Experimental and Theoretical Screening for Green Solvents Improving Sulfamethizole Solubility
Abstract
1. Introduction
2. Materials and Methods
2.1. Materials
2.2. Sulfamethizole Solubility Determination
2.3. FTIR and DSC Characteristics of Solid Residues Obtained after Flask-Shake Procedure
2.4. COSMO-RS Solubility Computations
2.5. Affinity Indices
- DA index as the measure of mutual affinity of HB donor of solute (HBDsolute) and HB acceptor of the binary solvent (HBAsolvent), DA = HBDsolute − HBAsolvent.
- AD index as the measure of mutual affinity of HB acceptor of solute (HBDsolute) and HB donor of the binary solvent (HBAsolvent), AD = HBAsolute − HBDsolvent
- HH stands for hydrophobicity measure, HH = HYDsolute − HYDsolvent
- Affinity complementarity index is simply the sum of the three above, AC = AD + DA + HH.
2.6. Machine Learning Protocol
- accuracy: RMSD < 0.035 (root mean square deviation);
- precision: number of outliers out of domain ≤3 (of 175), ~less than 1.7%;
- reliability: predicted solubility within the formal range of log(x) between 0 and 1 for at least 99% of predicted or backcomputed values.
3. Results and Discussion
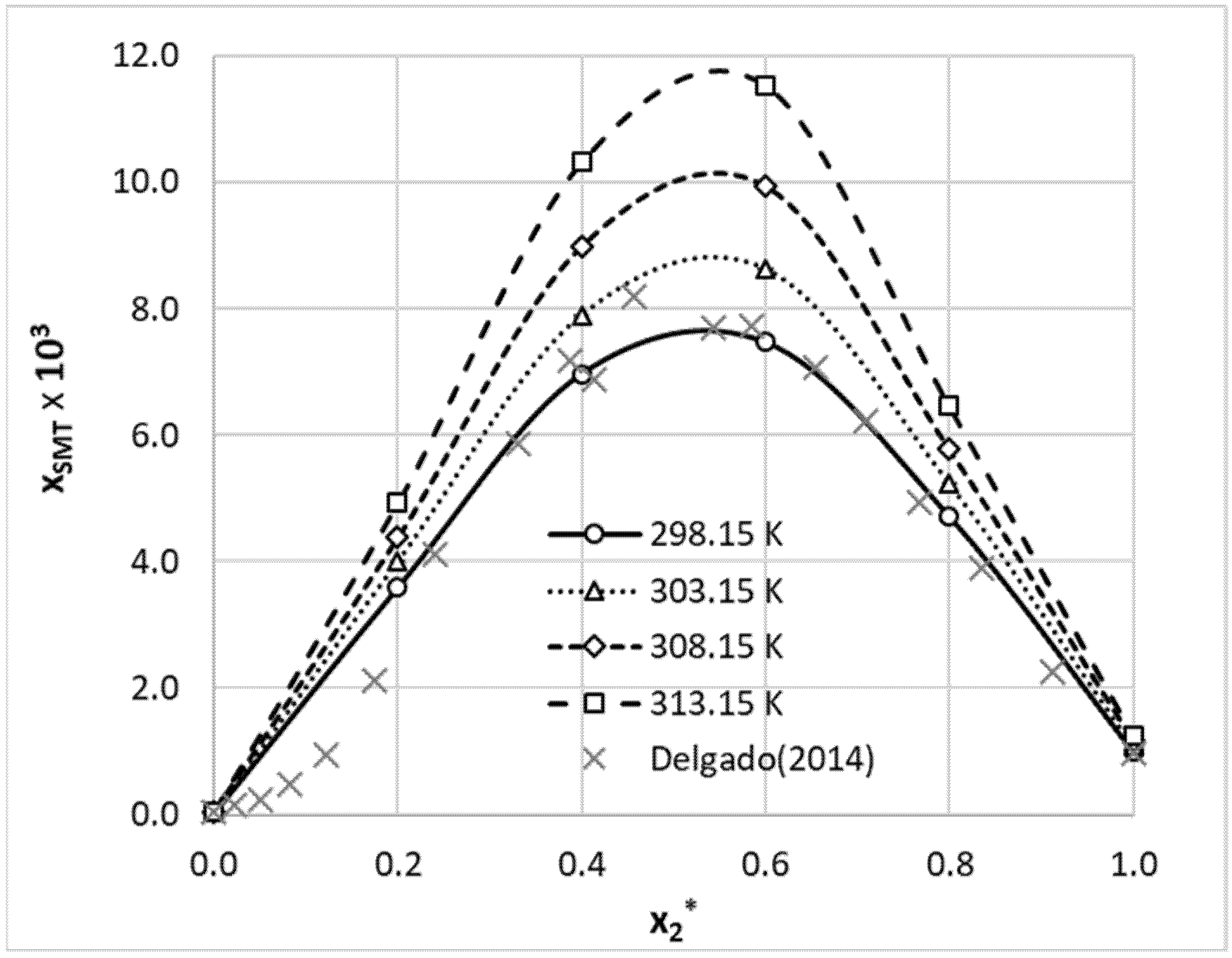
3.1. Sulfamethizole Solubility
3.2. Predictive Solubility Model
3.3. Sulfamethizole Solubility Screening
4. Conclusions
Supplementary Materials
Author Contributions
Funding
Institutional Review Board Statement
Informed Consent Statement
Data Availability Statement
Conflicts of Interest
References
- Yalkowsky, S.H.; Dannenfelser, R.M. Aquasol Database of Aqueous Solubility; Version 5; College of Pharmacy, University of Arizona: Tucson, AZ, USA, 1992. [Google Scholar]
- Thomas, S.P.; Veccham, S.P.K.P.; Farrugia, L.J.; Row, T.N.G. “Conformational simulation” of sulfamethizole by molecular complexation and insights from charge density analysis: Role of intramolecular S···O chalcogen bonding. Cryst. Growth Des. 2015, 15, 2110–2118. [Google Scholar] [CrossRef]
- Yuan, Y.; Li, D.; Wang, C.; Chen, S.; Kong, M.; Deng, Z.; Sun, C.C.; Zhang, H. Structural Features of Sulfamethizole and Its Cocrystals: Beauty within. Cryst. Growth Des. 2019, 19, 7185–7192. [Google Scholar] [CrossRef]
- Suresh, K.; Minkov, V.S.; Namila, K.K.; Derevyannikova, E.; Losev, E.; Nangia, A.; Boldyreva, E.V. Novel Synthons in Sulfamethizole Cocrystals: Structure-Property Relations and Solubility. Cryst. Growth Des. 2015, 15, 3498–3510. [Google Scholar] [CrossRef]
- Pose-Vilarnovo, B.; Perdomo-López, I.; Echezarreta-López, M.; Schroth-Pardo, P.; Estrada, E.; Torres-Labandeira, J.J. Improvement of water solubility of sulfamethizole through its complexation with β- and hydroxypropyl-β-cyclodextrin—Characterization of the interaction in solution and in solid state. Eur. J. Pharm. Sci. 2001, 13, 325–331. [Google Scholar] [CrossRef]
- MacHeras, P.E.; Reppas, C.I. Studies on drug-milk freeze-dried formulations I: Bioavailability of sulfamethizole and dicumarol formulations. J. Pharm. Sci. 1986, 75, 692–696. [Google Scholar] [CrossRef]
- Carucci, C.; Scalas, N.; Porcheddu, A.; Piludu, M.; Monduzzi, M.; Salis, A. Adsorption and release of sulfamethizole from mesoporous silica nanoparticles functionalised with triethylenetetramine. Int. J. Mol. Sci. 2021, 22, 7665. [Google Scholar] [CrossRef]
- Ha, E.S.; Kim, J.S.; Lee, S.K.; Sim, W.Y.; Jeong, J.S.; Kim, M.S. Solubility and modeling of telmisartan in binary solvent mixtures of dichloromethane and (methanol, ethanol, n-propanol, or n-butanol) and its application to the preparation of nanoparticles using the supercritical antisolvent technique. J. Mol. Liq. 2019, 295, 111719. [Google Scholar] [CrossRef]
- Ravi, M.; Julu, T.; Kim, N.A.; Park, K.E.; Jeong, S.H. Solubility determination of c-met inhibitor in solvent mixtures and mathematical modeling to develop nanosuspension formulation. Molecules 2021, 26, 390. [Google Scholar] [CrossRef] [PubMed]
