Optical Quality of InAs/InP Quantum Dots on Distributed Bragg Reflector Emitting at 3rd Telecom Window Grown by Molecular Beam Epitaxy
Abstract
:1. Introduction
2. Materials and Methods
3. Results
3.1. Internal Quantum Efficiency
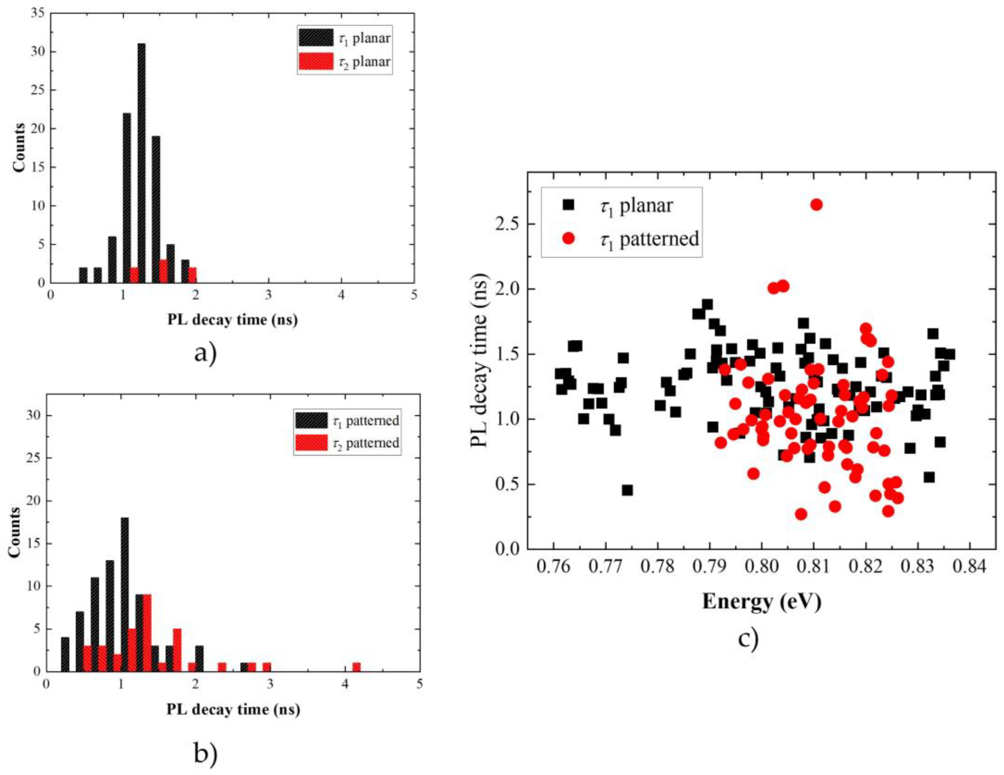
3.2. Carrier Dynamics
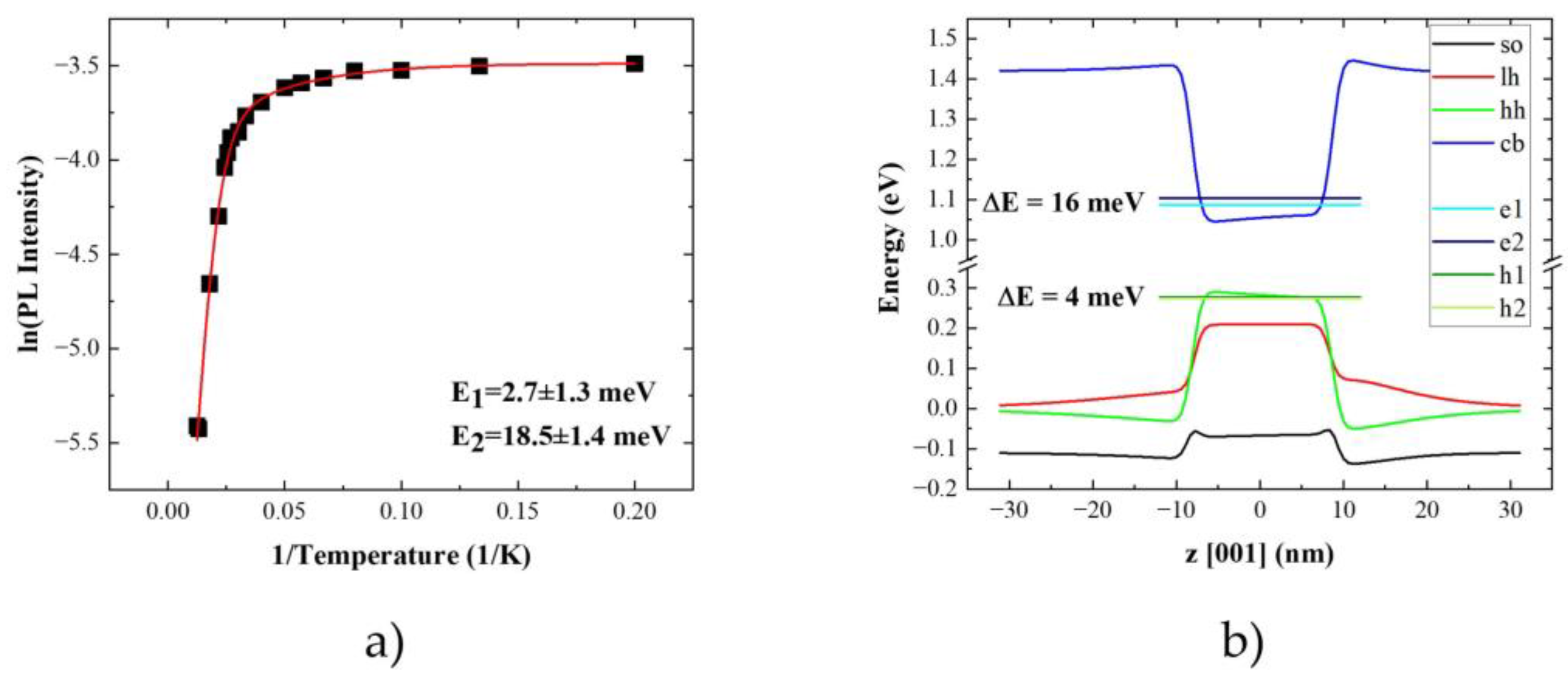
3.3. Thermal Stability of Emission
4. Conclusions
Author Contributions
Funding
Institutional Review Board Statement
Informed Consent Statement
Data Availability Statement
Acknowledgments
Conflicts of Interest
References
- Olbrich, F.; Kettler, J.; Bayerbach, M.; Paul, M.; Höschele, J.; Portalupi, S.L.; Jetter, M.; Michler, P. Temperature-dependent properties of single long-wavelength InGaAs quantum dots embedded in a strain reducing layer. J. Appl. Phys. 2017, 121, 184302. [Google Scholar] [CrossRef]
- Gisin, N.; Thew, R. Quantum communication. Nat. Photonics 2007, 1, 165–171. [Google Scholar] [CrossRef] [Green Version]
- Senellart, P.; Solomon, G.; White, A. High-performance semiconductor quantum-dot single-photon sources. Nat. Nanotechnol. 2017, 12, 1026–1039. [Google Scholar] [CrossRef] [PubMed]
- Rodt, S.; Schneider, P.-I.; Zschiedrich, L.; Heindel, T.; Bounouar, S.; Kantner, M.; Koprucki, T.; Bandelow, U.; Burger, S.; Reitzenstein, S. Deterministic Quantum Devices for Optical Quantum Communication BT—Semiconductor Nanophotonics: Materials, Models, and Devices; Kneissl, M., Knorr, A., Reitzenstein, S., Hoffmann, A., Eds.; Springer International Publishing: Cham, Switzerland, 2020; pp. 285–359. [Google Scholar]
- Lodahl, P. Quantum-dot based photonic quantum networks. Quantum Sci. Technol. 2017, 3, 013001. [Google Scholar] [CrossRef]
- Aharonovich, I.; Englund, D.; Toth, M. Solid-state single-photon emitters. Nat. Photonics 2016, 10, 631–641. [Google Scholar] [CrossRef]
- Cao, X.; Zopf, M.; Ding, F. Telecom wavelength single photon sources. J. Semicond. 2019, 40, 71901. [Google Scholar] [CrossRef]
- Schweickert, L.; Jöns, K.D.; Zeuner, K.; da Silva, S.; Huang, H.; Lettner, T.; Reindl, M.; Zichi, J.; Trotta, R.; Rastelli, A.; et al. On-demand generation of background-free single photons from a solid-state source. Appl. Phys. Lett. 2018, 112, 093106. [Google Scholar] [CrossRef]
- Zhou, Y.; Wang, Z.; Rasmita, A.; Kim, S.; Berhane, A.; Bodrog, Z.; Adamo, G.; Gali, A.; Aharonovich, I.; Gao, W.-B. Room temperature solid-state quantum emitters in the telecom range. Sci. Adv. 2018, 4, eaar3580. [Google Scholar] [CrossRef] [Green Version]
- Arita, M.; Le Roux, F.; Holmes, M.J.; Kako, S.; Arakawa, Y. Ultraclean Single Photon Emission from a GaN Quantum Dot. Nano Lett. 2017, 17, 2902–2907. [Google Scholar] [CrossRef]
- Naydenov, B.; Jelezko, F. Single-Color Centers in Diamond as Single-Photon Sources and Quantum Sensors BT—Advanced Photon Counting: Applications, Methods, Instrumentation; Kapusta, P., Wahl, M., Erdmann, R., Eds.; Springer International Publishing: Cham, Switzerland, 2015; pp. 303–318. [Google Scholar]
- Pezzagna, S.; Rogalla, D.; Wildanger, D.; Meijer, J.; Zaitsev, A. Creation and nature of optical centres in diamond for single-photon emission—overview and critical remarks. New J. Phys. 2011, 13, 035024. [Google Scholar] [CrossRef]
- Bradac, C.; Gao, W.; Forneris, J.; Trusheim, M.E.; Aharonovich, I. Quantum nanophotonics with group IV defects in diamond. Nat. Commun. 2019, 10, 5625. [Google Scholar] [CrossRef]
