Effects of HPMC on Workability and Mechanical Properties of Concrete Using Iron Tailings as Aggregates
Abstract
:1. Introduction
2. Materials and Methods
2.1. Raw Materials
2.2. Mixture Proportions
2.3. Specimen Preparation
2.4. Test Methods
2.4.1. Fresh Properties
2.4.2. Mechanical Properties
2.4.3. Permeability Test
2.4.4. Mercury Intrusion Porosimetry
2.4.5. Scanning Electron Microscopy-Backscattered Electron-Image Analysis (SEM-BSE-IA)
3. Results and Discussion
3.1. Workability
3.2. Mechanical Properties
3.2.1. Compressive Strength
3.2.2. Splitting Tensile Strength
3.2.3. Flexural Strength
3.3. Chloride Penetration Test
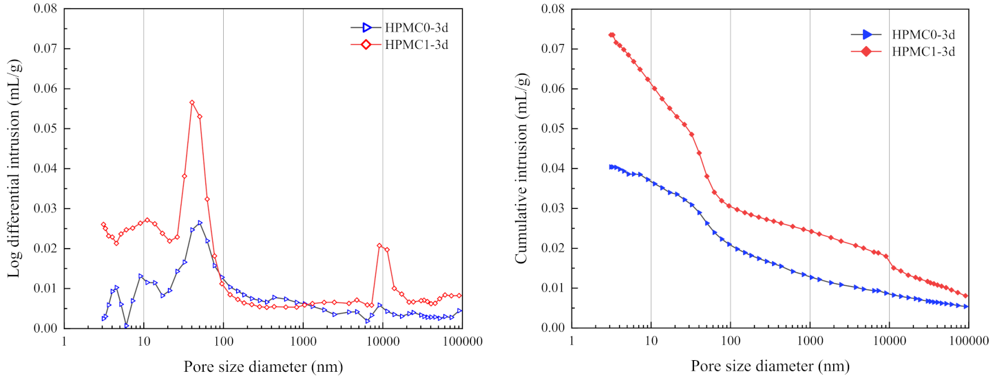
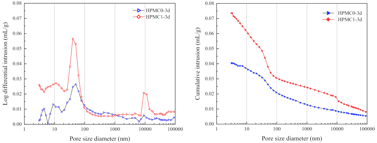
3.4. MIP
3.5. SEM-BSE-IA
4. Conclusions
- (1)
- Due to the iron content in tailings aggregate, the density is relatively large, which leads to the aggregate sink and separation. The surface activation of HPMC can induce air, retain water and thicken to improve the viscosity of mortar and aggregate, prevent tailings aggregate from sinking, and improve the workability of concrete.
- (2)
- Although HPMC can improve workability, it is not conducive to the development of compressive and flexural strength. However, it can improve the splitting tensile strength, which shows that the addition of HPMC can improve crack resistance.
- (3)
- When the concrete is hardened, the air entrainment of HPMC will form pores and reduce the compressive strength and flexural strength. At the same time, HPMC reacts with Ca2+ and Al3+ to form membrane structure, which plays a bridging role, hinders the propagation of microcracks, improves the splitting tensile strength of concrete, and then ameliorates the crack resistance of concrete.
- (4)
- The ITZ of ordinary C30 concrete is the key to affecting the concrete’s strength and its weakest link. The addition of HPMC increases more bubbles in the ITZ and reduces the compactness, which is not conducive to the development of strength. However, the final strength grade is consistent with that without HPMC. The chloride ion flux is about 1800, which does not affect the durability. Therefore, it is an effective measure to improve the workability of IOT concrete by adding HPMC.