- Elworthy, P.H.; Worthington, H.E.C. The solubility of sulphadiazine in water-dimethylformamide mixtures. J. Pharm. Pharmacol. 1968, 20, 830–835. [Google Scholar] [CrossRef]
- Cysewski, P.; Przybyłek, M.; Kowalska, A.; Tymorek, N. Thermodynamics and intermolecular interactions of nicotinamide in neat and binary solutions: Experimental measurements and COSMO-RS concentration dependent reactions investigations. Int. J. Mol. Sci. 2021, 22, 7365. [Google Scholar] [CrossRef]
- Cysewski, P.; Jeliński, T.; Cymerman, P.; Przybyłek, M. Solvent screening for solubility enhancement of theophylline in neat, binary and ternary NADES solvents: New measurements and ensemble machine learning. Int. J. Mol. Sci. 2021, 22, 7347. [Google Scholar] [CrossRef]
- Przybyłek, M.; Kowalska, A.; Tymorek, N.; Dziaman, T.; Cysewski, P. Thermodynamic characteristics of phenacetin in solid state and saturated solutions in several neat and binary solvents. Molecules 2021, 26, 4078. [Google Scholar] [CrossRef]
- Bustamante, C.; Bustamante, P. Nonlinear enthalpy-entropy compensation for the solubility of phenacetin in dioxane-water solvent mixtures. J. Pharm. Sci. 1996, 85, 1109–1111. [Google Scholar] [CrossRef] [PubMed]
- Jeliński, T.; Bugalska, N.; Koszucka, K.; Przybyłek, M.; Cysewski, P. Solubility of sulfanilamide in binary solvents containing water: Measurements and prediction using Buchowski-Ksiazczak solubility model. J. Mol. Liq. 2020, 319, 114342. [Google Scholar] [CrossRef]
- Jouyban, A.; Azarmir, O.; Mirzaei, S.; Hassanzadeh, D.; Ghafourian, T.; Acree, W.E.; Nokhodchi, A. Solubility prediction of paracetamol in water-ethanol-propylene glycol mixtures at 25 and 30°C using practical approaches. Chem. Pharm. Bull. 2008, 56, 602–606. [Google Scholar] [CrossRef][Green Version]
- Kang, X.; Li, M.; Li, J.; Wang, K.; Han, D.; Gong, J. Solubility Measurement and Thermodynamic Correlation of 4-(Hydroxymethyl) Benzoic Acid in Nine Pure Solvents and Two Binary Solvent Mixtures at (283.15-323.15) K. J. Chem. Eng. Data 2021, 66, 2114–2123. [Google Scholar] [CrossRef]
- Soltanpour, S.; Gharagozlu, A. Piroxicam Solubility in Binary and Ternary Solvents of Polyethylene Glycols 200 or 400 with Ethanol and Water at 298.2 K: Experimental Data Report and Modeling. J. Solution Chem. 2015, 44, 1407–1423. [Google Scholar] [CrossRef]
- Byrne, F.P.; Jin, S.; Paggiola, G.; Petchey, T.H.M.; Clark, J.H.; Farmer, T.J.; Hunt, A.J.; McElroy, C.R.; Sherwood, J. Tools and techniques for solvent selection: Green solvent selection guides. Sustain. Chem. Process. 2016, 4, 1–24. [Google Scholar] [CrossRef]
- Liu, M.; Lai, Z.; Zhu, L.; Ding, X.; Tong, X.; Wang, Z.; Bi, Q.; Tan, N. Novel amorphous solid dispersion based on natural deep eutectic solvent for enhancing delivery of anti-tumor RA-XII by oral administration in rats. Eur. J. Pharm. Sci. 2021, 166, 105931. [Google Scholar] [CrossRef] [PubMed]
- Faggian, M.; Sut, S.; Perissutti, B.; Baldan, V.; Grabnar, I.; Dall’Acqua, S. Natural Deep Eutectic Solvents (NADES) as a tool for bioavailability improvement: Pharmacokinetics of rutin dissolved in proline/glycine after oral administration in rats: Possible application in nutraceuticals. Molecules 2016, 21, 1531. [Google Scholar] [CrossRef]
- Cysewski, P.; Jeliński, T. Optimization, thermodynamic characteristics and solubility predictions of natural deep eutectic solvents used for sulfonamide dissolution. Int. J. Pharm. 2019, 570, 118682. [Google Scholar] [CrossRef]
- Jeliński, T.; Przybyłek, M.; Cysewski, P. Natural Deep Eutectic Solvents as Agents for Improving Solubility, Stability and Delivery of Curcumin. Pharm. Res. 2019, 36, 116. [Google Scholar] [CrossRef]
- Mustafa, N.R.; Spelbos, V.S.; Witkamp, G.J.; Verpoorte, R.; Choi, Y.H. Solubility and stability of some pharmaceuticals in natural deep eutectic solvents-based formulations. Molecules 2021, 26, 2645. [Google Scholar] [CrossRef] [PubMed]
