Burger Model as the Best Option for Modeling of Viscoelastic Behavior of Resists for Nanoimprint Lithography
Abstract
:1. Introduction
2. Materials and Methods
2.1. Sample Preparation
2.2. AFM Tests
2.3. Calibration
2.4. Mathematical Methods
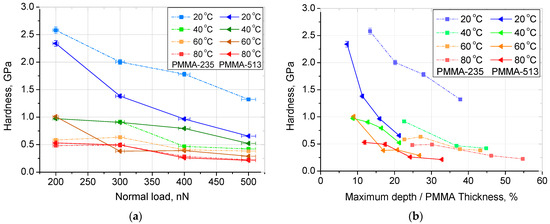
3. Results
4. Discussion
5. Conclusions
Supplementary Materials
Author Contributions
Funding
Institutional Review Board Statement
Informed Consent Statement
Data Availability Statement
Conflicts of Interest
References
- Kaestner, M.; Krivoshapkina, Y.; Rangelow, I.W. Next generation lithography—The rise of unconventional methods? Front. Nanosci. 2016, 11, 479–495. [Google Scholar] [CrossRef]
- Yu, B.; Qian, L. Friction-Induced Nanofabrication: A Review. Chin. J. Mech. Eng. 2021, 34, 1–26. [Google Scholar] [CrossRef]
- Kim, K.S.; Ando, Y.; Kim, K.W. The effect of temperature on the nanoscale adhesion and friction behaviors of thermoplastic polymer films. Nanotechnology 2008, 19, 105701. [Google Scholar] [CrossRef]
- Kim, K.S.; Kim, J.H.; Lee, H.J.; Lee, S.R. Tribology issues in nanoimprint lithography. J. Mech. Sci. Technol. 2010, 24, 5–12. [Google Scholar] [CrossRef]
- Li, M.; Chen, Y.; Luo, W.; Cheng, X. Interfacial interactions during demolding in nanoimprint lithography. Micromachines 2021, 12, 349. [Google Scholar] [CrossRef] [PubMed]
- Li, M.; Chen, Y.; Luo, W.; Cheng, X. Demolding force dependence on mold surface modifications in UV nanoimprint lithography. Microelectron. Eng. 2021, 236, 111470. [Google Scholar] [CrossRef]
- Tallal, J.; Gordon, M.; Berton, K.; Charley, A.L.; Peyrade, D. AFM characterization of anti-sticking layers used in nanoimprint. Microelectron. Eng. 2006, 83, 851–854. [Google Scholar] [CrossRef]
- Fang, T.H.; Wu, C.D.; Kang, S.H. Thermomechanical properties of polymer nanolithography using atomic force microscopy. Micron 2011, 42, 492–497. [Google Scholar] [CrossRef]
- Pan, C.T.; Yang, T.L.; Su, C.Y.; Chao, C.H.; Wang, Z.K.; Shen, S.C. Investigation of the anti-adhesion layers for nanoimprint molding. Microsyst. Technol. 2017, 23, 2207–2214. [Google Scholar] [CrossRef]
- Bossard, M.; Boussey, J.; Le Drogoff, B.; Chaker, M. Alternative nano-structured thin-film materials used as durable thermal nanoimprint lithography templates. Nanotechnology 2016, 27, 75302. [Google Scholar] [CrossRef]
- Jarzabek, D.M.; Rymuza, Z.; Horiba, A.; Hirai, Y. Development of an experimental technique for testing rheological properties of ultrathin polymer films used in nanoimprint lithography. J. Vac. Sci. Technol. B Nanotechnol. Microelectron. Mater. Process. Meas. Phenom. 2011, 29, 061603. [Google Scholar] [CrossRef]
- Adibeig, M.R.; Hassanifard, S.; Vakili-Tahami, F. Optimum creep lifetime of Polymethyl Methacrylate (PMMA) tube using rheological creep constitutive models based on experimental data. Polym. Test. 2019, 75, 107–116. [Google Scholar] [CrossRef]
- Min, H.; Zheng, N.; Fan, Z.; Jiang, Y.; Cheng, X. UV-curable nanoimprint resist with liquid volume-expanding monomers. Microelectron. Eng. 2019, 205, 32–36. [Google Scholar] [CrossRef]
- Schift, H. Nanoimprint lithography: An old story in modern times? A review. J. Vac. Sci. Technol. B Microelectron. Nanom. Struct. 2008, 26, 458. [Google Scholar] [CrossRef] [Green Version]
- Resnick, D. Nanoimprint Lithography; Woodhead Publishing Limited: Cambridge, UK, 2013; ISBN 9780857095008. [Google Scholar]
- Lv, L.; Lin, H.; Jin, T. Experimental study on the effects of hygrothermal aging on the indentation creep behaviors of PMMA. Polym. Test. 2021, 93, 106991. [Google Scholar] [CrossRef]