- Wang, J.; Zhou, Y.; Wang, Z.; Rasmita, A.; Yang, J.; Li, X.; Von Bardeleben, H.J.; Gao, W. Bright room temperature single photon source at telecom range in cubic silicon carbide. Nat. Commun. 2018, 9, 4106. [Google Scholar] [CrossRef]
- He, X.; Hartmann, N.F.; Ma, X.; Kim, Y.; Ihly, R.; Blackburn, J.L.; Gao, W.; Kono, J.; Yomogida, Y.; Hirano, A.; et al. Tunable room-temperature single-photon emission at telecom wavelengths from sp3 defects in carbon nanotubes. Nat. Photonics 2017, 11, 577–582. [Google Scholar] [CrossRef]
- Ma, X.; Hartmann, N.F.; Baldwin, J.K.S.; Doorn, S.K.; Htoon, H. Room-temperature single-photon generation from solitary dopants of carbon nanotubes. Nat. Nanotechnol. 2015, 10, 671–675. [Google Scholar] [CrossRef] [PubMed]
- Willis, R.T.; Becerra, F.E.; Orozco, L.A.; Rolston, S.L. Photon statistics and polarization correlations at telecommunications wavelengths from a warm atomic ensemble. Opt. Express 2011, 19, 14632–14641. [Google Scholar] [CrossRef]
- Waks, E.; Inoue, K.; Santori, C.; Fattal, D.; Vučković, J.; Solomon, G.S.; Yamamoto, Y. Quantum cryptography with a photon turnstile. Nature 2002, 420, 762. [Google Scholar] [CrossRef] [PubMed]
- Bock, M.; Lenhard, A.; Chunnilall, C.; Becher, C. Highly efficient heralded single-photon source for telecom wavelengths based on a PPLN waveguide. Opt. Express 2016, 24, 23992–24001. [Google Scholar] [CrossRef]
- Lenhard, A.; Bock, M.; Becher, C.; Kucera, S.; Brito, J.; Eich, P.; Müller, P.; Eschner, J. Telecom-heralded single-photon absorption by a single atom. Phys. Rev. A 2015, 92, 63827. [Google Scholar] [CrossRef] [Green Version]
- Ngah, L.A.; Alibart, O.; Labonté, L.; D’Auria, V.; Tanzilli, S. Ultra-fast heralded single photon source based on telecom technology. Laser Photonics Rev. 2015, 9, L1–L5. [Google Scholar] [CrossRef]
- Arakawa, Y.; Holmes, M.J. Progress in quantum-dot single photon sources for quantum information technologies: A broad spectrum overview. Appl. Phys. Rev. 2020, 7, 021309. [Google Scholar] [CrossRef]
- Muller, M.; Bounouar, S.; Jöns, K.D.; Glässl, M.; Michler, P. On-demand generation of indistinguishable polarization-entangled photon pairs. Nat. Photonics 2014, 8, 224–228. [Google Scholar] [CrossRef] [Green Version]
- Huber, D.; Reindl, M.; Aberl, J.; Rastelli, A.; Trotta, R. Semiconductor quantum dots as an ideal source of polarization-entangled photon pairs on-demand: A review. J. Opt. 2018, 20, 073002. [Google Scholar] [CrossRef] [Green Version]
- Wang, H.; Duan, Z.-C.; Li, Y.-H.; Chen, S.; Li, J.-P.; He, Y.-M.; Chen, M.-C.; Ding, X.; Peng, C.-Z.; Schneider, C.; et al. Near-Transform-Limited Single Photons from an Efficient Solid-State Quantum Emitter. Phys. Rev. Lett. 2016, 116, 213601. [Google Scholar] [CrossRef] [Green Version]
- Unsleber, S.; He, Y.-M.; Gerhardt, S.; Maier, S.; Lu, C.-Y.; Pan, J.-W.; Gregersen, N.; Kamp, M.; Schneider, C.; Hofling, S. Highly indistinguishable on-demand resonance fluorescence photons from a deterministic quantum dot micropillar device with 74% extraction efficiency. Opt. Express 2016, 24, 8539–8546. [Google Scholar] [CrossRef] [PubMed]
- Chen, Y.; Zopf, M.; Keil, R.; Ding, F.; Schmidt, O.G. Highly-efficient extraction of entangled photons from quantum dots using a broadband optical antenna. Nat. Commun. 2018, 9, 2994. [Google Scholar] [CrossRef]