Author Contributions
Funding
Institutional Review Board Statement
Informed Consent Statement
Data Availability Statement
Acknowledgments
Conflicts of Interest
References
- Zhao, J.; Ni, K.; Su, Y.; Shi, Y. An evaluation of iron ore tailings characteristics and iron ore tailings concrete properties. Constr. Build. Mater. 2021, 286, 122968. [Google Scholar] [CrossRef]
- Shi, C.; Meyer, C.; Behnood, A. Utilization of copper slag in cement and concrete. Resour. Conserv. Recy. 2008, 52, 1115–1120. [Google Scholar] [CrossRef]
- Liu, X.; Ni, C.; Meng, K.; Zhang, L.; Liu, D.; Sun, L. Strengthening mechanism of lightweight cellular concrete filled with fly ash. Constr. Build. Mater. 2020, 251, 118954. [Google Scholar] [CrossRef]
- Adil, G.; Kevern, J.T.; Mann, D. Influence of silica fume on mechanical and durability of pervious concrete. Constr. Build. Mater. 2020, 247, 118453. [Google Scholar] [CrossRef]
- Muthusamy, K.; Rasid, M.H.; Jokhio, G.; Budiea, A.M.A.; Hussin, M.W.; Mirza, J. Coal bottom ash as sand replacement in concrete: A review. Constr. Build. Mater. 2020, 236, 117507. [Google Scholar] [CrossRef]
- Shen, D.; Jiao, Y.; Kang, J.; Feng, Z.; Shen, Y. Influence of ground granulated blast furnace slag on early-age cracking potential of internally cured high performance concrete. Constr. Build. Mater. 2020, 233, 117083. [Google Scholar] [CrossRef]
- Argane, R.; Benzaazoua, M.; Hakkou, R.; Bouamrane, A. Reuse of base-metal tailings as aggregates for rendering mortars: Assessment of immobilization performances and environmental behavior. Constr. Build. Mater. 2015, 96, 296–306. [Google Scholar] [CrossRef]
- Zuccheratte, A.C.V.; Freire, C.B.; Lameiras, F.S. Synthetic gravel for concrete obtained from sandy iron ore tailing and recycled polyethyltherephtalate. Constr. Build. Mater. 2017, 151, 859–865. [Google Scholar] [CrossRef]
- Che, T.K.; Pan, B.F.; Sha, D.; Lu, J.L. Utilization of iron tailings as fine aggregates in low-grade cement concrete pavement. IOP Conf. Ser. Mat. Sci. Eng. 2019, 479, 012053. [Google Scholar] [CrossRef] [Green Version]
- Zhao, Y.; Zhang, Y.; Chen, T.; Chen, Y.; Bao, S. Preparation of high strength autoclaved bricks from hematite tailings. Constr. Build. Mater. 2012, 28, 450–455. [Google Scholar] [CrossRef]
- Li, T.; Wang, S.; Xu, F.; Meng, X.; Li, B.; Zhan, M. Study of the basic mechanical properties and degradation mechanism of recycled concrete with tailings before and after carbonation. J. Clean. Prod. 2020, 259, 120923. [Google Scholar] [CrossRef]
- Tang, C.; Li, K.; Ni, W.; Fan, D. Recovering Iron from Iron Ore Tailings and Preparing Concrete Composite Admixtures. Minerals 2019, 9, 232. [Google Scholar] [CrossRef] [Green Version]
- Yang, C.M.; Cui, C.; Qin, J. Recycling of low-silicon iron tailings in the production of lightweight aggregates. Ceram. Int. 2015, 41, 1213–1221. [Google Scholar] [CrossRef]
- Mendes, B.C.; Pedroti, L.G.; Fontes, M.; Ribeiro, J.C.L.; Vieira, C.M.F.; Pacheco, A.A.; de Azevedo, A.R. Technical and environmental assessment of the incorporation of iron ore tailings in construction clay bricks. Constr. Build. Mater. 2019, 227, 116669. [Google Scholar] [CrossRef]