- Christöfl, P.; Czibula, C.; Berer, M.; Oreski, G.; Teichert, C.; Pinter, G. Comprehensive investigation of the viscoelastic properties of PMMA by nanoindentation. Polym. Test. 2021, 93, 106978. [Google Scholar] [CrossRef]
- Menčík, J.; He, L.H.; Němeček, J. Characterization of viscoelastic-plastic properties of solid polymers by instrumented indentation. Polym. Test. 2011, 30, 101–109. [Google Scholar] [CrossRef]
- Múnera, J.C.; Goswami, D.; Martinez, R.V.; Ossa, E.A. Time-dependent Mechanical Response at the Nanoscale. Mech. Mater. 2020, 148, 103443. [Google Scholar] [CrossRef]
- Ding, Y.H.; Deng, X.H.; Jiang, X.; Zhang, P.; Yin, J.R.; Jiang, Y. Nanoscale mechanical characterization of PMMA by AFM nanoindentation: A theoretical study on the time-dependent viscoelastic recovery. J. Mater. Sci. 2013, 48, 3479–3485. [Google Scholar] [CrossRef]
- Hinz, M.; Kleiner, A.; Hild, S.; Marti, O.; Dürig, U.; Gotsmann, B.; Drechsler, U.; Albrecht, T.R.; Vettiger, P. Temperature dependent nano indentation of thin polymer films with the scanning force microscope. Eur. Polym. J. 2004, 40, 957–964. [Google Scholar] [CrossRef]
- Anand, L.; Ames, N.M. On modeling the micro-indentation response of an amorphous polymer. Int. J. Plast. 2006, 22, 1123–1170. [Google Scholar] [CrossRef]
- Puttick, K.E. The mechanics of indentation fracture in poly(methyl methacrylate). J. Phys. D. Appl. Phys. 1978, 11, 595–604. [Google Scholar] [CrossRef]
- Oyen, M.L.; Toivola, Y.A.; Cook, R.F. Load Dispersion behavior during sharp indentation of Viscous elastic plastic materials. Mat.Res. Soc. Symp. 2001, 649, 1–6. [Google Scholar]
- Grzywacz, H.; Milczarek, M.; Jenczyk, P.; Dera, W.; Michałowski, M.; Jarząbek, D.M. Quantitative measurement of nanofriction between PMMA thin films and various AFM probes. Meas. J. Int. Meas. Confed. 2021, 168, 108267. [Google Scholar] [CrossRef]
- Sader, J.E.; Larson, I.; Mulvaney, P.; White, L.R. Method for the calibration of atomic force microscope cantilevers. Rev. Sci. Instrum. 1995, 66, 3789–3798. [Google Scholar] [CrossRef] [Green Version]
- Sader, J.E.; Chon, J.W.M.; Mulvaney, P. Calibration of rectangular atomic force microscope cantilevers. Rev. Sci. Instrum. 1999, 70, 3967–3969. [Google Scholar] [CrossRef] [Green Version]
- Gavara, N. A beginner’s guide to atomic force microscopy probing for cell mechanics. Microsc. Res. Tech. 2017, 80, 75–84. [Google Scholar] [CrossRef] [PubMed]
- King, R.B. Elastic analysis of some punch problems for a layered medium. Int. J. Solids Struct. 1987, 23, 1657–1664. [Google Scholar] [CrossRef]
- Zheng, L.; Jiang, X.; Deng, X.H.; Yin, J.R.; Jiang, Y.; Zhang, P.; Ding, Y.H. Mechanical characterization of PMMA by AFM nanoindentation and finite element simulation. Mater. Res. Express 2016, 3, 115302. [Google Scholar] [CrossRef]
- Hui, C.Y.; Jagota, A. Surface tension, surface energy, and chemical potential due to their difference. Langmuir 2013, 29, 11310–11316. [Google Scholar] [CrossRef]
- Alisafaei, F.; Han, C.S. Indentation depth dependent mechanical behavior in polymers. Adv. Condens. Matter Phys. 2015, 2015, 391579. [Google Scholar] [CrossRef] [Green Version]
- Long, J.; Chen, W. Effects of surface tension on the nanoindentation with a conical indenter. Acta Mech. 2017, 228, 3533–3542. [Google Scholar] [CrossRef]
- Dogan, M.; Kayacier, A.; Toker, Ö.S.; Yilmaz, M.T.; Karaman, S. Steady, Dynamic, Creep, and Recovery Analysis of Ice Cream Mixes Added with Different Concentrations of Xanthan Gum. Food BioProcess Technol. 2013, 6, 1420–1433. [Google Scholar] [CrossRef]
