Mechanical Properties of Polylactide Admixed with Carbon Nanotubes or Graphene Nanopowder
Abstract
:1. Introduction
2. Preparation of Samples
2.1. Basic Material
2.2. Applied Admixtures
2.3. Samples Manufacturing Process
2.4. Tensile Test
2.5. Impact Test
2.6. Life Durability
3. Results
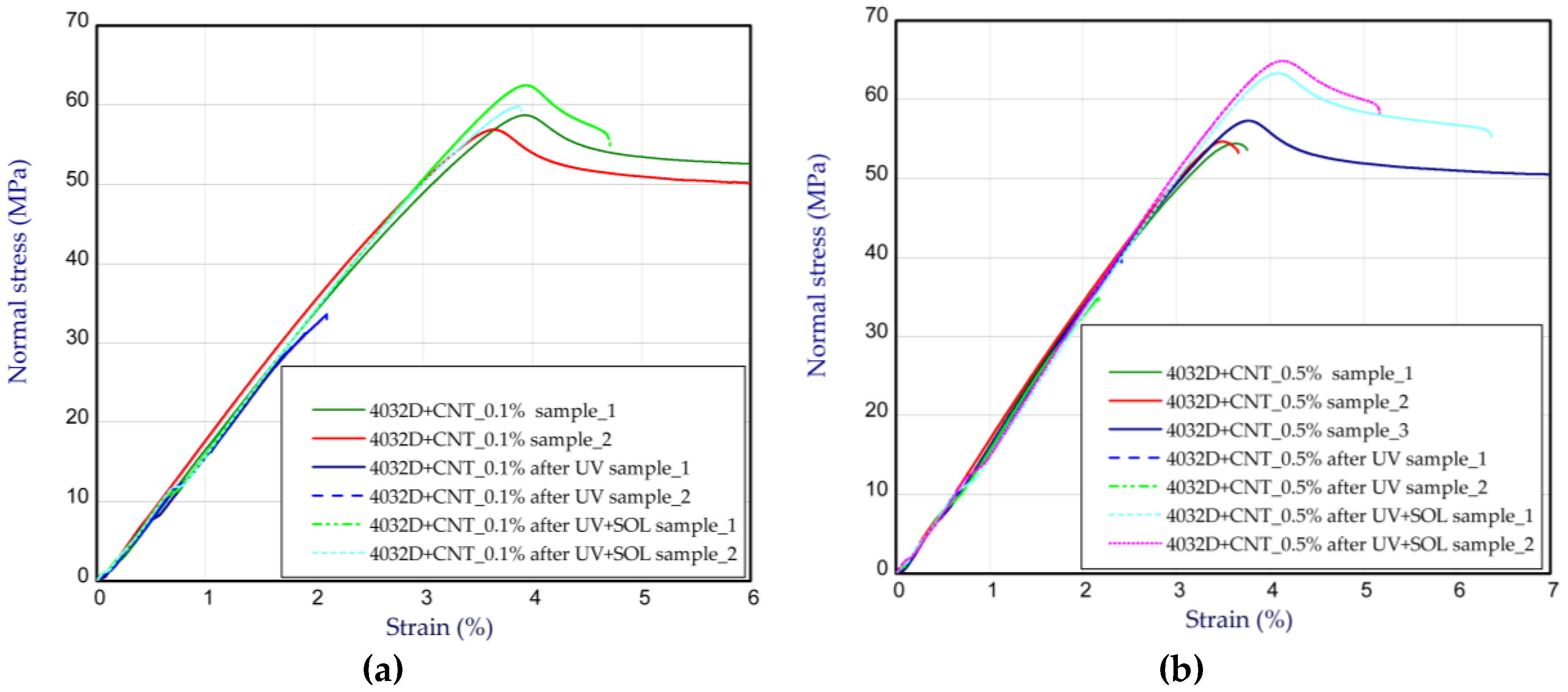
3.1. Tensile Test
3.2. Impact Test
4. Conclusions and Final Remarks
- The Young’s moduli among samples 3001D, 4032D and 4043D are comparable. After UV treatment, a slight increase in stiffness, for all the samples, was observed.
- In general, a content of graphene and CNTs of 0.1 wt.% or 0.5 wt.% in samples does not increase their stiffness or strength. Usually, these values are close to the values of pure PLA samples. Nevertheless, the influence of graphene and CNTs in samples is remarkable in tests just after UV treatment. This means that the samples subjected to the UV process had a strength that was 2–3 times less than the samples with UV treatment. However, the additives of GNP or CNTs in the samples enabled a strength close to the strength of the samples without the ageing process to be attained.