- Olivares, B.; Martínez, F.; Rivas, L.; Calderón, C.; Munita, J.M.; Campodonico, P.R. A Natural Deep Eutectic Solvent Formulated to Stabilize β-Lactam Antibiotics. Sci. Rep. 2018, 8, 14900. [Google Scholar] [CrossRef] [PubMed]
- Jeliński, T.; Stasiak, D.; Kosmalski, T.; Cysewski, P. Experimental and Theoretical Study on Theobromine Solubility Enhancement in Binary Aqueous Solutions and Ternary Designed Solvents. Pharmaceutics 2021, 13, 1118. [Google Scholar] [CrossRef]
- Xie, Y.; Liu, H.; Lin, L.; Zhao, M.; Zhang, L.; Zhang, Y.; Wu, Y. Application of natural deep eutectic solvents to extract ferulic acid from Ligusticum chuanxiong Hort with microwave assistance. RSC Adv. 2019, 9, 22677–22684. [Google Scholar] [CrossRef]
- Lapeña, D.; Lomba, L.; Artal, M.; Lafuente, C.; Giner, B. The NADES glyceline as a potential Green Solvent: A comprehensive study of its thermophysical properties and effect of water inclusion. J. Chem. Thermodyn. 2019, 128, 164–172. [Google Scholar] [CrossRef]
- Wu, Y.C.; Wu, P.; Li, Y.B.; Liu, T.C.; Zhang, L.; Zhou, Y.H. Natural deep eutectic solvents as new green solvents to extract anthraquinones from: Rheum palmatum L. RSC Adv. 2018, 8, 15069–15077. [Google Scholar] [CrossRef]
- Vanda, H.; Dai, Y.; Wilson, E.G.; Verpoorte, R.; Choi, Y.H. Green solvents from ionic liquids and deep eutectic solvents to natural deep eutectic solvents. Comptes Rendus Chim. 2018, 21, 628–638. [Google Scholar] [CrossRef]
- Krisanti, E.; Terahadi, F.; Fauzia, F.; Putri, S. Alcohol-based natural deep eutectic solvents (NADES) as green solvents for extraction of mangostins from Garcinia mangostana pericarp. Planta Med. 2015, 81, PW_163. [Google Scholar] [CrossRef]
- Savi, L.K.; Dias, M.C.G.C.; Carpine, D.; Waszczynskyj, N.; Ribani, R.H.; Haminiuk, C.W.I. Natural deep eutectic solvents (NADES) based on citric acid and sucrose as a potential green technology: A comprehensive study of water inclusion and its effect on thermal, physical and rheological properties. Int. J. Food Sci. Technol. 2019, 54, 898–907. [Google Scholar] [CrossRef]
- Xiao, J.; Chen, G.; Li, N. Ionic liquid solutions as a green tool for the extraction and isolation of natural products. Molecules 2018, 23, 1765. [Google Scholar] [CrossRef] [PubMed]
- Greer, A.J.; Jacquemin, J.; Hardacre, C. Industrial Applications of Ionic Liquids. Molecules 2020, 25, 5207. [Google Scholar] [CrossRef]
- Zhao, L.; Liu, H.; Du, Y.; Liang, X.; Wang, W.; Zhao, H.; Li, W. An ionic liquid as a green solvent for high potency synthesis of 2D covalent organic frameworks. New J. Chem. 2020, 44, 15410–15414. [Google Scholar] [CrossRef]
- Chen, L.; Shi, Y.; Gao, B.; Zhao, Y.; Jiang, Y.; Zha, Z.; Xue, W.; Gong, L. Lignin Nanoparticles: Green Synthesis in a γ-Valerolactone/Water Binary Solvent and Application to Enhance Antimicrobial Activity of Essential Oils. ACS Sustain. Chem. Eng. 2020, 8, 714–722. [Google Scholar] [CrossRef]
- Parniakov, O.; Apicella, E.; Koubaa, M.; Barba, F.J.; Grimi, N.; Lebovka, N.; Pataro, G.; Ferrari, G.; Vorobiev, E. Ultrasound-assisted green solvent extraction of high-added value compounds from microalgae Nannochloropsis spp. Bioresour. Technol. 2015, 198, 262–267. [Google Scholar] [CrossRef] [PubMed]
- Martin, V.; Jadhav, S.; Egelund, P.H.G.; Liffert, R.; Johansson Castro, H.; Krüger, T.; Haselmann, K.F.; Thordal Le Quement, S.; Albericio, F.; Dettner, F.; et al. Harnessing polarity and viscosity to identify green binary solvent mixtures as viable alternatives to DMF in solid-phase peptide synthesis. Green Chem. 2021, 23, 3295–3311. [Google Scholar] [CrossRef]
- Watson, O.L.; Jonuzaj, S.; McGinty, J.; Sefcik, J.; Galindo, A.; Jackson, G.; Adjiman, C.S. Computer Aided Design of Solvent Blends for Hybrid Cooling and Antisolvent Crystallization of Active Pharmaceutical Ingredients. Org. Process Res. Dev. 2021, 25, 1123–1142. [Google Scholar] [CrossRef]