- Claudon, J.; Bleuse, J.; Malik, N.S.; Bazin, M.; Jaffrennou, P.; Gregersen, N.; Sauvan, C.; Lalanne, P.; Gérard, J.-M. A highly efficient single-photon source based on a quantum dot in a photonic nanowire. Nat. Photonics 2010, 4, 174–177. [Google Scholar] [CrossRef]
- Gazzano, O.; de Vasconcellos, S.M.; Arnold, C.; Nowak, A.; Galopin, E.; Sagnes, I.; Lanco, L.; Lemaitre, A.; Senellart, P. Bright solid-state sources of indistinguishable single photons. Nat. Commun. 2013, 4, 1425. [Google Scholar] [CrossRef]
- Hanschke, L.; Schöll, E.; Schweickert, L.; Zeuner, K.D.; Reindl, M.; Da Silva, S.F.C.; Lettner, T.; Trotta, R.; Finley, J.J.; Müller, K.; et al. Resonance fluorescence of GaAs quantum dots with near-unity photon indistinguishability. SPIE 2020, 11471, 1147104. [Google Scholar] [CrossRef]
- Somaschi, N.; Giesz, V.; De Santis, L.; Loredo, J.C.; de Almeida, M.P.; Hornecker, G.; Portalupi, S.L.; Grange, T.; Anton, C.; Demory, J.; et al. Near-optimal single-photon sources in the solid state. Nat. Photonics 2016, 10, 340–345. [Google Scholar] [CrossRef]
- Schwartz, I.; Cogan, D.; Schmidgall, E.R.; Don, Y.; Gantz, L.; Kenneth, O.; Lindner, N.H.; Gershoni, D. Deterministic generation of a cluster state of entangled photons. Science 2016, 354, 434–437. [Google Scholar] [CrossRef] [Green Version]
- Miyazawa, T.; Takemoto, K.; Nambu, Y.; Miki, S.; Yamashita, T.; Terai, H.; Fujiwara, M.; Sasaki, M.; Sakuma, Y.; Takatsu, M.; et al. Single-photon emission at 1.5 μm from an InAs/InP quantum dot with highly suppressed multi-photon emission probabilities. Appl. Phys. Lett. 2016, 109, 132106. [Google Scholar] [CrossRef]
- Reindl, M.; Weber, J.H.; Huber, D.; Schimpf, C.; da Silva, S.F.C.; Portalupi, S.L.; Trotta, R.; Michler, P.; Rastelli, A. Highly indistinguishable single photons from incoherently excited quantum dots. Phys. Rev. B 2019, 100, 155420. [Google Scholar] [CrossRef] [Green Version]
- Schlehahn, A.; Schmidt, R.; Hopfmann, C.; Schulze, J.-H.; Strittmatter, A.; Heindel, T.; Gantz, L.; Schmidgall, E.R.; Gershoni, D.; Reitzenstein, S. Generating single photons at gigahertz modulation-speed using electrically controlled quantum dot microlenses. Appl. Phys. Lett. 2016, 108, 021104. [Google Scholar] [CrossRef] [Green Version]
- Schlehahn, A.; Gaafar, M.; Vaupel, M.; Gschrey, M.; Schnauber, P.; Schulze, J.-H.; Rodt, S.; Strittmatter, A.; Stolz, W.; Rahimi-Iman, A.; et al. Single-photon emission at a rate of 143 MHz from a deterministic quantum-dot microlens triggered by a mode-locked vertical-external-cavity surface-emitting laser. Appl. Phys. Lett. 2015, 107, 041105. [Google Scholar] [CrossRef]
- Huber, D.; Reindl, M.; da Silva, S.F.C.; Schimpf, C.; Martín-Sánchez, J.; Huang, H.; Piredda, G.; Edlinger, J.; Rastelli, A.; Trotta, R. Strain-Tunable GaAs Quantum Dot: A Nearly Dephasing-Free Source of Entangled Photon Pairs on Demand. Phys. Rev. Lett. 2018, 121, 033902. [Google Scholar] [CrossRef] [PubMed] [Green Version]
- Michler, P. Quantum Dots for Quantum Information Technologies, 1st ed.; Springer International Publishing: Berlin/Heidelberg, Germany, 2017. [Google Scholar]
- Ding, X.; He, Y.; Duan, Z.-C.; Gregersen, N.; Chen, M.-C.; Unsleber, S.; Maier, S.; Schneider, C.; Kamp, M.; Hofling, S.; et al. On-Demand Single Photons with High Extraction Efficiency and Near-Unity Indistinguishability from a Resonantly Driven Quantum Dot in a Micropillar. Phys. Rev. Lett. 2016, 116, 020401. [Google Scholar] [CrossRef] [PubMed] [Green Version]
