Fibre-Reinforced Geopolymer Concretes for Sensible Heat Thermal Energy Storage: Simulations and Environmental Impact
Abstract
1. Introduction
2. Materials and Methods
2.1. Model Design of the Fibre-Reinforced SHTES Unit and Simulation Conditions
2.2. LCA Analysis
- The LCA was performed in a way that considered the contribution of the raw materials for all the different mixtures; the production processes have some energy consumption in common, in particular material milling, mixing, and element cutting are similar for each material, so they have the same value for all the products. The difference in the process is the curing necessary for geopolymer products, which need 24 h in a climatic chamber at 60 °C to complete reticulation reaction and hardening. In this case, the electricity consumption linked to this step was estimated using the Italian energetic mix as in [43].
- The impacts of the raw materials were estimated including extraction and all the necessary processes preliminary to their use. For fly ash, just the transportation contributed to the impacts, because it can be used directly in the production process and can be considered as a no-impact material, as demonstrated in previous works [43,44]. In the case of recycled plastic, just the milling and the transport were estimated, with a negative global contribution for different environmental impact items such as global warming potential (all the contributions are shown in Appendix A, Table A1, Table A2, Table A3, Table A4, Table A5, Table A6 and Table A7). This is because the environmental impacts due to traditional management of plastic (disposal mix: in landfills, recycling, composting, burning, etc.) are avoided. For the calcium aluminate cement and the superplasticizer, the environmental impacts were calculated based on the EPD® 830 çimsa RESISTO40 following ISO14040/44 [45] and the European Federation of Concrete Admixtures Associations Ltd. (EFCA) EPD® according to ISO14025:2011-10 [46], respectively. The estimated impacts of PAN fibre production were also taken from the literature [47].
- All other material impacts were taken from Simapro Ecoinvent 3 database.
- The transportation stage was considered for the delivery of the raw materials to the plant. In particular, based on the average availability of materials in Europe, an average transport distance up to 100 km for all the starting materials was considered. It is worth noting that this estimation had little effect on the overall production impacts of each system, bordering on undetectable.
- Climate change: Global Warming Potential (GWP), which quantifies the integrated infrared radiative forcing increase in greenhouse gas (GHG), expressed in kg CO2-eq (IPCC 2013).
- Stratospheric ozone depletion: The ozone-depleting potential (ODP), expressed in kg CFC-11 equivalents, was used as a characterization factor at the midpoint level. ODP refers to a time-integrated decrease in stratospheric ozone concentration over an infinite time horizon [50].
- Particulate matter: Quantification of the impact of premature death or disability that particulates/respiratory inorganics have on the population, in comparison to PM2.5. This includes the assessment of primary (PM10 and PM2.5) and secondary PM (including the creation of secondary PM due to SOx, NOx, and NH3 emissions) and CO [51].
