, Basel, Switzerland. This article is an open access article distributed under the terms and conditions of the Creative Commons Attribution (CC BY) license (https://creativecommons.org/licenses/by/4.0/).
Share and Cite
Dimonie, D.; Mathe, S.; Iftime, M.M.; Ionita, D.; Trusca, R.; Iftimie, S. Modulation of the PLLA Morphology through Racemic Nucleation to Reach Functional Properties Required by 3D Printed Durable Applications. Materials 2021, 14, 6650. https://doi.org/10.3390/ma14216650
Dimonie D, Mathe S, Iftime MM, Ionita D, Trusca R, Iftimie S. Modulation of the PLLA Morphology through Racemic Nucleation to Reach Functional Properties Required by 3D Printed Durable Applications. Materials. 2021; 14(21):6650. https://doi.org/10.3390/ma14216650
Chicago/Turabian StyleDimonie, Doina, Silvia Mathe, Manuela Maria Iftime, Daniela Ionita, Roxana Trusca, and Sorina Iftimie. 2021. "Modulation of the PLLA Morphology through Racemic Nucleation to Reach Functional Properties Required by 3D Printed Durable Applications" Materials 14, no. 21: 6650. https://doi.org/10.3390/ma14216650
APA StyleDimonie, D., Mathe, S., Iftime, M. M., Ionita, D., Trusca, R., & Iftimie, S. (2021). Modulation of the PLLA Morphology through Racemic Nucleation to Reach Functional Properties Required by 3D Printed Durable Applications. Materials, 14(21), 6650. https://doi.org/10.3390/ma14216650