- Reindl, M.; Huber, D.; Schimpf, C.; da Silva, S.F.C.; Rota, M.B.; Huang, H.; Zwiller, V.; Jöns, K.D.; Rastelli, A.; Trotta, R. All-photonic quantum teleportation using on-demand solid-state quantum emitters. Sci. Adv. 2018, 4, eaau1255. [Google Scholar] [CrossRef] [Green Version]
- De Greve, K.; Yu, L.; McMahon, P.L.; Pelc, J.S.; Natarajan, C.M.; Kim, N.Y.; Abe, E.; Maier, S.; Schneider, C.; Kamp, M.; et al. Quantum-dot spin–photon entanglement via frequency downconversion to telecom wavelength. Nature 2012, 491, 421–425. [Google Scholar] [CrossRef]
- Weber, J.H.; Kambs, B.; Kettler, J.; Kern, S.; Maisch, J.; Vural, H.; Jetter, M.; Portalupi, S.L.; Becher, C.; Michler, P. Two-photon interference in the telecom C-band after frequency conversion of photons from remote quantum emitters. Nat. Nanotechnol. 2018, 14, 23–26. [Google Scholar] [CrossRef] [PubMed] [Green Version]
- Buckley, S.; Rivoire, K.; Vuckovic, J. Engineered quantum dot single-photon sources. Rep. Prog. Phys. 2012, 75, 126503. [Google Scholar] [CrossRef] [PubMed]
- Shields, A.J. Semiconductor quantum light sources. Nat. Photonics 2007, 1, 215–223. [Google Scholar] [CrossRef] [Green Version]
- Bonadeo, N.H.; Erland, J.; Gammon, D.; Park, D.; Katzer, D.S.; Steel, D.G. Coherent Optical Control of the Quantum State of a Single Quantum Dot. Science 1998, 282, 1473–1476. [Google Scholar] [CrossRef]
- Ramsay, A.J. A review of the coherent optical control of the exciton and spin states of semiconductor quantum dots. Semicond. Sci. Technol. 2010, 25, 103001. [Google Scholar] [CrossRef]
- Press, D.; Ladd, T.D.; Zhang, B.; Yamamoto, Y. Complete quantum control of a single quantum dot spin using ultrafast optical pulses. Nature 2008, 456, 218–221. [Google Scholar] [CrossRef]
- Schlehahn, A.; Thoma, A.; Munnelly, P.; Kamp, M.; Hofling, S.; Heindel, T.; Schneider, C.; Reitzenstein, S. An electrically driven cavity-enhanced source of indistinguishable photons with 61% overall efficiency. APL Photonics 2016, 1, 011301. [Google Scholar] [CrossRef] [Green Version]
- Miyazawa, T.; Nakaoka, T.; Okumura, S.; Hirose, S.; Takemoto, K.; Takatsu, M.; Usuki, T.; Yokoyama, N.; Arakawa, Y. Sub-GHz operation of single-photon emitting diode at 1.55 μm. SPIE 2009, 7214, 72140U. [Google Scholar] [CrossRef]
- Müller, T.; Skiba-Szymanska, J.; Krysa, A.B.; Huwer, J.; Felle, M.; Anderson, M.; Stevenson, R.M.; Heffernan, J.; Ritchie, D.A.; Shields, A.J. A quantum light-emitting diode for the standard telecom window around 1550 nm. Nat. Commun. 2018, 9, 862. [Google Scholar] [CrossRef] [PubMed]
- Miyazawa, T.; Okumura, S.; Hirose, S.; Takemoto, K.; Takatsu, M.; Usuki, T.; Yokoyama, N.; Arakawa, Y. First Demonstration of Electrically Driven 1.55 µm Single-Photon Generator. Jpn. J. Appl. Phys. 2008, 47, 2880–2883. [Google Scholar] [CrossRef]
- Zhang, J.; Wildmann, J.S.; Ding, F.; Trotta, R.; Huo, Y.; Zallo, E.; Huber, D.; Rastelli, A.; Schmidt, O.G. High yield and ultrafast sources of electrically triggered entangled-photon pairs based on strain-tunable quantum dots. Nat. Commun. 2015, 6, 10067. [Google Scholar] [CrossRef]
- Xue, Y.; Chen, Z.; Ni, H.; Niu, Z.; Jiang, D.; Dou, X.; Sun, B. 1.3 μm single-photon emission from strain-coupled bilayer of InAs/GaAs quantum dots at the temperature up to 120 K. Appl. Phys. Lett. 2017, 111, 182102. [Google Scholar] [CrossRef]
- Quandela. The Light in Quantum Technologies. Available online: http://quandela.com/ (accessed on 13 November 2020).