- Photochemical ozone formation: human health ozone formation potential (HOFP) is expressed in kg NOx−eq. The change in ambient concentration of ozone after the emission of a precursor (nitrogen oxides (NOx) or non-methane volatile organic compounds (NMVOC)) was predicted with the emission–concentration sensitivity matrices for emitted precursors from the global source-receptor model, TM5-FASST [52].
- Terrestrial acidification: For the midpoint characterization factors of acidifying emissions, the fate of a pollutant in the atmosphere and the soil was calculated as in [53]. Acidification potentials (AP) are expressed in kg SO2-eq. Changes in acid deposition, following changes in air emission of NOx, NH3, and SO2, were calculated with the GEOS-Chem model [54].
- The midpoint indicator for fossil resource use, determined as the Fossil Fuel Potential (FFP in kg oil-eq), is defined as the ratio between the higher heating value of a fossil resource and the energy content of crude oil [55].
2.3. Super-Decisions AHP Analysis
3. Results and Discussion
3.1. Thermal Storage Charge/Discharge Temperature Profiles, Maps and Performance of Fibre-Reinforced Geopolymer Concretes
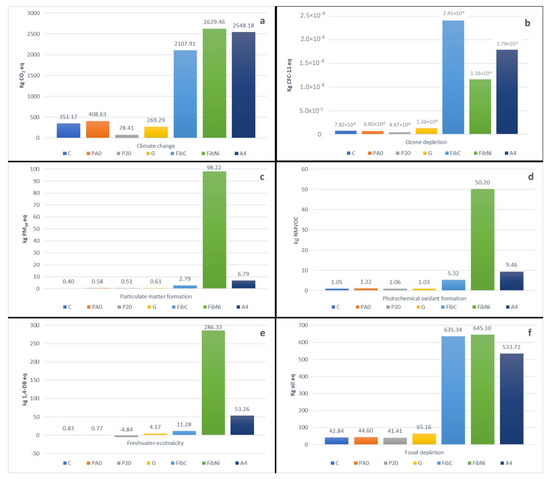
3.2. LCA Environmental Analysis of the Fibre-Reinforced Geopolymer Concretes for SHTES Units Compared with Other SHTES Unit Materials
4. Conclusions
Author Contributions
Funding
Institutional Review Board Statement
Informed Consent Statement
Data Availability Statement
Acknowledgments
Conflicts of Interest
Appendix A
| Item | Unit | Total | Concrete C | Cement, CEM II/A-L 42.5R | Gravel, Crushed | Sand | Gravel, Round |
|---|---|---|---|---|---|---|---|
| Climate change | kg CO2 eq | 351.17 | 0.00 | 323.24 | 4.83 | 16.16 | 6.94 |
| Ozone depletion | kg CFC-11 eq | 7.82 × 10−6 | 0.00 | 6.20 × 10−6 | 2.62 × 10−7 | 9.93 × 10−7 | 3.65 ×10−7 |
| Terrestrial acidification | kg SO2 eq | 1.02 | 0.00 | 0.84 | 0.03 | 0.10 | 0.05 |
| Freshwater eutrophication | kg P eq | 3.18 × 10−2 | 0.00 | 2.65 × 10−2 | 1.28 × 10−3 | 3.03 × 10−3 | 9.92 × 10−4 |
| Marine eutrophication | kg N eq | 4.34 × 10−2 | 0.00 | 3.53 × 10−2 | 1.30 × 10−3 | 4.83 × 10−3 | 1.97 × 10−3 |
| Human toxicity | kg 1,4-DB eq | 37.90 | 0.00 | 31.26 | 1.42 | 3.82 | 1.41 |
| Photochemical oxidant formation | kg NMVOC | 1.05 | 0.00 | 0.84 | 0.03 | 0.13 | 0.05 |
| Particulate matter formation | kg PM10 eq | 0.40 | 0.00 | 0.32 | 0.01 | 0.04 | 0.02 |
| Terrestrial ecotoxicity | kg 1,4-DB eq | 9.99 × 10−3 | 0.00 | 7.75 × 10−3 | 3.98 × 10−4 | 1.35 × 10−3 | 5.01 × 10−4 |
| Freshwater ecotoxicity | kg 1,4-DB eq | 0.83 | 0.00 | 0.62 | 0.05 | 0.12 | 0.04 |
| Marine ecotoxicity | kg 1,4-DB eq | 0.90 | 0.00 | 0.69 | 0.04 | 0.13 | 0.05 |
| Ionising radiation | kBq U235 eq | 18.46 | 0.00 | 15.49 | 0.66 | 1.79 | 0.51 |
| Agricultural land occupation | m2a | 2.45 | 0.00 | 1.91 | 0.11 | 0.31 | 0.13 |
| Urban land occupation | m2a | 3.27 | 0.00 | 1.46 | 0.24 | 1.12 | 0.45 |
| Natural land transformation | m2 | 0.04 | 0.00 | 0.02 | 0.00 | 0.01 | 0.00 |
| Water depletion | m3 | 417.59 | 0.12 | 368.09 | 11.94 | 27.02 | 10.42 |
| Metal depletion | kg Fe eq | 6.55 | 0.00 | 4.07 | 0.49 | 1.42 | 0.57 |
| Fossil depletion | kg oil eq | 42.84 | 0.00 | 34.23 | 1.41 | 5.12 | 2.08 |
| Item | Unit | Total | Concrete PA0 | Cement, CEM II/A-L 42.5R | Limestone, Crushed, Washed | Fly Ash | Limestone Residue | Superplasticizer * |
|---|---|---|---|---|---|---|---|---|