- Qiu, J.; Albrecht, J.; Janey, J. Solubility behaviors and correlations of common solvent- antisolvent systems. Org. Process Res. Dev. 2020, 24, 2722–2727. [Google Scholar] [CrossRef]
- Qiu, J.; Albrecht, J. Solubility Correlations of Common Organic Solvents. Org. Process Res. Dev. 2018, 22, 829–835. [Google Scholar] [CrossRef]
- Sheikholeslamzadeh, E.; Chen, C.C.; Rohani, S. Optimal solvent screening for the crystallization of pharmaceutical compounds from multisolvent systems. Ind. Eng. Chem. Res. 2012, 51, 13792–13802. [Google Scholar] [CrossRef]
- Qiu, J.; Albrecht, J.; Janey, J. Synergistic Solvation Effects: Enhanced Compound Solubility Using Binary Solvent Mixtures. Org. Process Res. Dev. 2019, 23, 1343–1351. [Google Scholar] [CrossRef]
- Constable, D.J.C.; Jimenez-Gonzalez, C.; Henderson, R.K. Perspective on solvent use in the pharmaceutical industry. Org. Process Res. Dev. 2007, 11, 133–137. [Google Scholar] [CrossRef]
- Rahimpour, E.; Acree, W.E.; Jouyban, A. Prediction of sulfonamides’ solubilities in the mixed solvents using solvation parameters. J. Mol. Liq. 2021, 339, 116269. [Google Scholar] [CrossRef]
- Delgado, D.R.; Martínez, F. Solution thermodynamics and preferential solvation of sulfamerazine in methanol + water mixtures. J. Solution Chem. 2015, 44, 360–377. [Google Scholar] [CrossRef]
- Blanco-Márquez, J.H.; Quigua-Medina, Y.A.; García-Murillo, J.D.; Castro-Camacho, J.K.; Ortiz, C.P.; Cerquera, N.E.; Delgado, D.R. Thermodynamic analysis and applications of the Abraham solvation parameter model in the study of the solubility of some sulfonamides. Rev. Colomb. Cienc. Quími. Farm. 2020, 49, 234–255. [Google Scholar] [CrossRef]
- Jiménez, D.M.; Cárdenas, Z.J.; Martínez, F. Solubility and solution thermodynamics of sulfadiazine in polyethylene glycol 400 + water mixtures. J. Mol. Liq. 2016, 216, 239–245. [Google Scholar] [CrossRef]
- Osorio, I.P.; Martínez, F.; Peña, M.A.; Jouyban, A.; Acree, W.E. Solubility, dissolution thermodynamics and preferential solvation of sulfadiazine in (N-methyl-2-pyrrolidone + water) mixtures. J. Mol. Liq. 2021, 330, 115693. [Google Scholar] [CrossRef]
- Osorio, I.P.; Martínez, F.; Peña, M.; Jouyban, A.; Acree, W.E. Solubility of sulphadiazine in some {Carbitol® (1) + water (2)} mixtures: Determination, correlation, and preferential solvation. Phys. Chem. Liq. 2021, 1–17. [Google Scholar] [CrossRef]
- Del Mar Muñoz, M.; Delgado, D.R.; Peña, M.Á.; Jouyban, A.; Martínez, F. Solubility and preferential solvation of sulfadiazine, sulfamerazine and sulfamethazine in propylene glycol + water mixtures at 298.15 K. J. Mol. Liq. 2015, 204, 132–136. [Google Scholar] [CrossRef]
- Blanco-Márquez, J.H.; Ortiz, C.P.; Cerquera, N.E.; Martínez, F.; Jouyban, A.; Delgado, D.R. Thermodynamic analysis of the solubility and preferential solvation of sulfamerazine in (acetonitrile + water) cosolvent mixtures at different temperatures. J. Mol. Liq. 2019, 293, 111507. [Google Scholar] [CrossRef]
- Delgado, D.R.; Martínez, F. Solubility and solution thermodynamics of sulfamerazine and sulfamethazine in some ethanol+water mixtures. Fluid Phase Equilib. 2013, 360, 88–96. [Google Scholar] [CrossRef]
- Blanco-Márquez, J.H.; Caviedes Rubio, D.I.; Ortiz, C.P.; Cerquera, N.E.; Martínez, F.; Delgado, D.R. Thermodynamic analysis and preferential solvation of sulfamethazine in acetonitrile + water cosolvent mixtures. Fluid Phase Equilib. 2020, 505, 112361. [Google Scholar] [CrossRef]
- Delgado, D.R.; Almanza, O.A.; Martínez, F.; Peña, M.A.; Jouyban, A.; Acree, W.E. Solution thermodynamics and preferential solvation of sulfamethazine in (methanol + water) mixtures. J. Chem. Thermodyn. 2016, 97, 264–276. [Google Scholar] [CrossRef]