- Schlehahn, A.; Fischbach, S.; Schmidt, R.; Kaganskiy, A.; Strittmatter, A.; Rodt, S.; Heindel, T.; Reitzenstein, S. A stand-alone fiber-coupled single-photon source. Sci. Rep. 2018, 8, 1340. [Google Scholar] [CrossRef]
- Musiał, A.; Żołnacz, K.; Srocka, N.; Kravets, O.; Große, J.; Olszewski, J.; Poturaj, K.; Wójcik, G.; Mergo, P.; Dybka, K.; et al. Plug & Play Fiber-Coupled 73 kHz Single-Photon Source Operating in the Telecom O-Band. Adv. Quantum Technol. 2020, 3, 2000018. [Google Scholar] [CrossRef]
- Ustinov, V.M.; Maleev, N.A.; Zhukov, A.E.; Kovsh, A.R.; Egorov, A.; Lunev, A.V.; Volovik, B.V.; Krestnikov, I.L.; Musikhin, Y.G.; Bert, N.; et al. InAs/InGaAs quantum dot structures on GaAs substrates emitting at 1.3 μm. Appl. Phys. Lett. 1999, 74, 2815–2817. [Google Scholar] [CrossRef]
- Seravalli, L.; Frigeri, P.; Nasi, L.; Trevisi, G.; Bocchi, C. Metamorphic quantum dots: Quite different nanostructures. J. Appl. Phys. 2010, 108, 064324. [Google Scholar] [CrossRef]
- Paul, M.; Olbrich, F.; Höschele, J.; Schreier, S.; Kettler, J.; Portalupi, S.L.; Jetter, M.; Michler, P. Single-photon emission at 1.55 μm from MOVPE-grown InAs quantum dots on InGaAs/GaAs metamorphic buffers. Appl. Phys. Lett. 2017, 111, 033102. [Google Scholar] [CrossRef]
- Muñoz-Matutano, G.; Barrera, D.; Fernández-Pousa, C.; Chulia-Jordan, R.; Seravalli, L.; Trevisi, G.; Frigeri, P.; Sales, S.; Martínez-Pastor, J. All-Optical Fiber Hanbury Brown & Twiss Interferometer to study 1300 nm single photon emission of a metamorphic InAs Quantum Dot. Sci. Rep. 2016, 6, 27214. [Google Scholar] [CrossRef] [Green Version]
- Zhukov, A.E.; Kovsh, A.R.; Maleev, N.A.; Mikhrin, S.S.; Ustinov, V.M.; Tsatsul’Nikov, A.F.; Maximov, M.V.; Volovik, B.V.; Bedarev, D.A.; Shernyakov, Y.M.; et al. Long-wavelength lasing from multiply stacked InAs/InGaAs quantum dots on GaAs substrates. Appl. Phys. Lett. 1999, 75, 1926–1928. [Google Scholar] [CrossRef]
- Seravalli, L.; Minelli, M.; Frigeri, P.; Allegri, P.; Avanzini, V.; Franchi, S. The effect of strain on tuning of light emission energy of InAs/InGaAs quantum-dot nanostructures. Appl. Phys. Lett. 2003, 82, 2341–2343. [Google Scholar] [CrossRef]
- Goldmann, E.; Paul, M.; Krause, F.F.; Müller, K.; Kettler, J.; Mehrtens, T.; Rosenauer, A.; Jetter, M.; Michler, P.; Jahnke, F. Structural and emission properties of InGaAs/GaAs quantum dots emitting at 1.3 μm. Appl. Phys. Lett. 2014, 105, 152102. [Google Scholar] [CrossRef]
- Guffarth, F.; Heitz, R.; Schliwa, A.; Stier, O.; Ledentsov, N.N.; Kovsh, A.R.; Ustinov, V.M.; Bimberg, D. Strain engineering of self-organized InAs quantum dots. Phys. Rev. B 2001, 64, 085305. [Google Scholar] [CrossRef]
- Alloing, B.; Zinoni, C.; Zwiller, V.; Li, L.H.; Monat, C.; Gobet, M.; Buchs, G.; Fiore, A.; Pelucchi, E.; Kapon, E. Growth and characterization of single quantum dots emitting at 1300 nm. Appl. Phys. Lett. 2005, 86, 101908. [Google Scholar] [CrossRef] [Green Version]
- Paul, M.; Kettler, J.; Zeuner, K.; Clausen, C.; Jetter, M.; Michler, P. Metal-organic vapor-phase epitaxy-grown ultra-low density InGaAs/GaAs quantum dots exhibiting cascaded single-photon emission at 1.3 μm. Appl. Phys. Lett. 2015, 106, 122105. [Google Scholar] [CrossRef]
- Semenova, E.; Hostein, R.; Patriarche, G.; Mauguin, O.; Largeau, L.; Robert-Philip, I.; Beveratos, A.; Lemaître, A. Metamorphic approach to single quantum dot emission at 1.55μm on GaAs substrate. J. Appl. Phys. 2008, 103, 103533. [Google Scholar] [CrossRef]
- Seravalli, L.; Trevisi, G.; Muñoz-Matutano, G.; Rivas, D.; Martinez-Pastor, J.; Frigeri, P. Sub-critical InAs layers on metamorphic InGaAs for single quantum dot emission at telecom wavelengths. Cryst. Res. Technol. 2014, 49, 540–545. [Google Scholar] [CrossRef]
- Chen, Z.-S.; Ma, B.; Shang, X.-J.; Ni, H.-Q.; Wang, J.-L.; Niu, Z.-C. Bright Single-Photon Source at 1.3 μm Based on InAs Bilayer Quantum Dot in Micropillar. Nanoscale Res. Lett. 2017, 12, 378. [Google Scholar] [CrossRef] [Green Version]
- Zinoni, C.; Alloing, B.; Monat, C.; Zwiller, V.; Li, L.H.; Fiore, A.; Lunghi, L.; Gerardino, A.; De Riedmatten, H.; Zbinden, H.; et al. Time-resolved and antibunching experiments on single quantum dots at 1300 nm. Appl. Phys. Lett. 2006, 88, 131102. [Google Scholar] [CrossRef] [Green Version]
- Ripalda, J.M.; Granados, D.; González, Y.; Sánchez, A.M.; Molina, S.I.; García, J.M. Room temperature emission at 1.6 μm from InGaAs quantum dots capped with GaAsSb. Appl. Phys. Lett. 2005, 87, 202108. [Google Scholar] [CrossRef] [Green Version]
- Tatebayashi, J.; Nishioka, M.; Arakawa, Y. Over 1.5 μm light emission from InAs quantum dots embedded in InGaAs strain-reducing layer grown by metalorganic chemical vapor deposition. Appl. Phys. Lett. 2001, 78, 3469–3471. [Google Scholar] [CrossRef]
- Liu, H.Y.; Qiu, Y.; Jin, C.Y.; Walther, T.; Cullis, A.G. 1.55μm InAs quantum dots grown on a GaAs substrate using a GaAsSb metamorphic buffer layer. Appl. Phys. Lett. 2008, 92, 111906. [Google Scholar] [CrossRef]
- Portalupi, S.L.; Jetter, M.; Michler, P. InAs quantum dots grown on metamorphic buffers as non-classical light sources at telecom C-band: A review. Semicond. Sci. Technol. 2019, 34, 053001. [Google Scholar] [CrossRef]
- Li, Z.; Wang, Y.; You, M.; Liu, G. High characteristic temperature 1.5 µm wavelength laser diode via Sb-based quantum dots in quantum wells. J. Mod. Opt. 2019, 66, 643–646. [Google Scholar] [CrossRef]
- Le Ru, E.C.; Howe, P.; Jones, T.S.; Murray, R. Strain engineered InAs/GaAs quantum dots for 1.5 μm emitters. Phys. Status Solidi (c) 2003, 1221–1224. [Google Scholar] [CrossRef]
- Seravalli, L.; Trevisi, G.; Frigeri, P.; Rivas, D.; Muñoz-Matutano, G.; Suárez, I.; Alén, B.; Canet-Ferrer, J.; Martínez-Pastor, J.P. Single quantum dot emission at telecom wavelengths from metamorphic InAs/InGaAs nanostructures grown on GaAs substrates. Appl. Phys. Lett. 2011, 98, 173112. [Google Scholar] [CrossRef] [Green Version]
- Miyazawa, T.; Takemoto, K.; Sakuma, Y.; Hirose, S.; Usuki, T.; Yokoyama, N.; Takatsu, M.; Arakawa, Y. Single-Photon Generation in the 1.55-µm Optical-Fiber Band from an InAs/InP Quantum Dot. Jpn. J. Appl. Phys. 2005, 44, L620–L622. [Google Scholar] [CrossRef]
