Highly Conducting Li(Fe1−xMnx)0.88V0.08PO4 Cathode Materials Nanocrystallized from the Glassy State (x = 0.25, 0.5, 0.75)
Abstract
:1. Introduction
2. Materials and Methods
3. Results and Discussion
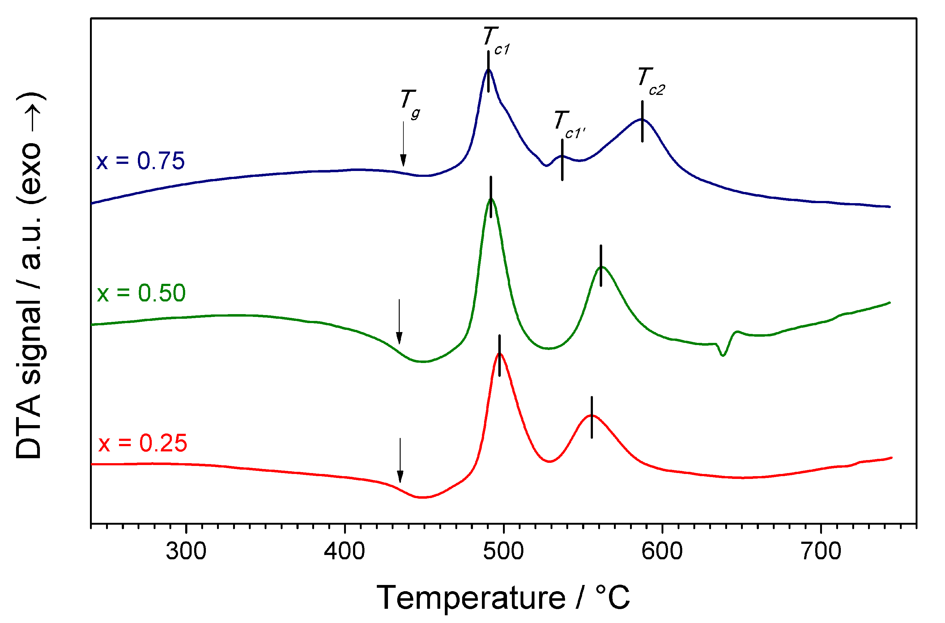
3.1. Differential Thermal Analysis (DTA)
3.2. X-ray Diffractometry (XRD)
3.3. Electrical Conductivity
3.4. Electrochemical Characterization
3.5. Transmission Electron Microscopy
4. Conclusions
Author Contributions
Funding
Institutional Review Board Statement
Informed Consent Statement
Data Availability Statement
Acknowledgments
Conflicts of Interest
Abbreviations
| XRD | X-ray diffractometry |
| DTA | Differential thermal analysis |
| IS | Impedance spectroscopy |
| TEM | Transmission electron microscopy |
References
- Reddy, M.V.; Mauger, A.; Julien, C.M.; Paolella, A.; Zaghib, K. Brief History of Early Lithium-Battery Development. Materials 2020, 13, 1884. [Google Scholar] [CrossRef] [Green Version]
- Lewis, G.N.; Keyes, F.G. The potential of the lithium electrode. J. Am. Chem. Soc. 1913, 35, 340–344. [Google Scholar] [CrossRef] [Green Version]
- Padhi, A.K.; Nanjundaswamy, K.S.; Goodenough, J.B. Phospho-olivines as Positive-Electrode Materials for Rechargeable Lithium Batteries. J. Electrochem. Soc. 1997, 144, 1188. [Google Scholar] [CrossRef]
- Ling, J.; Karuppiah, C.; Krishnan, S.G.; Reddy, M.V.; Misnon, I.I.; Rahim, M.H.A.; Yang, C.; Jose, R. Phosphate Polyanion Materials as High-Voltage Lithium-Ion Battery Cathode: A Review. Energy Fuels 2021, 35, 10428–10450. [Google Scholar] [CrossRef]
- Herrera, J.O.; Camacho-Montes, H.; Fuentes, L.E.; Lvarez-Contreras, L. LiMnPO4: Review on Synthesis and Electrochemical Properties. J. Mater. Sci. Chem. Eng. 2015, 3, 54. [Google Scholar]
- Kang, B.; Ceder, G. Electrochemical Performance of LiMnPO4 Synthesized with Off-Stoichiometry. J. Electrochem. Soc. 2010, 157, A808. [Google Scholar] [CrossRef]
- Damen, L.; Giorgio, F.D.; Monaco, S.; Veronesi, F.; Mastragostino, M. Synthesis and characterization of carbon-coated LiMnPO4 and LiMn1−xFexPO4 (x = 0.2, 0.3) materials for lithium-ion batteries. J. Power Sources 2012, 218, 250. [Google Scholar] [CrossRef]
- Molenda, J.; Ojczyk, W.; Marzec, J. Electrical conductivity and reaction with lithium of LiFe1−yMnyPO4 olivine-type cathode materials. J. Power Sources 2007, 174, 689. [Google Scholar] [CrossRef]
- Pietrzak, T.K.; Wasiucionek, M.; Garbarczyk, J.E. Towards Higher Electric Conductivity and Wider Phase Stability Range via Nanostructured Glass-Ceramics Processing. Nanomaterials 2021, 11, 1321. [Google Scholar] [CrossRef] [PubMed]
- Omenya, F.; Chernova, N.A.; Upreti, S.; Zavalij, P.Y.; Nam, K.-W.; Yang, X.-Q.; Whittingham, M.S. Can Vanadium Be Substituted into LiFePO4? Chem. Mater. 2011, 23, 4733–4740. [Google Scholar] [CrossRef]
- Garbarczyk, J.E.; Pietrzak, T.K.; Wasiucionek, M.; Kaleta, A.; Dorau, A.; Nowiński, J.L. High electronic conductivity in nanostructured materials based on lithium-iron-vanadate-phosphate glasses. Solid State Ionics 2015, 272, 53–59. [Google Scholar] [CrossRef]