- Cárdenas, Z.J.; Jiménez, D.M.; Almanza, O.A.; Jouyban, A.; Martínez, F.; Acree, W.E. Solubility and Preferential Solvation of Sulfanilamide, Sulfamethizole and Sulfapyridine in Methanol + Water Mixtures at 298.15 K. J. Solution Chem. 2016, 45, 1479–1503. [Google Scholar] [CrossRef]
- Aydi, A.; Ortiz, C.P.; Caviedes-Rubio, D.I.; Ayadi, C.; Hbaieb, S.; Delgado, D.R. Solution thermodynamics and preferential solvation of sulfamethazine in ethylene glycol + water mixtures. J. Taiwan Inst. Chem. Eng. 2021, 118, 68–77. [Google Scholar] [CrossRef]
- Kodide, K.; Asadi, P.; Thati, J. Solubility and Thermodynamic Modeling of Sulfanilamide in 12 Mono Solvents and 4 Binary Solvent Mixtures from 278.15 to 318.15 K. J. Chem. Eng. Data 2019, 64, 5196–5209. [Google Scholar] [CrossRef]
- Delgado, D.R.; Romdhani, A.; Martínez, F. Thermodynamics of Sulfanilamide solubility in Propylene Glycol + water mixtures. Lat. Am. J. Pharm. 2011, 30, 2024. [Google Scholar]
- Delgado, D.R.; Rodríguez, G.A.; Martínez, F. Thermodynamic study of the solubility of sulfapyridine in some ethanol + water mixtures. J. Mol. Liq. 2013, 177, 156–161. [Google Scholar] [CrossRef]
- Delgado, D.R.; Rodríguez, G.A.; Holguín, A.R.; Martínez, F.; Jouyban, A. Solubility of sulfapyridine in propylene glycol+water mixtures and correlation with the Jouyban-Acree model. Fluid Phase Equilib. 2013, 341, 86–95. [Google Scholar] [CrossRef]
- Romdhani, A.; Martínez, F.; Almanza, O.A.; Peña, M.A.; Jouyban, A.; Acree, W.E. Solubility of sulfacetamide in (ethanol + water) mixtures: Measurement, correlation, thermodynamics, preferential solvation and volumetric contribution at saturation. J. Mol. Liq. 2019, 290, 111219. [Google Scholar] [CrossRef]
- Osorio, I.P.; Martínez, F.; Delgado, D.R.; Jouyban, A.; Acree, W.E. Solubility of sulfacetamide in aqueous propylene glycol mixtures: Measurement, correlation, dissolution thermodynamics, preferential solvation and solute volumetric contribution at saturation. J. Mol. Liq. 2020, 297, 111889. [Google Scholar] [CrossRef]
- Delgado, D.R.; Romdhani, A.; Martínez, F. Solubility of sulfamethizole in some propylene glycol+water mixtures at several temperatures. Fluid Phase Equilib. 2012, 322–323, 322–323. [Google Scholar] [CrossRef]
- Cruz-González, A.M.; Vargas-Santana, M.S.; Ortiz, C.P.; Cerquera, N.E.; Delgado, D.R.; Martínez, F.; Jouyban, A.; Acree, W.E. Solubility of sulfadiazine in (ethylene glycol + water) mixtures: Measurement, correlation, thermodynamics and preferential solvation. J. Mol. Liq. 2021, 323, 115058. [Google Scholar] [CrossRef]
- Delgado, D.R.; Martínez, F. Solubility and solution thermodynamics of some sulfonamides in 1-propanol + water mixtures. J. Solution Chem. 2014, 43, 836–852. [Google Scholar] [CrossRef]
- Delgado, D.R.; Bahamón-Hernandez, O.; Cerquera, N.E.; Ortiz, C.P.; Martínez, F.; Rahimpour, E.; Jouyban, A.; Acree, W.E. Solubility of sulfadiazine in (acetonitrile + methanol) mixtures: Determination, correlation, dissolution thermodynamics and preferential solvation. J. Mol. Liq. 2021, 322, 114979. [Google Scholar] [CrossRef]
- Delgado, D.R.; Caviedes-Rubio, D.I.; Ortiz, C.P.; Parra-Pava, Y.L.; Peña, M.Á.; Jouyban, A.; Mirheydari, S.N.; Martínez, F.; Acree, W.E. Solubility of sulphadiazine in (acetonitrile + water) mixtures: Measurement, correlation, thermodynamics and preferential solvation. Phys. Chem. Liq. 2020, 58, 381–396. [Google Scholar] [CrossRef]
- Jiménez, D.M.; Cárdenas, Z.J.; Delgado, D.R.; Peña, M.T.; Martínez, F. Solubility temperature dependence and preferential solvation of sulfadiazine in 1,4-dioxane+water co-solvent mixtures. Fluid Phase Equilib. 2015, 397, 26–36. [Google Scholar] [CrossRef]
- Delgado, D.R.; Martínez, F. Solution thermodynamics of sulfadiazine in some ethanol + water mixtures. J. Mol. Liq. 2013, 187, 99–105. [Google Scholar] [CrossRef]
- Delgado, D.R.; Peña Fernández, M.Á.; Martínez, F. Preferential solvation of some sulfonamides in 1,4-dioxane + water co-solvent mixtures at 298.15 K according to the inverse Kirkwood-Buff integrals method. Rev. Acad. Colomb. Cienc. Exactas Físicas Nat. 2014, 38, 104–114. [Google Scholar] [CrossRef][Green Version]