- Kubota, R.; Saiki, T.; Regreny, P.; Benamrouche, A.; Gendry, M. Low-Density InAs Quantum Dots Grown on InP(001) Using Solid-Source Molecular Beam Epitaxy with a Post-Growth Annealing Process. Jpn. J. Appl. Phys. 2010, 49 Pt 1, 0412011–0412014. [Google Scholar] [CrossRef]
- Leavitt, R.P.; Richardson, C.J.K. Pathway to achieving circular InAs quantum dots directly on (100) InP and to tuning their emission wavelengths toward 1.55 μm. J. Vac. Sci. Technol. B 2015, 33, 51202. [Google Scholar] [CrossRef]
- Kim, J.-H.; Cai, T.; Richardson, C.J.K.; Leavitt, R.P.; Waks, E. Two-photon interference from a bright single-photon source at telecom wavelengths. Optica 2016, 3, 577–584. [Google Scholar] [CrossRef] [Green Version]
- Takemoto, K.; Sakuma, Y.; Hirose, S.; Usuki, T.; Yokoyama, N. Observation of Exciton Transition in 1.3-1.55 µm Band from Single InAs/InP Quantum Dots in Mesa Structure. Jpn. J. Appl. Phys. 2004, 43, L349–L351. [Google Scholar] [CrossRef]
- Birowosuto, M.D.; Sumikura, H.; Matsuo, S.; Taniyama, H.; Van Veldhoven, P.J.; Nötzel, R.; Notomi, M. Fast Purcell-enhanced single photon source in 1550-nm telecom band from a resonant quantum dot-cavity coupling. Sci. Rep. 2012, 2, 321. [Google Scholar] [CrossRef] [Green Version]
- Ha, N.; Mano, T.; Dubos, S.; Kuroda, T.; Sakuma, Y.; Sakoda, K. Single photon emission from droplet epitaxial quantum dots in the standard telecom window around a wavelength of 1.55 μm. Appl. Phys. Express 2020, 13, 025002. [Google Scholar] [CrossRef]
- Kors, A.; Reithmaier, J.P.; Benyoucef, M. Telecom wavelength single quantum dots with very small excitonic fine-structure splitting. Appl. Phys. Lett. 2018, 112, 172102. [Google Scholar] [CrossRef] [Green Version]
- Skiba-Szymanska, J.; Stevenson, R.M.; Varnava, C.; Felle, M.; Huwer, J.; Müller, T.; Bennett, A.; Lee, J.P.; Farrer, I.; Krysa, A.; et al. Universal Growth Scheme for Quantum Dots with Low Fine-Structure Splitting at Various Emission Wavelengths. Phys. Rev. Appl. 2017, 8, 014013. [Google Scholar] [CrossRef] [Green Version]
- Sauerwald, A.; Kümmell, T.; Bacher, G.; Somers, A.; Schwertberger, R.; Reithmaier, J.P.; Forchel, A. Size control of InAs quantum dashes. Appl. Phys. Lett. 2005, 86, 253112. [Google Scholar] [CrossRef]
- Holewa, P.; Gawełczyk, M.; Ciostek, C.; Wyborski, P.; Kadkhodazadeh, S.; Semenova, E.; Syperek, M. Optical and electronic properties of low-density InAs/InP quantum-dot-like structures designed for single-photon emitters at telecom wavelengths. Phys. Rev. B 2020, 101, 195304. [Google Scholar] [CrossRef]
- JCMwave. Complete Finite Element Technology for Optical Simulations. Available online: https://jcmwave.com/ (accessed on 30 November 2020).
- Yacob, M.; Reithmaier, J.P.; Benyoucef, M. Low-density InP-based quantum dots emitting around the 1.5 μm telecom wavelength range. Appl. Phys. Lett. 2014, 104, 22113. [Google Scholar] [CrossRef]
- Benyoucef, M.; Yacob, M.; Reithmaier, J.P.; Kettler, J.; Michler, P. Telecom-wavelength (1.5 μm) single-photon emission from InP-based quantum dots. Appl. Phys. Lett. 2013, 103, 162101. [Google Scholar] [CrossRef]
- Rudno-Rudziński, W.; Burakowski, M.; Reithmaier, J.; Musiał, A.; Benyoucef, M. Magneto-Optical Characterization of Trions in Symmetric InP-Based Quantum Dots for Quantum Communication Applications. Materials 2021, 14, 942. [Google Scholar] [CrossRef] [PubMed]
- Musiał, A.; Holewa, P.; Wyborski, P.; Syperek, M.; Kors, A.; Reithmaier, J.P.; Sęk, G.; Benyoucef, M. High-Purity Triggered Single-Photon Emission from Symmetric Single InAs/InP Quantum Dots around the Telecom C-Band Window. Adv. Quantum Technol. 2020, 3, 1900082. [Google Scholar] [CrossRef] [Green Version]
- Kavokin, A. Microcavities; Oxford University Press: Oxford, UK; New York, NY, USA, 2011. [Google Scholar]
- Muriel, M.A.; Carballar, A. Internal field distributions in fiber Bragg gratings. IEEE Photonics Technol. Lett. 1997, 9, 955–957. [Google Scholar] [CrossRef]
- Saha, A.K.; Islam, S. An improved model for computing the reflectivity of a AlAs/GaAs based distributed bragg reflector and vertical cavity surface emitting laser. Opt. Quantum Electron. 2009, 41, 873–882. [Google Scholar] [CrossRef]
- Pettit, G.D.; Turner, W.J. Refractive Index of InP. J. Appl. Phys. 1965, 36, 2081. [Google Scholar] [CrossRef]
- Grasse, C.; Boehm, G.; Mueller, M.; Gruendl, T.; Meyer, R.; Amann, M.-C. Empirical modeling of the refractive index for (AlGaIn)As lattice matched to InP. Semicond. Sci. Technol. 2010, 25, 45018. [Google Scholar] [CrossRef]
- De Bernardi, C.; Meliga, M.; Morasca, S.; Rigo, C.; Sordo, B.; Stano, A. Refractive indices of InGaAlAs grown by molecular beam epitaxy. J. Appl. Phys. 1990, 68, 6513–6514. [Google Scholar] [CrossRef]
- Adachi, S. Optical dispersion relations for GaP, GaAs, GaSb, InP, InAs, InSb, AlxGa1−xAs, and In1−xGaxAsyP1−y. J. Appl. Phys. 1989, 66, 6030–6040. [Google Scholar] [CrossRef]
- Burt, M.G. The justification for applying the effective-mass approximation to microstructures. J. Phys. Condens. Matter 1992, 4, 6651–6690. [Google Scholar] [CrossRef]
- Foreman, B.A. Effective-mass Hamiltonian and boundary conditions for the valence bands of semiconductor microstructures. Phys. Rev. B 1993, 48, 4964–4967. [Google Scholar] [CrossRef]
- Gawarecki, K.; Machnikowski, P.; Kuhn, T. Electron states in a double quantum dot with broken axial symmetry. Phys. Rev. B 2014, 90, 085437. [Google Scholar] [CrossRef] [Green Version]
- Johansen, J.; Stobbe, S.; Nikolaev, I.S.; Lund-Hansen, T.; Kristensen, P.T.; Hvam, J.M.; Vos, W.L.; Lodahl, P. Quantum Efficiency of Self-Assembled Quantum Dots Determined by a Modified Optical Local Density of States. In Proceedings of the Conference on Lasers and Electro-Optics/Quantum Electronics and Laser Science Conference and Photonic Applications Systems Technologies, Baltimore, MA, USA, 6–11 May 2007; p. QMK5. Available online: http://www.osapublishing.org/abstract.cfm?URI=QELS-2007-QMK5 (accessed on 24 July 2021).