- Frąckiewicz, J.E.; Pietrzak, T.K.; Wasiucionek, M.; Garbarczyk, J.E. Synthesis and Characterization of Highly-Conducting Nanocrystallized Li(Fe1−xMnx)0.88V0.08PO4 Cathode Materials (x = 0.25, 0.5, 0.75). ECS Trans. 2015, 80, 325–330. [Google Scholar] [CrossRef]
- Kang, B.; Ceder, G. Battery materials for ultrafast charging and discharging. Nature Lett. 2009, 458, 190. [Google Scholar] [CrossRef]
- Pietrzak, T.K. Multi-device software for impedance spectroscopy measurements with stabilization in low and high temperature ranges working under Linux environment. Ionics 2019, 25, 2445–2452. [Google Scholar] [CrossRef] [Green Version]
- Michalski, P.P.; Pietrzak, T.K.; Nowiński, J.L.; Wasiucionek, M.; Garbarczyk, J.E. Novel nanocrystalline mixed conductors based on LiFeBO3 glass. Solid State Ionics 2017, 302, 40–44. [Google Scholar] [CrossRef]
- Michalski, P.P.; Gołębiewska, A.; Trébosc, J.; Lafon, O.; Pietrzak, T.K.; Ryl, J.; Nowiński, J.L.; Wasiucionek, M.; Garbarczyk, J.E. Properties of LiMnBO3 glasses and nanostructured glass-ceramics. Solid State Ionics 2019, 334, 88–94. [Google Scholar] [CrossRef] [Green Version]
- Yamada, A.; Chung, S.-C. Optimized LiFePO4 for lithium battery cathodes. J. Electrochem. Soc. 2001, 148, A960. [Google Scholar] [CrossRef]
- Amin, R.; Maier, J.; Balaya, P.; Chen, D.P.; Lin, C.T. Ionic and electronic transport in single crystalline LiFePO4 grown by optical floating zone technique. Solid State Ionics 2008, 179, 1683–1687. [Google Scholar] [CrossRef]
- Pietrzak, T.K.; Kruk-Fura, P.E.; Mikołajczuk, P.J.; Garbarczyk, J.E. Syntheses and nanocrystallization of NaF–M2O3–P2O5 NASICON-like phosphate glasses (M = V, Ti, Fe). Int. J. Appl. Glass Sci. 2020, 11, 87–96. [Google Scholar] [CrossRef] [Green Version]
- Pietrzak, T.K.; Wasiucionek, M.; Michalski, P.P.; Kaleta, A.; Garbarczyk, J.E. Highly conductive cathode materials for Li-ion batteries prepared by thermal nanocrystallization of selected oxide glasses. Mater. Sci. Eng. 2016, 213, 140–147. [Google Scholar] [CrossRef]
- Austin, I.G.; Mott, N.F. Polarons in Crystalline and Non Crystalline Materials. Adv. Phys. 1969, 18, 41. [Google Scholar] [CrossRef]
- Chung, S.-Y.; Bloking, J.T.; Chiang, Y.-M. Electronically conductive phospho-olivines as lithium storage electrodes. Nat. Mater. 2002, 1, 123–128. [Google Scholar] [CrossRef]
- Pietrzak, T.K.; Zajkowska, W.K.; Wasiucionek, M.; Garbarczyk, J.E. Observation of the metal-insulator transition of VO2 in glasses and nanomaterials of MV2O5-P2O5 system (M = Li, Na, Mg). Solid State Ionics 2018, 322, 11–17. [Google Scholar] [CrossRef]
- Meligrana, G.; Lupo, F.D.; Ferrari, S.; Destro, M.; Bodoardo, S.; Gerbaldi, N.G.C. Surfactant-assisted mild hydrothermal synthesis to nanostructured mixed orthophosphates LiMnyFe1−yPO4/C lithium insertion cathode materials. Electrochim. Acta 2013, 105, 99–109. [Google Scholar] [CrossRef]