| Climate change | kg CO2 eq | 408.63 | 0.00 | 377.28 | 19.20 | 0.06 | −0.83 | 12.93 |
| Ozone depletion | kg CFC-11 eq | 6.80 × 10−6 | 0.00 | 5.66 × 10−6 | 1.22× 10−6 | 6.76 × 10−9 | −9.66 × 10−8 | 4.56 × 10−9 |
| Terrestrial acidification | kg SO2 eq | 1.25 | 0.00 | 1.09 | 0.17 | 0.00 | −0.01 | 0.00 |
| Freshwater eutrophication | kg P eq | 0.03 | 0.00 | 3.04 × 10−2 | 2.48 × 10−3 | 9.27 × 10−6 | −7.04 × 10−5 | 6.25 × 10−6 |
| Marine eutrophication | kg N eq | 0.05 | 0.00 | 4.14 × 10−2 | 8.45 × 10−3 | 7.63 × 10−6 | −2.92 × 10−4 | 5.09 × 10−6 |
| Human toxicity | kg 1,4-DB eq | 37.67 | 0.00 | 34.23 | 3.45 | 0.01 | −0.08 | 0.06 |
| Photochemical oxidant formation | kg NMVOC | 1.22 | 0.00 | 1.00 | 2.20 × 10−1 | 0.00 | −0.01 | 0.00 |
| Particulate matter formation | kg PM10 eq | 0.58 | 0.00 | 0.42 | 1.60 × 10−1 | 0.00 | 0.00 | 4.43 × 10−5 |
| Terrestrial ecotoxicity | kg 1,4-DB eq | 0.01 | 0.00 | 0.01 | 1.60 × 10−3 | 0.00 | 0.00 | 2.54 × 10−5 |
| Freshwater ecotoxicity | kg 1,4-DB eq | 0.77 | 0.00 | 0.67 | 1.09 × 10−1 | 0.00 | 0.00 | 1.65 × 10−4 |
| Marine ecotoxicity | kg 1,4-DB eq | 0.85 | 0.00 | 0.73 | 0.12 | 0.00 | 0.00 | 2.28 × 10−4 |
| Ionising radiation | kBq U235 eq | 11.82 | 0.00 | 10.25 | 1.64 | 0.01 | −0.09 | 0.01 |
| Agricultural land occupation | m2a | 2.11 | 0.00 | 1.90 | 3.41 × 10−1 | 0.00 | −0.14 | 0.00 |
| Urban land occupation | m2a | 2.47 | 0.00 | 1.70 | 9.16 × 10−1 | 0.00 | −0.15 | 0.00 |
| Natural land transformation | m2 | 0.04 | 0.00 | 0.03 | 5.41 × 10−3 | 0.00 | 5.95 × 10−3 | 6.30 × 10−6 |
| Water depletion | m3 | 458.14 | 0.15 | 412.78 | 45.28 | 0.28 | −0.58 | 0.23 |
| Metal depletion | kg Fe eq | 5.34 | 0.00 | 4.06 | 1.32 | 0.00 | −0.04 | 0.00 |
| Fossil depletion | kg oil eq | 44.60 | 0.00 | 38.84 | 6.26 | 0.02 | −0.53 | 0.01 |
| Item | Unit | Total | Concrete PA20 | Cement, CEM II/A-L 42.5R | Limestone, Crushed, Washed | Fly Ash | Waste Plastic Mixture | Limestone Residue | Superplasticizer * |
|---|---|---|---|---|---|---|---|---|---|
| Climate change | kg CO2 eq | 78.41 | 0.00 | 377.26 | 14.20 | 0.06 | −328.91 | −0.98 | 16.78 |
| Ozone depletion | kg CFC-11 eq | 4.47 × 10−6 | 0.00 | 5.66 × 10−6 | 9.07 × 10−7 | 6.76 × 10−9 | −2.00 × 10−6 | −1.13 × 10−7 | 5.91 × 10−9 |
| Terrestrial acidification | kg SO2 eq | 1.13 | 0.00 | 1.09 | 0.12 | 2.04 × 10−4 | −7.51 × 10−2 | −6.70 × 10−3 | 1.78 × 10−4 |
| Freshwater eutrophication | kg P eq | 0.03 | 0.00 | 0.03 | 1.80 × 10−3 | 9.27 × 10−6 | −2.00 × 10−3 | −8.25 × 10−5 | 8.11 × 10−6 |
| Marine eutrophication | kg N eq | 0.03 | 0.00 | 0.04 | 6.27 × 10−3 | 7.63 × 10−6 | −1.38 × 10−2 | −3.42 × 10−4 | 6.60 × 10−6 |
| Human toxicity | kg 1,4-DB eq | 5.41 | 0.00 | 34.23 | 2.53 | 8.29 × 10−3 | −31.34 | −9.80 × 10−2 | 0.07 |
| Photochemical oxidant formation | kg NMVOC | 1.06 | 0.00 | 1.00 | 1.64 × 10−1 | 1.31 × 10−4 | −0.10 | −1.04 × 10−2 | 4.84 × 10−3 |
| Particulate matter formation | kg PM10 eq | 0.51 | 0.00 | 0.42 | 1.19 × 10−1 | 6.64 × 10−5 | −2.93 × 10−2 | −3.06 × 10−3 | 5.75 × 10−5 |
| Terrestrial ecotoxicity | kg 1,4-DB eq | 0.00 | 0.00 | 0.01 | 1.18 × 10−3 | 7.64 × 10−6 | −6.12 × 10−3 | −4.53 × 10−5 | 3.30 × 10−5 |
| Freshwater ecotoxicity | kg 1,4-DB eq | −4.84 | 0.00 | 0.67 | 8.02 × 10−2 | 2.30 × 10−4 | −5.58 | −2.94 × 10−3 | 2.14 × 10−4 |
| Marine ecotoxicity | kg 1,4-DB eq | −3.91 | 0.00 | 0.73 | 8.98 × 10−2 | 2.25 × 10−4 | −4.73 | −3.73 × 10−3 | 2.96 × 10−4 |