- Delgado, D.R.; Peña, M.Á.; Martínez, F. Preferential Solvation of Some Sulfonamides in Propylene Glycol + Water Solvent Mixtures According to the IKBI and QLQC Methods. J. Solut. Chem. 2014, 43, 360–374. [Google Scholar] [CrossRef]
- Klamt, A.; Jonas, V.; Bürger, T.; Lohrenz, J.C.W. Refinement and parametrization of COSMO-RS. J. Phys. Chem. A 1998, 102, 5074–5085. [Google Scholar] [CrossRef]
- Klamt, A. COSMO-RS for aqueous solvation and interfaces. Fluid Phase Equilib. 2016, 407, 152–158. [Google Scholar] [CrossRef]
- Eckert, F.; Klamt, A. Fast solvent screening via quantum chemistry: COSMO-RS approach. AIChE J. 2002, 48, 369–385. [Google Scholar] [CrossRef]
- Klamt, A.; Eckert, F. COSMO-RS: A novel and efficient method for the a priori prediction of thermophysical data of liquids. Fluid Phase Equilib. 2000, 172, 43–72. [Google Scholar] [CrossRef]
- Grimme, S.; Antony, J.; Ehrlich, S.; Krieg, H. A consistent and accurate ab initio parametrization of density functional dispersion correction (DFT-D) for the 94 elements H-Pu. J. Chem. Phys. 2010, 132, 154104. [Google Scholar] [CrossRef]
- BIOVIA COSMOtherm, Release 2020; Dassault Systèmes. Available online: http://www.3ds.com (accessed on 1 August 2021).
- Tetko, I.V. Associative neural network. Methods Mol. Biol. 2008, 458, 185–202. [Google Scholar] [PubMed]
- Minovski, N.; Župerl, Š.; Drgan, V.; Novič, M. Assessment of applicability domain for multivariate counter-propagation artificial neural network predictive models by minimum Euclidean distance space analysis: A case study. Anal. Chim. Acta 2013, 759, 28–42. [Google Scholar] [CrossRef] [PubMed]
- Liu, R.; Wang, H.; Glover, K.P.; Feasel, M.G.; Wallqvist, A. Dissecting Machine-Learning Prediction of Molecular Activity: Is an Applicability Domain Needed for Quantitative Structure-Activity Relationship Models Based on Deep Neural Networks? J. Chem. Inf. Model. 2019, 59, 117–126. [Google Scholar] [CrossRef]
- Bergkamp, L.; Herbatschek, N. Regulating Chemical Substances under REACH: The Choice between Authorization and Restriction and the Case of Dipolar Aprotic Solvents. Rev. Eur. Comp. Int. Environ. Law 2014, 23, 221–245. [Google Scholar] [CrossRef]
- Xie, W.; Li, T.; Chen, C.; Wu, H.; Liang, S.; Chang, H.; Liu, B.; Drioli, E.; Wang, Q.; Crittenden, J.C. Using the Green Solvent Dimethyl Sulfoxide to Replace Traditional Solvents Partly and Fabricating PVC/PVC- g-PEGMA Blended Ultrafiltration Membranes with High Permeability and Rejection. Ind. Eng. Chem. Res. 2019, 58, 6413–6423. [Google Scholar] [CrossRef]
- Ponomarev, I.I.; Blagodatskikh, I.V.; Muranov, A.V.; Volkova, Y.A.; Razorenov, D.Y.; Ponomarev, I.I.; Skupov, K.M. Dimethyl sulfoxide as a green solvent for successful precipitative polyheterocyclization based on nucleophilic aromatic substitution, resulting in high molecular weight PIM-1. Mendeleev Commun. 2016, 26, 362–364. [Google Scholar] [CrossRef]
- Doolin, A.J.; Charles, R.G.; De Castro, C.S.P.; Rodriguez, R.G.; Péan, E.V.; Patidar, R.; Dunlop, T.; Charbonneau, C.; Watson, T.; Davies, M.L. Sustainable solvent selection for the manufacture of methylammonium lead triiodide (MAPbI3) perovskite solar cells. Green Chem. 2021, 23, 2471–2486. [Google Scholar] [CrossRef]
- McKim, A.S.; Strub, R. Dimethyl sulfoxide USP, PhEur in approved pharmaceutical products and medical devices. Pharm. Technol. 2008, 32, 74–85. [Google Scholar]
- Wishart, D.S.; Knox, C.; Guo, A.C.; Shrivastava, S.; Hassanali, M.; Stothard, P.; Chang, Z.; Woolsey, J. DrugBank: A comprehensive resource for in silico drug discovery and exploration. Nucleic Acids Res. 2006, 34, D668–D672. [Google Scholar] [CrossRef]
- DrugBank. Available online: https://go.drugbank.com/ (accessed on 1 August 2021).