- Große, J.; Mrowiński, P.; Srocka, N.; Reitzenstein, S. Quantum efficiency and oscillator strength of InGaAs quantum dots for single-photon sources emitting in the telecommunication O-band. Appl. Phys. Lett. 2021, 119, 061103. [Google Scholar] [CrossRef]
- Barnes, W.; Björk, G.; Gerard, J.-M.; Jonsson, P.; Wasey, J.; Worthing, P.; Zwiller, V. Solid-state single photon sources: Light collection strategies. Eur. Phys. J. D-At. Mol. Opt. Plasma Phys. 2002, 18, 197–210. [Google Scholar] [CrossRef]
- Musiał, A.; Mikulicz, M.; Mrowiński, P.; Zielińska, A.; Sitarek, P.; Wyborski, P.; Kuniej, M.; Reithmaier, J.P.; Sęk, G.; Benyoucef, M. InP-based single-photon sources operating at telecom C-band with increased extraction efficiency. Appl. Phys. Lett. 2021, 118, 221101. [Google Scholar] [CrossRef]
- Mrowiński, P.; Sęk, G. Modelling the enhancement of spectrally broadband extraction efficiency of emission from single InAs/InP quantum dots at telecommunication wavelengths. Phys. B Condens. Matter 2019, 562, 141–147. [Google Scholar] [CrossRef] [Green Version]
- Andreani, L.C.; Panzarini, G.; Gérard, J.-M. Strong-coupling regime for quantum boxes in pillar microcavities: Theory. Phys. Rev. B 1999, 60, 13276–13279. [Google Scholar] [CrossRef]
- Dusanowski, Ł.; Syperek, M.; Rudno-Rudziński, W.; Mrowiński, P.; Sȩk, G.; Misiewicz, J.; Somers, A.; Reithmaier, J.P.; Höfling, S.; Forchel, A. Exciton and biexciton dynamics in single self-assembled InAs/InGaAlAs/InP quantum dash emitting near 1.55 μm. Appl. Phys. Lett. 2013, 103, 253113. [Google Scholar] [CrossRef]
- Inoshita, T.; Sakaki, H. Electron relaxation in a quantum dot: Significance of multiphonon processes. Phys. Rev. B 1992, 46, 7260–7263. [Google Scholar] [CrossRef] [PubMed]
- Gawełczyk, M.; Syperek, M.; Maryński, A.; Mrowiński, P.; Dusanowski, Ł.; Gawarecki, K.; Misiewicz, J.; Somers, A.; Reithmaier, J.P.; Höfling, S.; et al. Exciton lifetime and emission polarization dispersion in strongly in-plane asymmetric nanostructures. Phys. Rev. B 2017, 96, 245425. [Google Scholar] [CrossRef] [Green Version]
- Carmesin, C.; Olbrich, F.; Mehrtens, T.; Florian, M.; Michael, S.; Schreier, S.; Nawrath, C.; Paul, M.; Höschele, J.; Gerken, B.; et al. Structural and optical properties of InAs/(In)GaAs/GaAs quantum dots with single-photon emission in the telecom C-band up to 77 K. Phys. Rev. B 2018, 98, 125407. [Google Scholar] [CrossRef]
- Dusanowski, Ł.; Musiał, A.; Maryński, A.; Mrowiński, P.; Andrzejewski, J.; Machnikowski, P.; Misiewicz, J.; Somers, A.; Höfling, S.; Reithmaier, J.P.; et al. Phonon-assisted radiative recombination of excitons confined in strongly anisotropic nanostructures. Phys. Rev. B 2014, 90, 125424. [Google Scholar] [CrossRef] [Green Version]
- Varshni, Y. Temperature dependence of the energy gap in semiconductors. Physica 1967, 34, 149–154. [Google Scholar] [CrossRef]
- Gauss, C.F. Theoria Motvs Corporvm Coelestivm in Sectionibvs Conicis Solem Ambientivm; Svmtibvs Frid. Perthes et I.H. Besser: Hamburg, Germany, 1809. [Google Scholar]
- Vurgaftman, I.; Meyer, J.R.; Ram-Mohan, L.R. Band parameters for III–V compound semiconductors and their alloys. J. Appl. Phys. 2001, 89, 5815–5875. [Google Scholar] [CrossRef] [Green Version]
- Pässler, R.; Oelgart, G. Appropriate analytical description of the temperature dependence of exciton peak positions in GaAs/AlxGa1−xAs multiple quantum wells and the Γ8v−Γ6c gap of GaAs. J. Appl. Phys. 1997, 82, 2611–2616. [Google Scholar] [CrossRef]
- O’Donnell, K.P.; Chen, X. Temperature dependence of semiconductor band gaps. Appl. Phys. Lett. 1991, 58, 2924–2926. [Google Scholar] [CrossRef] [Green Version]
- Borcherds, P.H.; Alfrey, G.F.; Woods, A.D.B.; Saunderson, D.H. Phonon dispersion curves in indium phosphide. J. Phys. C: Solid State Phys. 1975, 8, 2022–2030. [Google Scholar] [CrossRef]
- Dusanowski, Ł.; Syperek, M.; Maryński, A.; Li, L.H.; Misiewicz, J.; Hofling, S.; Kamp, M.; Fiore, A.; Sęk, G. Single photon emission up to liquid nitrogen temperature from charged excitons confined in GaAs-based epitaxial nanostructures. Appl. Phys. Lett. 2015, 106, 233107. [Google Scholar] [CrossRef] [Green Version]