- Among the considered PLA samples, 3001D, 4032D, and 4043D, the Young’s modulus and the strength are the most comparable, but the PLA 4032D sample seemed to be slightly stronger.
- The content of graphene in the 4032D polylactide samples allowed a greater impact strength to obtained during the tests.
Author Contributions
Funding
Conflicts of Interest
References
- Figueroa-Velarde, V.; Diaz-Vidal, T.; Cisneros-López, E.O.; Robledo-Ortiz, J.R.; López-Naranjo, E.J.; Ortega-Gudiño, P.; Rosales-Rivera, L.C. Mechanical and Physicochemical Properties of 3D-Printed Agave Fibers/Poly(lactic) Acid Biocomposites. Materials 2021, 14, 3111. [Google Scholar] [CrossRef] [PubMed]
- Prajapati, A.R.; Dave, H.K.; Raval, H.K. Effect of fiber volume fraction on the impact strength of fiber reinforced polymer composites made by FDM process. Mater. Today Proc. 2021, 44, 2102–2106. [Google Scholar] [CrossRef]
- Haugan, I.N.; Lee, B.; Maher, M.J.; Zografos, A.; Schibur, H.J.; Jones, S.D.; Hillmyer, M.A.; Bates, F.S. Physical Aging of Polylactide-Based Graft Block Polymers. Macromolecules 2019, 52, 8878–8894. [Google Scholar] [CrossRef]
- Zaaba, N.F.; Jaafar, M. A review on degradation mechanisms of polylactic acid: Hydrolytic, photodegradative, microbial, and enzymatic degradation. Polym. Eng. Sci. 2020, 60, 2061–2074. [Google Scholar] [CrossRef]
- Drumright, R.E.; Gruber, P.R.; Henton, D.E. Polylactic Acid Technology. Adv. Mater. 2000, 12, 1841–1846. [Google Scholar] [CrossRef]
- Pan, P.; Zhu, B.; Inoue, Y. Enthalpy Relaxation and Embrittlement of Poly(L-lactide) during Physical Aging. Macromolecules 2007, 40, 9664–9671. [Google Scholar] [CrossRef]
- Smet, S.D.; Lingier, S.; Prez, F.E.D. MacroRAFT agents from renewable resources and their use as polymeric scaffolds in a grafting from approach. Polym. Chem. 2014, 5, 3163. [Google Scholar] [CrossRef]
- Laredo, E.; Prutsky, N.; Bello, A.; Grimau, M.; Castillo, R.V.; Müller, A.J.; Dubois, P. Miscibility in poly(L-lactide)-b-poly(ε-caprolactone) double crystalline diblock copolymers. Eur. Phys. J. E 2007, 23, 295–303. [Google Scholar] [CrossRef] [PubMed]
- Ho, C.H.; Vu-Khanh, T. Effects of time and temperature on physical aging of polycarbonate. Theor. Appl. Fract. Mech. 2003, 39, 107–116. [Google Scholar] [CrossRef]
- Ho, C.H.; Vu-Khanh, T. Physical aging and time–temperature behavior concerning fracture performance of polycarbonate. Theor. Appl. Fract. Mech. 2004, 41, 103–114. [Google Scholar] [CrossRef]
- Benin, S.R.; Kannan, S.; Bright, R.J.; Moses, A.J. A review on mechanical characterization of polymer matrix composites & its effects reinforced with various natural fibres. Mater. Today Proc. 2020, 33, 798–805. [Google Scholar]
- Venkatarajan, S.; Athijayamani, A. An overview on natural cellulose fiber reinforced polymer composites. Mater. Today Proc. 2021, 37, 3620–3624. [Google Scholar]
- Kosowska, K.; Szatkowski, P. Infuence of ZnO, SiO2 and TiO2 on the aging process of PLA fibers produced by electrospinning method. J. Therm. Anal. Calorim. 2020, 140, 1769–1778. [Google Scholar] [CrossRef] [PubMed] [Green Version]