- Wang, Z.; Xu, C.; Wang, S.; Gao, J.; Ai, T. Utilization of magnetite tailings as aggregates in asphalt mixtures. Constr. Build. Mater. 2016, 114, 392–399. [Google Scholar] [CrossRef]
- Tan, Y.; Zhu, Y.T.; Xiao, H.L. Evaluation of the Hydraulic, Physical, and Mechanical Properties of Pervious Concrete Using Iron Tailings as Coarse Aggregates. Appl. Sci. 2020, 10, 2691. [Google Scholar] [CrossRef] [Green Version]
- Lv, X.; Lin, Y.; Chen, X.; Shi, Y.; Liang, R.; Wang, R.; Peng, Z. Environmental impact, durability performance, and interfacial transition zone of iron ore tailings utilized as dam concrete aggregates. J. Clean. Prod. 2021, 292, 126068. [Google Scholar] [CrossRef]
- Shettima, A.U.; Hussin, M.W.; Ahmad, Y.; Mirza, J. Evaluation of iron ore tailings as replacement for fine aggregate in concrete. Constr. Build. Mater. 2016, 120, 72–79. [Google Scholar] [CrossRef]
- Patural, L.; Marchal, P.; Govin, A.; Grosseau, P.; Ruot, B.; Devès, O. Cellulose ethers influence on water retention and consistency in cement-based mortars. Cem. Concr. Res. 2011, 41, 46–55. [Google Scholar] [CrossRef] [Green Version]
- Bülichen, D.; Plank, J. Water retention capacity and working mechanism of methyl hydroxypropyl cellulose (MHPC) in gypsum plaster—Which impact has sulfate? Cem. Concr. Res. 2013, 46, 66–72. [Google Scholar] [CrossRef]
- Pourchez, J.; Grosseau, P.; Ruot, B. Changes in C3S hydration in the presence of cellulose ethers. Cem. Concr. Res. 2010, 40, 179–188. [Google Scholar] [CrossRef] [Green Version]
- Brumaud, C.; Baumann, R.; Schmitz, M.; Radler, M.; Roussel, N. Cellulose ethers and yield stress of cement pastes. Cem. Concr. Res. 2014, 55, 14–21. [Google Scholar] [CrossRef]
- Weyer, H.; Müller, I.; Schmitt, B.; Bosbach, D.; Putnis, A. Time-resolved monitoring of cement hydration: Influence of cellulose ethers on hydration kinetics. Nucl. Instrum. Methods Phys. Res. Sect. B: Beam Interact. Mater. Atoms 2005, 238, 102–106. [Google Scholar] [CrossRef]
- Chinese Standard GB/T 175. Common Portland Cement; Standards Press of China: Beijing, China, 2007. [Google Scholar]
- Nergis, D.D.B.; Vizureanu, P.; Ardelean, I.; Sandu, A.V.; Corbu, O.C.; Matei, E. Revealing the Influence of Microparticles on Geopolymers’ Synthesis and Porosity. Materials 2020, 13, 3211. [Google Scholar] [CrossRef] [PubMed]
- Chen, N.; Wang, P.; Zhao, L.; Zhang, G. Water Retention Mechanism of HPMC in Cement Mortar. Materials 2020, 13, 2918. [Google Scholar] [CrossRef] [PubMed]
- ASTM C143-15a. Standard Test Method for Slump of Hydraulic-Cement Concrete; ASTM International: West Conshohocken, PA, USA, 2015. [Google Scholar]
- EN12390-part7. Testing Fresh Concrete-Air Content-Pressure Methods; BSI Standards Publication: Brussels, Belgium, 2009. [Google Scholar]
- Chinese Standard GB/T 50081. Standard for Test Method of Mechanical Properties on Ordinary Concrete; Standards Press of China: Beijing, China, 2002. [Google Scholar]
- ASTM C1202. Standard Test Method for Electrical Indication of Concrete’s Ability to Resist Chloride Ion Penetration; ASTM International: West Conshohocken, PA, USA, 2012. [Google Scholar]