- Leavitt, M.; Katona, A.; Perez, D.; Anderson, Z. A multicenter evaluation of 10% sulfacetamide sodium in a 10% urea vehicle scalp treatment lotion and a 10% urea deep cleansing antibacterial shampoo for the treatment of seborrheic dermatitis of the scalp. J. Am. Acad. Dermatol. 2005, 52, P111. [Google Scholar]
- Dumville, J.C.; Lipsky, B.A.; Hoey, C.; Cruciani, M.; Fiscon, M.; Xia, J. Topical antimicrobial agents for treating foot ulcers in people with diabetes. Cochrane Database Syst. Rev. 2017, 2017, CD011038. [Google Scholar] [CrossRef]
- Dai, T.; Huang, Y.Y.; K Sharma, S.; T Hashmi, J.; B Kurup, D.; R Hamblin, M. Topical Antimicrobials for Burn Wound Infections. Recent Pat. Antiinfect. Drug Discov. 2010, 5, 124–151. [Google Scholar] [CrossRef]
- Leyden, J.J.; Grove, G.; Zerweck, C. A double-blind, comparative facial tolerance study of a new 10% sodium sulfacetamide & 5% sulfur aqueous gel (in a 10% urea vehicle) vs. a 10% sodium sulfacetamide & 5% sulfur topical suspension in rosacea & acne subjects with sensitive skin. J. Am. Acad. Dermatol. 2004, 50, P17. [Google Scholar]
- Prat, D.; Wells, A.; Hayler, J.; Sneddon, H.; McElroy, C.R.; Abou-Shehada, S.; Dunn, P.J. CHEM21 selection guide of classical- and less classical-solvents. Green Chem. 2015, 18, 288–296. [Google Scholar] [CrossRef]
- Prat, D.; Hayler, J.; Wells, A. A survey of solvent selection guides. Green Chem. 2014, 16, 4546–4551. [Google Scholar] [CrossRef]
- Klamt, A. Conductor-like screening model for real solvents: A new approach to the quantitative calculation of solvation phenomena. J. Phys. Chem. 1995, 99, 2224–2235. [Google Scholar] [CrossRef]
- Harten, P.; Martin, T.; Gonzalez, M.; Young, D. The software tool to find greener solvent replacements, PARIS III. Environ. Prog. Sustain. Energy 2020, 39, e13331. [Google Scholar] [CrossRef]
- Li, M.; Harten, P.F.; Cabezas, H. Experiences in designing solvents for the environment. Ind. Eng. Chem. Res. 2002, 41, 5867–5877. [Google Scholar] [CrossRef]
- Cabezas, H.; Harten, P.F.; Green, M.R. Designing Greener Solvents. Chem. Eng. 2000, 107, 107–109. [Google Scholar]
- Harten, P.F. Program for Assisting the Replacement of Industrial Solvents (PARIS III). In Proceedings of the 18th Annual Green Chemistry & Engineering Conference, North Bethesda, MD, USA, 17–19 June 2014. [Google Scholar]
- Harten, P. Finding greener solvent mixtures to replace those used in manufacturing processes-Paris III. In Proceedings of the 3rd International Congress on Sustainability Science and Engineering, ICOSSE 2013, Cincinnati, OH, USA, 11–15 August 2013; pp. 311–331. [Google Scholar]
- U.S. Environmental Protection Agency. Available online: https://www.epa.gov/ (accessed on 1 August 2021).
- Kumar, A.; Jad, Y.E.; El-Faham, A.; de la Torre, B.G.; Albericio, F. Green solid-phase peptide synthesis 4. γ-Valerolactone and N-formylmorpholine as green solvents for solid phase peptide synthesis. Tetrahedron Lett. 2017, 58, 2986–2988. [Google Scholar] [CrossRef]
- Jad, Y.E.; Govender, T.; Kruger, H.G.; El-Faham, A.; De La Torre, B.G.; Albericio, F. Green Solid-Phase Peptide Synthesis (GSPPS) 3. Green Solvents for Fmoc Removal in Peptide Chemistry. Org. Process Res. Dev. 2017, 21, 365–369. [Google Scholar] [CrossRef]
- Westbye, P. Agricultural formulations with acyl morpholines and polar aprotic co-solvents. U.S. Patent 8791145B2, 29 July 2014. [Google Scholar]
- Moity, L.; Durand, M.; Benazzouz, A.; Pierlot, C.; Molinier, V.; Aubry, J.M. Panorama of sustainable solvents using the COSMO-RS approach. Green Chem. 2012, 14, 1132–1145. [Google Scholar] [CrossRef]
- Paquin, F.; Rivnay, J.; Salleo, A.; Stingelin, N.; Silva, C. Multi-phase semicrystalline microstructures drive exciton dissociation in neat plastic semiconductors. J. Mater. Chem. C 2015, 3, 10715–10722. [Google Scholar] [CrossRef]