- Arriagada, P.; Palza, H.; Palma, P.; Flores, M.; Caviedes, P. Poly(lactic acid) composites based on graphene oxide particles with antibacterial behavior enhanced by electrical stimulus and biocompatibility. J. Biomed. Mater. Res. Part A 2018, 106, 1051–1060. [Google Scholar] [CrossRef] [PubMed]
- Sanes, J.; Sánchez, C.; Pamies, R.; Avilés, M.-D.; Bermúdez, M.-D. Extrusion of Polymer Nanocomposites with Graphene and Graphene Derivative Nanofillers: An Overview of Recent Developments. Materials 2020, 13, 549. [Google Scholar] [CrossRef] [PubMed] [Green Version]
- Dou, H.; Cheng, Y.; Ye, W.; Zhang, D.; Li, J.; Miao, Z.; Rudykh, S. Effect of Process Parameters on Tensile Mechanical Properties of 3D Printing Continuous Carbon Fiber-Reinforced PLA Composites. Materials 2020, 13, 3850. [Google Scholar] [CrossRef] [PubMed]
- Kuschmitz, S.; Schirp, A.; Busse, J.; Watschke, H.; Schirp, C.; Vietor, T. Development and Processing of Continuous Flax and Carbon Fiber-Reinforced Thermoplastic Composites by a Modified Material Extrusion Process. Materials 2021, 14, 2332. [Google Scholar] [CrossRef] [PubMed]
- Dominguez-Alfaro, A.; Gabirondo, E.; Alegret, N.; María De León-Almazán, C.; Hernandez, R.; Vallejo-Illarramendi, A.; Prato, M.; Mecerreyes, D. 3D Printable Conducting and Biocompatible PEDOT-graft-PLA Copolymers by Direct Ink Writing. Macromol. Rapid Commun. 2021, 42, 2100100. [Google Scholar] [CrossRef] [PubMed]
- Kaseem, M.; Hamad, K.; Deri, F.; Ko, Y.G. A review on recent researches on polylactic acid/carbon nanotube composites. Polym. Bull. 2017, 74, 2921–2937. [Google Scholar] [CrossRef]
- Gonçalves, C.; Gonçalves, I.C.; Magalhães, F.D.; Pinto, A.M. Poly(lactic acid) Composites Containing Carbon-Based Nanomaterials: A Review. Polymers 2017, 9, 269. [Google Scholar] [CrossRef] [PubMed] [Green Version]










| Parameter | 3001D | 3001D after UV | 3001D after UV + SOL | 4032D | 4032D after UV | 4032D after UV + SOL | 4043D | 4043D after UV | 4043D after UV + SOL | |||
|---|---|---|---|---|---|---|---|---|---|---|---|---|
| Sample_1 | Sample_2 | Sample_1 | Sample_2 | Sample_1 | Sample_2 | |||||||
| Young modulus E [GPa] | 1.61 | 1.87 | 1.86 | 2.26 | 1.88 | 1.92 | 2.16 | 2.14 | 1.94 | 1.93 | 2.15 | 2.11 |
| Maximum stress Rm [MPa] | 57.1 | 62.7 | 24.1 | 55.1 | 63.1 | 61.8 | 22.4 | 54.6 | 61.7 | 61.4 | 27.5 | 60.6 |
| Strain at maximum load [%] | 4.61 | 4.09 | 1.39 | 2.97 | 4.21 | 3.97 | 1.23 | 2.88 | 4.04 | 3.98 | 1.50 | 3.93 |
| Parameter | 0.1% Graphene | 0.1% Graphene after UV | 0.1% Graphene after UV + SOL | 0.5% Graphene | 0.5% Graphene after UV | 0.5% Graphene after UV + SOL | |||||||
|---|---|---|---|---|---|---|---|---|---|---|---|---|---|
| Sample_1 | Sample_2 | Sample_1 | Sample_2 | Sample_1 | Sample_2 | Sample_1 | Sample_2 | Sample_3 | Sample_1 | Sample_2 | Sample_1 | Sample_2 | |
| Young modulus E [GPa] | 1.80 | 1.79 | 1.59 | 1.71 | 1.74 | 1.71 | 1.79 | 1.71 | 1.74 | 1.76 | 1.76 | 1.73 | 1.66 |
| Maximum stress Rm [MPa] | 59.9 | 64.0 | 35.9 | 32.2 | 61.7 | 63 | 56.9 | 62.7 | 57.6 | 53.6 | 56.1 | 62.6 | 63.6 |
| Strain at maximum load [%] | 3.74 | 3.91 | 2.23 | 1.89 | 3.83 | 3.90 | 3.62 | 4.04 | 3.76 | 3.51 | 3.60 | 3.87 | 3.99 |