- Washburn, E.W. Note on a Method of Determining the Distribution of Pore Sizes in a Porous Material. Proc. Natl. Acad. Sci. USA 1921, 7, 115–116. [Google Scholar] [CrossRef] [Green Version]
- Diamond, S. Reply to the discussion by S. Chatterji of the paper “Mercury porosimetry—An inappropriate method for the measurement of pore size distributions in cement-based materials”. Cem. Concr. Res. 2001, 31, 1659. [Google Scholar] [CrossRef]
- Garboczi, E.J.; Bentz, D.P. Percolation aspects of cement paste and concrete-properties and durability. Aci Special Publ. 1999, 189, 147–164. [Google Scholar]
- Arum, C.; Owolabi, A.O. Suitability of iron ore tailings and quarry dust as fine aggregates for concrete production. J. Appl. Sci. Technol. 2012, 17, 46–52. [Google Scholar]
- Kumar, R.; Bhattacharjee, B. Porosity, pore size distribution and in situ strength of concrete. Cem. Concr. Res. 2003, 33, 155–164. [Google Scholar] [CrossRef]
- Marliere, C.; Mabrouk, E.; Lamblet, M.; Coussot, P. How water retention in porous media with cellulose ethers works. Cem. Concr. Res. 2012, 42, 1501–1512. [Google Scholar] [CrossRef]
- Li, G.; Chen, Y.J.; Di, H. The Study on used Properties of Mine Tailings Sand. Adv. Mater. Res. 2014, 859, 87–90. [Google Scholar] [CrossRef]
- Pierre, A.; Perrot, A.; Picandet, V.; Guevel, Y. Cellulose ethers and cement paste permeability. Cem. Concr. Res. 2015, 72, 117–127. [Google Scholar] [CrossRef]
- Betioli, A.; Gleize, P.; Silva, D.; John, V.M.; Pileggi, R. Effect of HMEC on the consolidation of cement pastes: Isothermal calorimetry versus oscillatory rheometry. Cem. Concr. Res. 2009, 39, 440–445. [Google Scholar] [CrossRef]
- Fan, Y.-F.; Luan, H.-Y. Pore structure in concrete exposed to acid deposit. Constr. Build. Mater. 2013, 49, 407–416. [Google Scholar] [CrossRef]
- Malachanne, E.; Jebli, M.; Jamin, F.; Garcia-Diaz, E.; El Youssoufi, M.-S. A cohesive zone model for the characterization of adhesion between cement paste and aggregates. Constr. Build. Mater. 2018, 193, 64–71. [Google Scholar] [CrossRef] [Green Version]
- Ke, Y.; Ortola, S.; Beaucour, A.-L.; Dumontet, H. Identification of microstructural characteristics in lightweight aggregate concretes by micromechanical modelling including the interfacial transition zone (ITZ). Cem. Concr. Res. 2010, 40, 1590–1600. [Google Scholar] [CrossRef]
- Aitcin, P.-C. Concrete structure, properties and materials. Can. J. Civ. Eng. 1986, 13, 499. [Google Scholar] [CrossRef]










| Chemical Composition | (wt.%) | Physical Properties | Value |
|---|---|---|---|
| SiO2 | 28.16 | Specific surface area (m2/kg) | 400 |
| Al2O3 | 7.44 | Water requirement of consistency/% | 26.0 |
| FexOy [25] | 2.76 | Initial setting/min | 185 |
| CaO | 54.86 | Final setting/min | 260 |
| Na2O | 0.03 | 3 d flexural strength/MPa | 4.1 |
| MgO | 4.36 | 28 d flexural strength/MPa | 8.2 |
| SO3 | 2.24 | 3 d compressive strength/MPa | 21.0 |
| Loss | 2.67 | 28 d compressive strength/MPa | 49.4 |
| Coarse Aggregate | Fine Aggregate | |
|---|---|---|
| Apparent density (kg/m3) | 2630 | 2590 |
| Bulk density (kg/m3) | 1490 | 1540 |