| Ionising radiation | kBq U235 eq | 10.46 | 0.00 | 10.25 | 1.20 | 0.01 | −0.90 | −0.11 | 0.01 |
| Agricultural land occupation | m2a | 1.83 | 0.00 | 1.90 | 0.25 | 0.00 | −0.16 | −0.16 | 0.00 |
| Urban land occupation | m2a | 2.13 | 0.00 | 1.70 | 0.68 | 0.00 | −0.08 | −0.18 | 0.00 |
| Natural land transformation | m2 | 0.04 | 0.00 | 2.61 × 10−2 | 4.01 × 10−3 | 9.45 × 10−6 | −6.58 × 10−4 | 6.97 × 10−3 | 8.17 × 10−6 |
| Water depletion | m3 | 420.59 | 0.15 | 412.76 | 27.45 | 0.28 | −19.67 | −0.68 | 0.30 |
| Metal depletion | kg Fe eq | 4.43 | 0.00 | 4.06 | 0.98 | 0.00 | −0.56 | −0.04 | 0.00 |
| Fossil depletion | kg oil eq | 41.41 | 0.00 | 38.84 | 4.63 | 0.02 | −1.48 | −0.62 | 0.01 |
| Item | Unit | Total | Limestone, Crushed, Washed | Fly Ash | Sodium Silicate, without Water, in 37% Solution State | Electricity, Medium Voltage |
|---|---|---|---|---|---|---|
| Climate change | kg CO2 eq | 269.29 | 15.02 | 0.19 | 239.47 | 14.61 |
| Ozone depletion | kg CFC-11 eq | 1.36 × 10−5 | 9.58 × 10−7 | 2.36 × 10−8 | 1.08 × 10−5 | 1.79 × 10−6 |
| Terrestrial acidification | kg SO2 eq | 1.57 | 0.13 | 7.12 × 10−4 | 1.39 | 5.39 × 10−2 |
| Freshwater eutrophication | kg P eq | 0.09 | 1.94 × 10−3 | 3.24 × 10−5 | 8.65 × 10−2 | 2.46 × 10−3 |
| Marine eutrophication | kg N eq | 0.07 | 6.62 × 10−3 | 2.66 × 10−5 | 5.71 × 10−2 | 2.00 × 10−3 |
| Human toxicity | kg 1,4-DB eq | 141.78 | 2.70 | 2.89 × 10−2 | 1.37 × 10−2 | 2.19 |
| Photochemical oxidant formation | kg NMVOC | 1.03 | 0.17 | 4.58 × 10−4 | 0.82 | 0.03 |
| Particulate matter formation | kg PM10 eq | 0.61 | 0.13 | 2.32 × 10−4 | 0.46 | 0.02 |
| Terrestrial ecotoxicity | kg 1,4-DB eq | 0.02 | 1.25 × 10−3 | 2.67 × 10−5 | 0.02 | 2.03 × 10−3 |
| Freshwater ecotoxicity | kg 1,4-DB eq | 4.17 | 8.50 × 10−2 | 8.03 × 10−4 | 4.02 | 0.06 |
| Marine ecotoxicity | kg 1,4-DB eq | 4.14 | 9.50 × 10−2 | 7.85 × 10−4 | 3.99 | 0.06 |
| Ionising radiation | kBq U235 eq | 19.03 | 1.28 | 3.09 × 10−2 | 15.36 | 2.35 |
| Agricultural land occupation | m2a | 18.45 | 0.27 | 3.27 × 10−3 | 17.93 | 0.25 |
| Urban land occupation | m2a | 4.48 | 0.72 | 7.65 × 10−4 | 3.72 | 0.05 |
| Natural land transformation | m2 | 0.05 | 4.23 × 10−3 | 3.30 × 10−5 | 0.04 | 2.48 × 10−3 |
| Water depletion | m3 | 441.39 | 35.43 | 9.82 × 10−1 | 329.98 | 74.99 |
| Metal depletion | kg Fe eq | 33.23 | 1.03 | 5.10 × 10−3 | 31.82 | 0.38 |
| Fossil depletion | kg oil eq | 65.16 | 4.89 | 5.95 × 10−2 | 55.70 | 4.50 |
| Item | Unit | Total | Limestone, Crushed, Washed | Fly Ash | Sodium Silicate | Carbon PAN Fibre | Electricity, Medium Voltage (IT) |
|---|---|---|---|---|---|---|---|
| Climate change | kg CO2 eq | 2107.91 | 14.38 | 0.18 | 229.29 | 1849.46 | 14.60 |
| Ozone depletion | kg CFC-11 eq | 2.41 × 10−4 | 9.17 × 10−7 | 2.26 × 10−8 | 1.03 × 10−5 | 2.28 × 10−4 | 1.79 × 10−6 |
| Terrestrial acidification | kg SO2 eq | 8.32 | 0.12 | 6.82 × 10−4 | 1.33 | 6.81 | 0.05 |
| Freshwater eutrophication | kg P eq | 0.39 | 1.86 × 10−3 | 3.10 × 10−5 | 0.08 | 0.30 | 2.46 × 10−3 |
| Marine eutrophication | kg N eq | 0.32 | 6.33 × 10−3 | 2.55 × 10−5 | 0.05 | 0.25 | 2.00 × 10−3 |
| Human toxicity | kg 1,4-DB eq | 386.96 | 2.59 | 0.03 | 131.04 | 251.12 | 2.19 |
| Photochemical oxidant formation | kg NMVOC | 5.32 | 0.17 | 4.39 × 10−4 | 0.79 | 4.33 | 3.41 × 10−2 |
| Particulate matter formation | kg PM10 eq | 2.79 | 0.12 | 2.22 × 10−4 | 0.44 | 2.21 | 1.74 × 10−2 |