- Novikova, S.; Yaroslavtsev, S.; Rusakov, V.; Chekannikov, A.; Kulova, T.; Skundin, A.; Yaroslavtsev, A. Behavior of LiFe1−yMnyPO4/C cathode materials upon electrochemical lithium intercalation/deintercalation. J. Power Sources 2015, 300, 444–452. [Google Scholar] [CrossRef]
- Gibot, P.; Casas-Cabanas, M.; Laffont, L.; Levasseur, S.; Carlach, P.; Hamelet, S.; Tarascon, J.M.; Masquelier, C. Room-temperature single-phase Li insertion/extraction in nanoscale Li(x)FePO4. Nat. Mater. 2008, 7, 741. [Google Scholar]
- Zhang, L.; Liang, G.; Ignatov, A.; Croft, M.C.; Xiong, X.; Hung, I.; Huang, Y.; Hu, X.; Zhang, W.; Peng, Y. Effect of Vanadium Incorporation on Electrochemical Performance of LiFePO4 for Lithium-Ion Batteries. J. Phys. Chem. 2011, 115, 13520–13527. [Google Scholar] [CrossRef]
- Wang, L.; Li, Z.; Xu, H.; Zhang, K. Studies of Li3V2(PO4)3 Additives for the LiFePO4-Based Li Ion Batteries. J. Phys. Chem. 2008, 112, 308–312. [Google Scholar] [CrossRef]
- Yin, S.-C.; Grondey, H.; Strobel, P.; Anne, M.; Nazar, L.F. Charge Ordering in Lithium Vanadium Phosphates: Electrode Materials for Lithium-Ion Batteries. J. Am. Chem. Soc. 2003, 125, 10402–10411. [Google Scholar] [CrossRef]
- Kaleta, A.; Dłużewski, P.; Wasiucionek, M.; Pietrzak, T.K.; Nowiński, J.L.; Michalski, P.P.; Garbarczyk, J.E. TEM studies on thermally nanocrystallized vanadium-containing glassy analogs of LiFePO4 olivine. Mater. Charact. 2017, 127, 214–221. [Google Scholar] [CrossRef]









| x | Nominal Composition |
|---|---|
| 0.25 | Li(FeMn)VPO |
| 0.50 | Li(FeMn)VPO |
| 0.75 | Li(FeMn)VPO |
| x | / °C | / °C | / °C | / °C |
|---|---|---|---|---|
| 0.25 | 434.3 | 498.2 | — | 555.7 |
| 0.50 | 433.9 | 492.0 | — | 561.9 |
| 0.75 | 435.4 | 490.4 | 536.0 | 586.6 |
Publisher’s Note: MDPI stays neutral with regard to jurisdictional claims in published maps and institutional affiliations. |
© 2021 by the authors. Licensee MDPI, Basel, Switzerland. This article is an open access article distributed under the terms and conditions of the Creative Commons Attribution (CC BY) license (https://creativecommons.org/licenses/by/4.0/).
Share and Cite
Frąckiewicz, J.E.; Pietrzak, T.K. Highly Conducting Li(Fe1−xMnx)0.88V0.08PO4 Cathode Materials Nanocrystallized from the Glassy State (x = 0.25, 0.5, 0.75). Materials 2021, 14, 6434. https://doi.org/10.3390/ma14216434
Frąckiewicz JE, Pietrzak TK. Highly Conducting Li(Fe1−xMnx)0.88V0.08PO4 Cathode Materials Nanocrystallized from the Glassy State (x = 0.25, 0.5, 0.75). Materials. 2021; 14(21):6434. https://doi.org/10.3390/ma14216434
Chicago/Turabian StyleFrąckiewicz, Justyna E., and Tomasz K. Pietrzak. 2021. "Highly Conducting Li(Fe1−xMnx)0.88V0.08PO4 Cathode Materials Nanocrystallized from the Glassy State (x = 0.25, 0.5, 0.75)" Materials 14, no. 21: 6434. https://doi.org/10.3390/ma14216434
APA StyleFrąckiewicz, J. E., & Pietrzak, T. K. (2021). Highly Conducting Li(Fe1−xMnx)0.88V0.08PO4 Cathode Materials Nanocrystallized from the Glassy State (x = 0.25, 0.5, 0.75). Materials, 14(21), 6434. https://doi.org/10.3390/ma14216434