| Sediment percentage/% | 0.3 | 2.4 |
| Clay lump/% | 0 | 0.8 |
| Void ratio/% | 43 | 41 |
| Strength crushing index/% | 7.4 | / |
| Needle flake particle content/% | 3 | / |
| Symbol | C (kg/m3) | FA (kg/m3) | FAs (kg/m3) | CAs (kg/m3) | Water (kg/m3) | SPs (kg/m3) | HPMC (kg/m3) | w/b |
|---|---|---|---|---|---|---|---|---|
| HPMC0 | 380 | 40 | 875 | 945 | 165 | 4 | / | 0.4 |
| HPMC1 | 380 | 40 | 875 | 945 | 165 | 4 | 0.38 | 0.4 |
| Test Items | Detection Result |
|---|---|
| Water demand ratio/% | 87 |
| Loss on ignition/% | 1.21 |
| Water content/% | 0.5 |
| Sulfur trioxide/% | 0.23 |
| Free calcium oxide content/% | 0.52 |
| SiO2/wt% | 60.1 |
| Al2O3/wt% | 25.1 |
| Fe2O3/wt% | 6.7 |
| Chloride Permeability | Charge (Coulomb) | Typical Concrete |
|---|---|---|
| High | >4000 | High w/c ratio (>0.6) |
| Moderate | 2000–4000 | Moderate w/c ratio (0.4–0.5) |
| Low | 1000–2000 | Low w/c ratio (<0.4) |
| Very low | 100–1000 | Latex-modified concrete, internally sealed concrete |
| Negligible | <100 | Polymer impregnated concrete, polymer concrete |
| Symbol | Slump (mm) | Expansion (mm) | Entrained Air Content (%) |
|---|---|---|---|
| HPMC0 | 220 | 460 | 1.6 |
| HPMC1 | 240 | 600 | 4.5 |
| Symbol | Harmful Pores (50–200 nm) (mL/g) | Total Porosity (%) |
|---|---|---|
| HPMC0-3d | 0.105 | 9.51 |
| HPMC1-3d | 0.137 | 15.25 |
| HPMC0-28d | 0.077 | 9.33 |
| HPMC1-28d | 0.097 | 12.44 |
| Distance from Aggregate/μm | Porosity/% | Unhydrated Rate/% |
|---|---|---|
| 5 | 43.27 | 15.96 |
| 10 | 30.24 | 34.95 |
| 15 | 20.33 | 44.17 |
| 20 | 13.95 | 52.68 |
| Distance from Aggregate/μm | Porosity/% | Unhydrated Rate/% |
|---|---|---|
| 5 | 59.44 | 15.50 |
| 10 | 53.18 | 19.55 |
| 15 | 52.85 | 20.07 |
| 20 | 47.85 | 24.06 |
Publisher’s Note: MDPI stays neutral with regard to jurisdictional claims in published maps and institutional affiliations. |
© 2021 by the authors. Licensee MDPI, Basel, Switzerland. This article is an open access article distributed under the terms and conditions of the Creative Commons Attribution (CC BY) license (https://creativecommons.org/licenses/by/4.0/).
Share and Cite
Gu, X.; Li, X.; Zhang, W.; Gao, Y.; Kong, Y.; Liu, J.; Zhang, X. Effects of HPMC on Workability and Mechanical Properties of Concrete Using Iron Tailings as Aggregates. Materials 2021, 14, 6451. https://doi.org/10.3390/ma14216451
Gu X, Li X, Zhang W, Gao Y, Kong Y, Liu J, Zhang X. Effects of HPMC on Workability and Mechanical Properties of Concrete Using Iron Tailings as Aggregates. Materials. 2021; 14(21):6451. https://doi.org/10.3390/ma14216451
Chicago/Turabian StyleGu, Xiaowei, Xiaohui Li, Weifeng Zhang, Yuxin Gao, Yaning Kong, Jianping Liu, and Xinlong Zhang. 2021. "Effects of HPMC on Workability and Mechanical Properties of Concrete Using Iron Tailings as Aggregates" Materials 14, no. 21: 6451. https://doi.org/10.3390/ma14216451
APA StyleGu, X., Li, X., Zhang, W., Gao, Y., Kong, Y., Liu, J., & Zhang, X. (2021). Effects of HPMC on Workability and Mechanical Properties of Concrete Using Iron Tailings as Aggregates. Materials, 14(21), 6451. https://doi.org/10.3390/ma14216451