| Terrestrial ecotoxicity | kg 1,4-DB eq | 0.28 | 1.20 × 10−3 | 2.55 × 10−5 | 1.84 × 10−2 | 0.26 | 2.03 × 10−3 |
| Freshwater ecotoxicity | kg 1,4-DB eq | 11.28 | 8.14 × 10−2 | 7.69 × 10−4 | 3.85 | 7.28 | 6.04 × 10−2 |
| Marine ecotoxicity | kg 1,4-DB eq | 11.02 | 9.10 × 10−2 | 7.51 × 10−4 | 3.82 | 7.05 | 5.90 × 10−2 |
| Ionising radiation | kBq U235 eq | 317.69 | 1.23 | 2.96 × 10−2 | 1.47 × 101 | 299.37 | 2.35 |
| Agricultural land occupation | m2a | 48.77 | 0.26 | 3.13 × 10−3 | 1.72 × 101 | 31.09 | 0.25 |
| Urban land occupation | m2a | 10.15 | 0.69 | 7.32 × 10−4 | 3.56 | 5.86 | 4.64 × 10−2 |
| Natural land transformation | m2 | 0.36 | 4.05 × 10−3 | 3.16 × 10−5 | 3.95 × 10−2 | 0.32 | 2.48 × 10−3 |
| Water depletion | m3 | 9954.70 | 33.92 | 0.94 | 3.16 × 102 | 9528.94 | 74.95 |
| Metal depletion | kg Fe eq | 73.97 | 0.99 | 4.88 × 10−3 | 3.05 × 101 | 42.13 | 0.38 |
| Fossil depletion | kg oil eq | 635.34 | 4.69 | 0.06 | 5.33 × 101 | 572.76 | 4.50 |
| Item | Unit | Total | Limestone, Crushed, Washed | Fly Ash | Sodium Silicate, without Water, in 37% Solution State | Fe-Ni-Cr Alloy | Electricity Medium Voltage |
|---|---|---|---|---|---|---|---|
| Climate change | kg CO2 eq | 2.64 × 103 | 14.38 | 0.18 | 229.29 | 2371.01 | 14.60 |
| Ozone depletion | kg CFC-11 eq | 1.18 × 10−4 | 9.17 × 10−7 | 2.26 × 10−8 | 1.03 × 10−5 | 1.03 × 10−4 | 1.79 × 10−6 |
| Terrestrial acidification | kg SO2 eq | 4.32 × 102 | 0.12 | 6.82 × 10−4 | 1.33 | 430.63 | 0.05 |
| Freshwater eutrophication | kg P eq | 5.20 | 1.86 × 10−3 | 3.10 × 10−5 | 0.08 | 5.11 | 2.46 × 10−3 |
| Marine eutrophication | kg N eq | 1.50 | 6.33 × 10−3 | 2.55 × 10−5 | 0.05 | 1.43 | 2.00 × 10−3 |
| Human toxicity | kg 1,4-DB eq | 9.04 × 103 | 2.59 | 0.03 | 131.04 | 8899.00 | 2.19 |
| Photochemical oxidant formation | kg NMVOC | 5.02 × 101 | 0.17 | 4.39 × 10−4 | 0.79 | 49.22 | 0.03 |
| Particulate matter formation | kg PM10 eq | 9.82 × 101 | 0.12 | 2.22 × 10−4 | 0.44 | 97.64 | 0.02 |
| Terrestrial ecotoxicity | kg 1,4-DB eq | 1.50 | 1.20 × 10−3 | 2.55 × 10−5 | 0.02 | 1.48 | 2.03 × 10−3 |
| Freshwater ecotoxicity | kg 1,4-DB eq | 2.86 × 102 | 8.14 × 10−2 | 7.69 × 10−4 | 3.85 | 282.33 | 6.04 × 10−2 |
| Marine ecotoxicity | kg 1,4-DB eq | 2.93 × 102 | 9.10 × 10−2 | 7.51 × 10−4 | 3.82 | 289.46 | 5.90 × 10−2 |
| Ionising radiation | kBq U235 eq | 3.18 × 102 | 1.23 | 2.96 × 10−2 | 14.71 | 298.18 | 2.35 |
| Agricultural land occupation | m2a | 1.40 × 102 | 0.26 | 3.13 × 10−3 | 17.17 | 122.02 | 0.25 |
| Urban land occupation | m2a | 6.44 × 101 | 0.69 | 7.32 × 10−4 | 3.56 | 60.05 | 0.05 |
| Natural land transformation | m2 | 4.47 × 10−1 | 0.00 | 3.16 × 10−5 | 0.04 | 0.40 | 0.00 |
| Water depletion | m3 | 5.10 × 104 | 33.92 | 0.94 | 315.96 | 50,494.71 | 74.95 |
| Metal depletion | kg Fe eq | 9.41 × 103 | 0.99 | 4.88 × 10−3 | 30.46 | 9379.32 | 0.38 |
| Fossil depletion | kg oil eq | 6.48 × 102 | 4.69 | 5.70 × 10−2 | 53.33 | 582.52 | 4.50 |
| Item | Unit | Total | Basalt | Bauxite | Graphite | Calcium Aluminate Cement * | Silica Sand | Aluminium Micropowder | Steel, Low-Alloyed, Hot Rolled | Electricity Medium Voltage |
|---|---|---|---|---|---|---|---|---|---|---|
| Climate change | kg CO2 eq | 2548.18 | 17.73 | 152.05 | 10.83 | 302.90 | 3.46 | 1829.45 | 188.51 | 43.24 |
| Ozone depletion | kg CFC-11 eq | 0.00 | 1.10 × 10−6 | 9.84 × 10−6 | 6.06 × 10−7 | 7.18 × 10−9 | 2.41 × 10−7 | 1.54 × 10−4 | 7.44 × 10−6 | 5.33 × 10−6 |