- Dusanowski, Ł.; Syperek, M.; Misiewicz, J.; Somers, A.; Hofling, S.; Kamp, M.; Reithmaier, J.P.; Sęk, G. Single-photon emission of InAs/InP quantum dashes at 1.55 μm and temperatures up to 80 K. Appl. Phys. Lett. 2016, 108, 163108. [Google Scholar] [CrossRef] [Green Version]
- Zeuner, K.; Paul, M.; Lettner, T.; Hedlund, C.R.; Schweickert, L.; Steinhauer, S.; Yang, L.; Zichi, J.; Hammar, M.; Jöns, K.D.; et al. A stable wavelength-tunable triggered source of single photons and cascaded photon pairs at the telecom C-band. Appl. Phys. Lett. 2018, 112, 173102. [Google Scholar] [CrossRef]
- Abbarchi, M.; Troiani, F.; Mastrandrea, C.; Goldoni, G.; Kuroda, T.; Mano, T.; Sakoda, K.; Koguchi, N.; Sanguinetti, S.; Vinattieri, A.; et al. Spectral diffusion and line broadening in single self-assembled GaAs/AlGaAs quantum dot photoluminescence. Appl. Phys. Lett. 2008, 93, 162101. [Google Scholar] [CrossRef]
- Mar, J.D.; Baumberg, J.J.; Xu, X.L.; Irvine, A.C.; Williams, D.A. Precise measurements of the dipole moment and polarizability of the neutral exciton and positive trion in a single quantum dot. Phys. Rev. B 2017, 95, 201304. [Google Scholar] [CrossRef] [Green Version]
- Ouerghui, W.; Melliti, A.; Maaref, M.; Bloch, J. Dependence on temperature of homogeneous broadening of InGaAs/InAs/GaAs quantum dot fundamental transitions. Phys. E Low Dimens. Syst. Nanostruct. 2005, 28, 519–524. [Google Scholar] [CrossRef]
- Syperek, M.; Dusanowski, Ł.; Andrzejewski, J.; Rudno-Rudziński, W.; Sȩk, G.; Misiewicz, J.; Lelarge, F.; Sęk, G. Carrier relaxation dynamics in InAs/GaInAsP/InP(001) quantum dashes emitting near 1.55 μm. Appl. Phys. Lett. 2013, 103, 083104. [Google Scholar] [CrossRef]
- Groenen, J.; Priester, C.; Carles, R. Strain distribution and optical phonons in InAs/InP self-assembled quantum dots. Phys. Rev. B 1999, 60, 16013–16017. [Google Scholar] [CrossRef]
- Arrhenius, S. Über die Reaktionsgeschwindigkeit bei der Inversion von Rohrzucker durch Säuren. Z. Phys. Chem. 1889, 4U, 226–248. [Google Scholar] [CrossRef] [Green Version]
- Podemski, P.; Kudrawiec, R.; Misiewicz, J.; Somers, A.; Schwertberger, R.; Reithmaier, J.P.; Forchel, A. Thermal quenching of photoluminescence from InAs/In0.53Ga0.23Al0.24As/InP quantum dashes with different sizes. Appl. Phys. Lett. 2006, 89, 151902. [Google Scholar] [CrossRef]









Publisher’s Note: MDPI stays neutral with regard to jurisdictional claims in published maps and institutional affiliations. |
© 2021 by the authors. Licensee MDPI, Basel, Switzerland. This article is an open access article distributed under the terms and conditions of the Creative Commons Attribution (CC BY) license (https://creativecommons.org/licenses/by/4.0/).
Share and Cite
Smołka, T.; Posmyk, K.; Wasiluk, M.; Wyborski, P.; Gawełczyk, M.; Mrowiński, P.; Mikulicz, M.; Zielińska, A.; Reithmaier, J.P.; Musiał, A.; et al. Optical Quality of InAs/InP Quantum Dots on Distributed Bragg Reflector Emitting at 3rd Telecom Window Grown by Molecular Beam Epitaxy. Materials 2021, 14, 6270. https://doi.org/10.3390/ma14216270
Smołka T, Posmyk K, Wasiluk M, Wyborski P, Gawełczyk M, Mrowiński P, Mikulicz M, Zielińska A, Reithmaier JP, Musiał A, et al. Optical Quality of InAs/InP Quantum Dots on Distributed Bragg Reflector Emitting at 3rd Telecom Window Grown by Molecular Beam Epitaxy. Materials. 2021; 14(21):6270. https://doi.org/10.3390/ma14216270
Chicago/Turabian StyleSmołka, Tristan, Katarzyna Posmyk, Maja Wasiluk, Paweł Wyborski, Michał Gawełczyk, Paweł Mrowiński, Monika Mikulicz, Agata Zielińska, Johann Peter Reithmaier, Anna Musiał, and et al. 2021. "Optical Quality of InAs/InP Quantum Dots on Distributed Bragg Reflector Emitting at 3rd Telecom Window Grown by Molecular Beam Epitaxy" Materials 14, no. 21: 6270. https://doi.org/10.3390/ma14216270
APA StyleSmołka, T., Posmyk, K., Wasiluk, M., Wyborski, P., Gawełczyk, M., Mrowiński, P., Mikulicz, M., Zielińska, A., Reithmaier, J. P., Musiał, A., & Benyoucef, M. (2021). Optical Quality of InAs/InP Quantum Dots on Distributed Bragg Reflector Emitting at 3rd Telecom Window Grown by Molecular Beam Epitaxy. Materials, 14(21), 6270. https://doi.org/10.3390/ma14216270