- Li, R.N.; Chen, F.; Lam, C.-H.; Tsui, O.K.C. Viscosity of PMMA on Silica: Epitome of Systems with Strong Polymer–Substrate Interactions. Macromolecules 2013, 46, 7889–7893. [Google Scholar] [CrossRef]
- Olaya-Munoz, D.A.; Nealey, P.F.; Hernández-Ortiz, J.P. Leveling of Polymer Grating Structures upon Heating: Dimension Dependence on the Nanoscale and the Effect of Antiplasticizers. ACS Appl. Mater. Interfaces 2018, 10, 27432–27443. [Google Scholar] [CrossRef] [PubMed]








| Designation | Molecular Weight | Film Thickness, nm | Film Roughness Ra, nm |
|---|---|---|---|
| PMMA-235 | 950 K | 235 ± 5 | 0.328 ± 0.032 |
| PMMA-513 | 950 K | 513 ± 4 | 0.259 ± 0.033 |
| Temp, °C | Maximum Load, nN | Coefficient of Determination R2 | |||||
|---|---|---|---|---|---|---|---|
| PMMA-235 | PMMA-513 | ||||||
| Burger | SLS-Maxwell | SLS-Kelvin | Burger | SLS-Maxwell | SLS-Kelvin | ||
| 20 | 200 | 0.91806 | 0.91321 | 0.91321 | 0.97493 | 0.96742 | 0.96742 |
| 300 | 0.96858 | 0.96360 | 0.96360 | 0.98180 | 0.97449 | 0.97449 | |
| 400 | 0.95264 | 0.95271 | 0.95271 | 0.99165 | 0.98766 | 0.98766 | |
| 500 | 0.88908 | 0.88654 | 0.88654 | 0.99103 | 0.98945 | 0.98945 | |
| 40 | 200 | - | - | - | 0.96945 | 0.95529 | 0.95529 |
| 300 | 0.94960 | 0.94450 | 0.94450 | 0.93925 | 0.93483 | 0.93483 | |
| 400 | 0.97812 | 0.97811 | 0.97811 | 0.97910 | 0.97820 | 0.97820 | |
| 500 | 0.98132 | 0.96821 | 0.96821 | 0.96637 | 0.94695 | 0.94695 | |
| 60 | 200 | 0.98936 | 0.98654 | 0.98654 | 0.93408 | 0.92333 | 0.92333 |
| 300 | 0.97389 | 0.97394 | 0.97394 | 0.98964 | 0.97310 | 0.97310 | |
| 400 | 0.97211 | 0.95928 | 0.95928 | 0.99536 | 0.97504 | 0.97504 | |
| 500 | 0.98596 | 0.98359 | 0.98359 | 0.99524 | 0.98980 | 0.98980 | |
| 80 | 200 | 0.94736 | 0.90225 | 0.90225 | 0.94883 | 0.85429 | 0.85429 |
| 300 | 0.93514 | 0.91228 | 0.91228 | 0.99320 | 0.99254 | 0.99254 | |
| 400 | 0.96054 | 0.93963 | 0.93963 | 0.96540 | 0.92598 | 0.92598 | |
| 500 | 0.94312 | 0.97394 | 0.97394 | 0.98012 | 0.96854 | 0.96854 | |
Publisher’s Note: MDPI stays neutral with regard to jurisdictional claims in published maps and institutional affiliations. |
© 2021 by the authors. Licensee MDPI, Basel, Switzerland. This article is an open access article distributed under the terms and conditions of the Creative Commons Attribution (CC BY) license (https://creativecommons.org/licenses/by/4.0/).
Share and Cite
Grzywacz, H.; Jenczyk, P.; Milczarek, M.; Michałowski, M.; Jarząbek, D.M. Burger Model as the Best Option for Modeling of Viscoelastic Behavior of Resists for Nanoimprint Lithography. Materials 2021, 14, 6639. https://doi.org/10.3390/ma14216639
Grzywacz H, Jenczyk P, Milczarek M, Michałowski M, Jarząbek DM. Burger Model as the Best Option for Modeling of Viscoelastic Behavior of Resists for Nanoimprint Lithography. Materials. 2021; 14(21):6639. https://doi.org/10.3390/ma14216639
Chicago/Turabian StyleGrzywacz, Hubert, Piotr Jenczyk, Michał Milczarek, Marcin Michałowski, and Dariusz M. Jarząbek. 2021. "Burger Model as the Best Option for Modeling of Viscoelastic Behavior of Resists for Nanoimprint Lithography" Materials 14, no. 21: 6639. https://doi.org/10.3390/ma14216639
APA StyleGrzywacz, H., Jenczyk, P., Milczarek, M., Michałowski, M., & Jarząbek, D. M. (2021). Burger Model as the Best Option for Modeling of Viscoelastic Behavior of Resists for Nanoimprint Lithography. Materials, 14(21), 6639. https://doi.org/10.3390/ma14216639