| Terrestrial acidification | kg SO2 eq | 15.17 | 0.14 | 1.94 | 0.08 | 0.00 | 0.02 | 11.97 | 0.86 | 0.16 |
| Freshwater eutrophication | kg P eq | 1.12 | 3.42 × 10−3 | 1.48 × 10−2 | 2.69 × 10−3 | 9.84 × 10−6 | 6.28 × 10−4 | 9.76 × 10−1 | 1.11 × 10−1 | 7.04 × 10−3 |
| Marine eutrophication | kg N eq | 0.81 | 0.01 | 0.06 | 3.10 × 10−3 | 8.02 × 10−6 | 7.12 × 10−4 | 0.69 | 0.04 | 5.90 × 10−3 |
| Human toxicity | kg 1,4-DB eq | 1182.36 | 3.56 | 16.77 | 2.66 | 0.37 | 0.74 | 981.76 | 170.62 | 5.87 |
| Photochemical oxidant formation | kg NMVOC | 9.46 | 0.17 | 1.79 | 0.07 | 0.11 | 0.02 | 6.29 | 0.90 | 0.10 |
| Particulate matter formation | kg PM10 eq | 6.79 | 0.10 | 0.75 | 0.04 | 6.98 × 10−5 | 0.01 | 5.16 | 0.68 | 0.05 |
| Terrestrial ecotoxicity | kg 1,4-DB eq | 0.13 | 0.00 | 1.13 × 10−2 | 0.00 | 1.52 × 10−4 | 0.00 | 0.08 | 2.05 × 10−3 | 5.96 × 10−3 |
| Freshwater ecotoxicity | kg 1,4-DB eq | 53.26 | 0.11 | 0.54 | 0.07 | 3.24 × 10−4 | 0.02 | 46.29 | 6.05 | 0.17 |
| Marine ecotoxicity | kg 1,4-DB eq | 49.78 | 0.12 | 0.81 | 0.08 | 7.94 × 10−4 | 0.02 | 42.63 | 5.96 | 0.16 |
| Ionising radiation | kBq U235 eq | 176.59 | 2.35 | 13.95 | 1.54 | 9.41 × 10−3 | 0.29 | 138.51 | 12.95 | 7.00 |
| Agricultural land occupation | m2a | 48.19 | 0.26 | 1.50 | 0.28 | 9.88 × 10−4 | 0.13 | 41.44 | 3.86 | 0.73 |
| Urban land occupation | m2a | 47.68 | 8.41 | 4.47 | 0.33 | 1.86 × 10−4 | 0.11 | 31.30 | 2.93 | 0.14 |
| Natural land transformation | m2 | 0.83 | 0.48 | 0.03 | 0.00 | 9.92 × 10−6 | 0.00 | 0.29 | 0.02 | 7.37 × 10−3 |
| Water depletion | m3 | 15,296.41 | 33.07 | 139.41 | 23.36 | 0.90 | 3.06 | 13,820.80 | 1053.02 | 222.79 |
| Metal depletion | kg Fe eq | 356.72 | 0.87 | 29.13 | 0.66 | 1.53 × 10−3 | 0.20 | 73.91 | 250.97 | 0.99 |
| Fossil depletion | kg oil eq | 533.72 | 5.60 | 50.18 | 3.18 | 0.02 | 0.95 | 417.10 | 43.30 | 13.39 |
Appendix B
| PA20 | PA0 | C | A4 | G | FibC | FibNi | |
|---|---|---|---|---|---|---|---|
| PA20 | 1 | 3 | 4 | 8 | 2 | 7 | 9 |
| PA0 | 1/3 | 1 | 2 | 5 | 1/3 | 4 | 6 |
| C | 1/4 | 1/2 | 1 | 4 | 1/2 | 4 | 5 |
| A4 | 1/8 | 1/5 | 1/4 | 1 | 1/7 | ½ | 2 |
| G | 1/2 | 3 | 2 | 7 | 1 | 5 | 8 |
| FibC | 1/9 | 1/6 | 1/6 | 2 | 1/5 | 1 | 3 |
| FibNi | 1/7 | 1/4 | 1/4 | 1/2 | 1/8 | 1/3 | 1 |
| PA20 | PA0 | C | A4 | G | FibC | FibNi | |
|---|---|---|---|---|---|---|---|
| PA20 | 1 | 1 | 1/2 | 6 | 3 | 7 | 7 |
| PA0 | 1 | 1 | 1/3 | 6 | 3 | 7 | 7 |
| C | 3 | 3 | 1 | 8 | 2 | 9 | 7 |
| A4 | 1/6 | 1/6 | 1/8 | 1 | 1/7 | 2 | 1/2 |
| G | 1/3 | 1/3 | 1/2 | 7 | 1 | 8 | 2 |
| FibC | 1/7 | 1/7 | 1/9 | 1/2 | 1/8 | 1 | 1/2 |
| FibNi | 1/7 | 1/5 | 1/7 | 2 | 1/3 | 2 | 1 |
| PA20 | PA0 | C | A4 | G | FibC | FibNi | |
|---|---|---|---|---|---|---|---|
| PA20 | 1 | 1 | 1/3 | 4 | 1/3 | 3 | 7 |
| PA0 | 1 | 1 | 1/3 | 4 | 1/3 | 3 | 6 |
| C | 3 | 3 | 1 | 6 | 1 | 3 | 9 |
| A4 | 1/4 | 1/4 | 1/6 | 1 | 1/6 | 1 | 2 |
| G | 2 | 3 | 1 | 6 | 1 | 3 | 9 |
| FibC | 1/3 | 1/3 | 1/9 | 1 | 1/9 | 1 | 2 |
| FibNi | 1/7 | 1/6 | 1/7 | 1/2 | 1/7 | 1/2 | 1 |
| PA20 | PA0 | C | A4 | G | FibC | FibNi | |
|---|---|---|---|---|---|---|---|
| PA20 | 1 | 1 | 1/2 | 3 | 1/2 | 2 | 7 |
| PA0 | 1 | 1 | 1/2 | 3 | 1/2 | 2 | 7 |
| C | 2 | 2 | 1 | 4 | 1 | 3 | 9 |
| A4 | 1/3 | 1/3 | 1/4 | 1 | 1/4 | 1/2 | 2 |
| G | 2 | 2 | 1 | 4 | 1 | 3 | 9 |
| FibC | 1/2 | 1/2 | 1/3 | 2 | 1/2 | 1 | 5 |
| FibNi | 1/7 | 1/7 | 1/9 | 1/2 | 1/9 | 1/5 | 1 |
| PA20 | PA0 | C | A4 | G | FibC | FibNi | |
|---|---|---|---|---|---|---|---|
| PA20 | 1 | 2 | 1/2 | 7 | 1/2 | 4 | 9 |