| Parameter | 0.1% CNTs | 0.1% CNTs after UV | 0.1% CNTs after UV + SOL | 0.5% CNTs | 0.5% CNTs after UV | 0.5% CNTs after UV + SOL | |||||||
|---|---|---|---|---|---|---|---|---|---|---|---|---|---|
| Sample_1 | Sample_2 | Sample_1 | Sample_2 | Sample_1 | Sample_2 | Sample_1 | Sample_2 | Sample_3 | Sample_1 | Sample_2 | Sample_1 | Sample_2 | |
| Young modulus E [GPa] | 1.80 | 1.82 | 1.63 | 1.74 | 1.71 | 1.72 | 1.75 | 1.77 | 1.74 | 1.59 | 1.62 | 1.61 | 1.66 |
| Maximum stress Rm [MPa] | 58.6 | 56.9 | 31.2 | 33.6 | 62.5 | 59.8 | 54.4 | 54.7 | 57.3 | 40.0 | 34.9 | 63.3 | 64.9 |
| Strain at maximum load [%] | 3.86 | 3.62 | 1.91 | 2.11 | 3.92 | 3.85 | 3.58 | 3.47 | 3.72 | 2.41 | 2.16 | 4.03 | 4.11 |
| Parameter | 3001D | 3001D after UV | 3001D after UV + SOL | 4032D | 4032D after UV | 4032D after UV + SOL | 4043D | 4043D after UV | 4043D after UV + SOL |
|---|---|---|---|---|---|---|---|---|---|
| Energy [J] | 4.13 | 0.50 | 1.75 | 5.50 | 0.50 | 1.25 | 4.01 | 0.50 | 3.25 |
| Impact strength [J/m2] | 187.5 | 22.73 | 79.56 | 250.0 | 22.73 | 56.82 | 181.82 | 22.73 | 147.73 |
| Parameter | 4032D +0.1% Graphene | 4032D +0.1% Graphene after UV | 4032D +0.1% Graphene after UV + SOL | 4032D +0.5% Graphene | 4032D +0.5% Graphene after UV | 4032D +0.5% Graphene after UV + SOL |
|---|---|---|---|---|---|---|
| Energy [J] | 6.55 | 1.38 | 6.88 | 8.50 | 0.75 | 6.02 |
| Impact strength [J/m2] | 297.73 | 62.50 | 312.50 | 386.36 | 34.09 | 272.73 |
| Parameter | 4032D +0.1% CNTs | 4032D +0.1% CNTs after UV | 4032D +0.1% CNTs after UV + SOL | 4032D +0.5% CNTs | 4032D +0.5% CNTs after UV | 4032D +0.5% CNTs after UV + SOL |
|---|---|---|---|---|---|---|
| Energy [J] | 5.88 | 0.95 | 2.85 | 7.10 | 1.10 | 4.25 |
| Impact strength [J/m2] | 267.05 | 43.18 | 129.55 | 322.73 | 50.01 | 193.18 |
Publisher’s Note: MDPI stays neutral with regard to jurisdictional claims in published maps and institutional affiliations. |
© 2021 by the authors. Licensee MDPI, Basel, Switzerland. This article is an open access article distributed under the terms and conditions of the Creative Commons Attribution (CC BY) license (https://creativecommons.org/licenses/by/4.0/).
Share and Cite
Szatkowski, P.; Czechowski, L.; Gralewski, J.; Szatkowska, M. Mechanical Properties of Polylactide Admixed with Carbon Nanotubes or Graphene Nanopowder. Materials 2021, 14, 5955. https://doi.org/10.3390/ma14205955
Szatkowski P, Czechowski L, Gralewski J, Szatkowska M. Mechanical Properties of Polylactide Admixed with Carbon Nanotubes or Graphene Nanopowder. Materials. 2021; 14(20):5955. https://doi.org/10.3390/ma14205955
Chicago/Turabian StyleSzatkowski, Piotr, Leszek Czechowski, Jacek Gralewski, and Martyna Szatkowska. 2021. "Mechanical Properties of Polylactide Admixed with Carbon Nanotubes or Graphene Nanopowder" Materials 14, no. 20: 5955. https://doi.org/10.3390/ma14205955
APA StyleSzatkowski, P., Czechowski, L., Gralewski, J., & Szatkowska, M. (2021). Mechanical Properties of Polylactide Admixed with Carbon Nanotubes or Graphene Nanopowder. Materials, 14(20), 5955. https://doi.org/10.3390/ma14205955