| IUPAC Name | CAS Code | Vendor | Initial Purity (Mass Fraction) | Purification Method |
|---|---|---|---|---|
| 4-Amino-N-(5-methyl-1,3,4-thiadiazol-2-yl)benzenesulfonamide (SMT) | 144-82-1 | Sigma-Aldrich (Poznań, Poland) | ≥0.99 | none |
| 1,4-Dioxane | 123-91-1 | Sigma-Aldrich (Poznań, Poland) | 0.998 | none |
| Acetonitrile | 75-05-08 | Avantor (Gliwice, Poland) | ≥0.995 | none |
| N,N-Dimethylformamide (DMF) | 68-12-2 | Avantor (Gliwice, Poland) | ≥0.998 | none |
| (Methylsulfinyl)methane (DMSO) | 67-68-5 | Avantor (Gliwice, Poland) | ≥0.997 | none |
| Methanol | 67-56-1 | Avantor (Gliwice, Poland) | ≥0.998 | none |
| Nitrogen | 7727-37-9 | Linde (Warsaw, Poland) | 0.99999 | none |
| x2* | 298.15 K | 303.15 K | 313.15 K | 313.15 K |
|---|---|---|---|---|
| 1,4-Dioxane + water, xSMT × 104 | ||||
| 0.0 | 0.34 ± 0.01 | 0.41 ± 0.02 | 0.48 ± 0.01 | 0.58 ± 0.02 |
| 0.2 | 36.00 ± 1.06 | 40.20 ± 1.61 | 43.88 ± 2.51 | 49.37 ± 2.90 |
| 0.4 | 69.74 ± 2.14 | 79.01 ± 2.74 | 89.97 ± 2.50 | 103.25 ± 2.35 |
| 0.6 | 74.69 ± 3.14 | 86.23 ± 2.56 | 99.46 ± 3.01 | 115.37 ± 3.04 |
| 0.8 | 47.15 ± 1.50 | 52.31 ± 1.66 | 57.73 ± 2.33 | 64.57 ± 2.94 |
| 1.0 | 10.03 ± 0.32 | 10.79 ± 0.39 | 11.63 ± 0.64 | 12.49 ± 0.57 |
| Methanol + water, xSMT × 104 | ||||
| 0.2 | 2.12 ± 0.13 | 2.57 ± 0.14 | 3.06 ± 0.12 | 3.69 ±0.23 |
| 0.4 | 8.58 ± 0.43 | 9.50 ± 0.38 | 10.36 ± 0.48 | 11.50 ± 0.58 |
| 0.6 | 21.88 ± 0.68 | 23.29 ± 0.68 | 24.86 ± 0.56 | 26.53 ± 0.57 |
| 0.8 | 33.36 ± 0.68 | 35.54 ± 0.82 | 37.89 ± 0.78 | 40.62 ± 1.12 |
| 1.0 | 38.72 ± 0.91 | 41.10 ± 1.35 | 43.68 ± 1.30 | 46.70 ± 1.20 |
| DMF + water, xSMT × 102 | ||||
| 0.2 | 3.99 ± 0.21 | 4.99 ± 0.26 | 6.19 ± 0.21 | 7.68± 0.17 |
| 0.4 | 8.04 ± 0.57 | 11.13 ± 0.36 | 14.31 ± 0.19 | 18.16 ± 0.98 |
| 0.6 | 12.37 ± 0.78 | 17.57 ± 0.68 | 22.71 ± 0.99 | 28.58 ± 0.61 |
| 0.8 | 17.22 ± 0.82 | 23.45 ± 0.64 | 30.53 ± 0.98 | 37.94 ± 0.48 |
| 1.0 | 22.69 ± 0.87 | 29.91 ± 1.02 | 38.05 ± 0.86 | 46.50 ± 1.16 |
| DMSO + water, xSMT × 102 | ||||
| 0.2 | 0.45 ± 0.02 | 0.81 ± 0.04 | 1.31 ± 0.04 | 1.89 ± 0.02 |
| 0.4 | 1.08 ± 0.05 | 2.41 ± 0.14 | 3.69 ± 0.15 | 5.22 ± 0.20 |
| 0.6 | 3.40 ± 0.16 | 4.98 ± 0.03 | 6.89 ± 0.25 | 9.32 ± 0.23 |
| 0.8 | 7.89 ± 0.34 | 10.16 ± 0.55 | 12.98 ± 0.69 | 16.54 ± 0.57 |
| 1.0 | 17.97 ± 0.66 | 21.05 ± 0.57 | 24.81 ± 0.10 | 29.30 ± 0.60 |
| Acetonitrile + water, xSMT × 103 | ||||
| 0.2 | 3.24 ± 0.18 | 3.62 ± 0.10 | 4.03 ± 0.14 | 4.54 ± 0.17 |
| 0.4 | 9.02 ± 0.39 | 10.05 ± 0.23 | 11.22 ± 0.29 | 12.51 ± 0.38 |
| 0.6 | 12.04 ± 0.24 | 13.29 ± 0.36 | 14.62 ± 0.39 | 16.16 ± 0.18 |
| 0.8 | 6.92 ± 0.26 | 7.89 ± 0.37 | 8.91 ± 0.41 | 10.05 ± 0.43 |
| 1.0 | 2.83 ± 0.08 | 3.04 ± 0.07 | 3.21 ± 0.09 | 3.43 ± 0.08 |
Publisher’s Note: MDPI stays neutral with regard to jurisdictional claims in published maps and institutional affiliations. |
© 2021 by the authors. Licensee MDPI, Basel, Switzerland. This article is an open access article distributed under the terms and conditions of the Creative Commons Attribution (CC BY) license (https://creativecommons.org/licenses/by/4.0/).
Share and Cite
Cysewski, P.; Przybyłek, M.; Rozalski, R. Experimental and Theoretical Screening for Green Solvents Improving Sulfamethizole Solubility. Materials 2021, 14, 5915. https://doi.org/10.3390/ma14205915
Cysewski P, Przybyłek M, Rozalski R. Experimental and Theoretical Screening for Green Solvents Improving Sulfamethizole Solubility. Materials. 2021; 14(20):5915. https://doi.org/10.3390/ma14205915
Chicago/Turabian StyleCysewski, Piotr, Maciej Przybyłek, and Rafal Rozalski. 2021. "Experimental and Theoretical Screening for Green Solvents Improving Sulfamethizole Solubility" Materials 14, no. 20: 5915. https://doi.org/10.3390/ma14205915
APA StyleCysewski, P., Przybyłek, M., & Rozalski, R. (2021). Experimental and Theoretical Screening for Green Solvents Improving Sulfamethizole Solubility. Materials, 14(20), 5915. https://doi.org/10.3390/ma14205915