| PA0 | 1/2 | 1 | 1/2 | 5 | 1/2 | 3 | 7 |
| C | 1/2 | 1 | 1 | 5 | 1 | 3 | 7 |
| A4 | 1/7 | 1/5 | 1/4 | 1 | 1/4 | 1/2 | 2 |
| G | 1/3 | 1/2 | 1 | 4 | 1 | 2 | 5 |
| FibC | 1/4 | 1/3 | 1/3 | 2 | 1/3 | 1 | 2 |
| FibNi | 1/7 | 1/7 | 1/9 | 1/2 | 1/9 | 1/5 | 1 |
| PA20 | PA0 | C | A4 | G | FibC | FibNi | |
|---|---|---|---|---|---|---|---|
| PA20 | 1 | 2 | 2 | 7 | 3 | 9 | 9 |
| PA0 | 1/2 | 1 | 1 | 6 | 2 | 7 | 7 |
| C | 1/2 | 1 | 1 | 6 | 2 | 7 | 7 |
| A4 | 1/7 | 1/6 | 1/6 | 1 | 1/4 | 2 | 2 |
| G | 1/3 | 1/2 | 1/2 | 4 | 1 | 5 | 5 |
| FibC | 1/9 | 1/7 | 1/7 | 1/2 | 1/7 | 1 | 1 |
| FibNi | 1/9 | 1/7 | 1/7 | 1 | 1/7 | 1 | 1 |
| PA20 | PA0 | C | A4 | G | FibC | FibNi | |
|---|---|---|---|---|---|---|---|
| PA20 | 1 | 1/4 | 3 | 1/6 | 1/2 | 1/4 | 1/3 |
| PA0 | 4 | 1 | 8 | 1/2 | 3 | 1 | 2 |
| C | 1/3 | 1/8 | 1 | 1/9 | 1/4 | 1/8 | 1/6 |
| A4 | 6 | 2 | 9 | 1 | 4 | 2 | 3 |
| G | 2 | 1/3 | 4 | 1/4 | 1 | 1/3 | 1/2 |
| FibC | 4 | 1 | 8 | 1/2 | 3 | 1 | 2 |
| FibNi | 3 | 1/2 | 6 | 1/3 | 2 | 1/2 | 1 |
| PA20 | PA0 | C | A4 | G | FibC | FibNi | |
|---|---|---|---|---|---|---|---|
| PA20 | 1 | 1/4 | 2 | 1/4 | 1/2 | 1/3 | 1 |
| PA0 | 4 | 1 | 7 | 1 | 3 | 2 | 4 |
| C | 1/2 | 1/7 | 1 | 1/7 | 1/4 | 1/5 | 1/2 |
| A4 | 4 | 1 | 7 | 1 | 3 | 2 | 4 |
| G | 2 | 1/3 | 4 | 1/3 | 1 | 1/2 | 2 |
| FibC | 3 | 1/2 | 5 | 1/2 | 2 | 1 | 3 |
| FibNi | 1 | 1/4 | 2 | 1/4 | 1/2 | 1/3 | 1 |
| Climate Change | Ozone Depletion | Particulate Matter | Photochemical Oxidant Formation | Marine Ecotoxicity | Fossil Depletion | |
|---|---|---|---|---|---|---|
| Climate change | 1 | 3 | 4 | 4 | 5 | 2 |
| ozone depletion | 1/3 | 1 | 2 | 2 | 3 | 1/2 |
| particulate matter | 1/4 | 1/2 | 1 | 1 | 2 | 1/3 |
| Photochemical oxidant formation | 1/4 | 1/2 | 1 | 1 | 2 | 1/3 |
| Marine ecotoxicity | 1/5 | 1/3 | 1/2 | 1/2 | 1 | ¼ |
| Fossil depletion | 1/2 | 2 | 3 | 3 | 4 | 1 |
| Storage Efficiency | ΔTeff | |
|---|---|---|
| Storage efficiency | 1 | 3 |
| ΔTeff | 1/3 | 1 |
| Climate Change | Ozone Depletion | Particulate Matter | Photochemical Oxidant Formation | Marine Ecotoxicity | Fossil Depletion | Storage Efficiency | ΔTeff | |
|---|---|---|---|---|---|---|---|---|
| A4 | 0.04 | 0.03 | 0.04 | 0.06 | 0.03 | 0.04 | 0.32 | 0.29 |
| C | 0.16 | 0.35 | 0.28 | 0.26 | 0.21 | 0.31 | 0.02 | 0.03 |
| FibC | 0.05 | 0.02 | 0.06 | 0.09 | 0.07 | 0.03 | 0.20 | 0.17 |
| FibNi | 0.03 | 0.04 | 0.02 | 0.02 | 0.03 | 0.03 | 0.12 | 0.06 |
| G | 0.24 | 0.24 | 0.28 | 0.26 | 0.13 | 0.20 | 0.08 | 0.10 |
| PA20 | 0.36 | 0.15 | 0.16 | 0.15 | 0.33 | 0.20 | 0.05 | 0.06 |
| PA0 | 0.13 | 0.15 | 0.16 | 0.15 | 0.21 | 0.20 | 0.20 | 0.30 |
| LCA: Thermal Performance 50:50 | |||
| Name | Ideals | Normals | Raw |
| A4 | 0.87 | 0.17 | 0.06 |
| C | 0.70 | 0.14 | 0.05 |
| FibC | 0.63 | 0.12 | 0.04 |
| FibNi | 0.38 | 0.07 | 0.02 |
| G | 0.82 | 0.16 | 0.05 |
| PA20 | 0.79 | 0.15 | 0.05 |
| PA0 | 1.00 | 0.19 | 0.06 |
| LCA: Thermal Performance 80:20 | |||
| Name | Ideals | Normals | Raw |
| A4 | 0.42 | 0.09 | 0.03 |
| C | 0.93 | 0.20 | 0.07 |
| FibC | 0.36 | 0.08 | 0.03 |
| FibNi | 0.22 | 0.05 | 0.02 |
| G | 0.93 | 0.20 | 0.07 |
| PA20 | 1.00 | 0.21 | 0.07 |
| PA0 | 0.82 | 0.17 | 0.06 |
| LCA: Thermal Performance 20:80 | |||
| Name | Ideals | Normals | Raw |
| A4 | 1.00 | 0.24 | 0.08 |
| C | 0.28 | 0.07 | 0.02 |
| FibC | 0.68 | 0.17 | 0.06 |
| FibNi | 0.41 | 0.10 | 0.03 |
| G | 0.47 | 0.11 | 0.04 |
| PA20 | 0.37 | 0.09 | 0.03 |
| PA0 | 0.87 | 0.21 | 0.07 |
References
- Medrano, M.; Gil, A.; Martorell, I.; Potau, X.; Cabeza, L.F. State of the art on high-temperature thermal energy storage for power generation. Part 2-Case studies. Renew. Sustain. Energy Rev. 2010, 14, 56–72. [Google Scholar] [CrossRef]
- Gil, A.; Medrano, M.; Martorell, I.; Lázaro, A.; Dolado, P.; Zalba, B.; Cabeza, L.F. State of the art on high temperature thermal energy storage for power generation. Part 1-Concepts, materials and modellization. Renew. Sustain. Energy Rev. 2010, 14, 31–55. [Google Scholar] [CrossRef]
- Li, G. Sensible heat thermal storage energy and exergy performance evaluations. Renew. Sustain. Energy Rev. 2016, 53, 897–923. [Google Scholar] [CrossRef]
- Natali, A.; Manzi, S.; Bignozzi, M.C. Novel fiber-reinforced composite materials based on sustainable geopolymer matrix. Procedia Eng. 2011, 21, 1124–1131. [Google Scholar] [CrossRef]
- Kong, D.L.Y.; Sanjayan, J.G. Damage behavior of geopolymer composites exposed to elevated temperatures. Cem. Concr. Compos. 2008, 30, 986–991. [Google Scholar] [CrossRef]
- Celik, A.; Yilmaz, K.; Canpolat, O.; Al-mashhadani, M.M.; Aygörmez, Y.; Uysal, M. High-temperature behavior and mechanical characteristics of boron waste additive metakaolin based geopolymer composites reinforced with synthetic fibers. Constr. Build. Mater. 2018, 187, 1190–1203. [Google Scholar] [CrossRef]
- Ferone, C.; Colangelo, F.; Frattini, D.; Roviello, G.; Cioffi, R.; Maggio, R. Finite Element Method Modeling of Sensible Heat Thermal Energy Storage with Innovative Concretes and Comparative Analysis with Literature Benchmarks. Energies 2014, 7, 5291–5316. [Google Scholar] [CrossRef]
- Prasad, L.; Muthukumar, P. Design and optimization of lab-scale sensible heat storage prototype for solar thermal power plant application. Sol. Energy 2013, 97, 217–229. [Google Scholar] [CrossRef]
- Salomoni, V.A.; Majorana, C.E.; Giannuzzi, G.M.; Miliozzi, A.; Di Maggio, R.; Girardi, F.; Mele, D.; Lucentini, M. Thermal storage of sensible heat using concrete modules in solar power plants. Sol. Energy 2014, 103, 303–315. [Google Scholar] [CrossRef]
- Tamme, R.; Laing, D.; Steinmann, W.D. Advanced thermal energy storage technology for parabolic trough. J. Sol. Energy Eng. Trans. ASME 2004, 126, 794–800. [Google Scholar] [CrossRef]
- Bai, F.; Xu, C. Performance analysis of a two-stage thermal energy storage system using concrete and steam accumulator. Appl. Therm. Eng. 2011, 31, 2764–2771. [Google Scholar] [CrossRef]
- Laing, D.; Bahl, C.; Bauer, T.; Fiss, M.; Breidenbach, N.; Hempel, M. High-temperature solid-media thermal energy storage for solar thermal power plants. Proc. IEEE 2012, 100, 516–524. [Google Scholar] [CrossRef]
- Colangelo, F.; Cioffi, R.; Roviello, G.; Capasso, I.; Caputo, D.; Aprea, P.; Liguori, B.; Ferone, C. Thermal cycling stability of fly ash based geopolymer mortars. Compos. Part B Eng. 2017, 129, 11–17. [Google Scholar] [CrossRef]
- Ferone, C.; Liguori, B.; Capasso, I.; Colangelo, F.; Cioffi, R.; Cappelletto, E.; Di Maggio, R. Thermally treated clay sediments as geopolymer source material. Appl. Clay Sci. 2015, 107, 195–204. [Google Scholar] [CrossRef]
- Pouhet, R.; Cyr, M. Formulation and performance of flash metakaolin geopolymer concretes. Constr. Build. Mater. 2016, 120, 150–160. [Google Scholar] [CrossRef]
- Nenadović, S.S.; Ferone, C.; Nenadović, M.T.; Cioffi, R.; Mirković, M.M.; Vukanac, I.; Kljajević, L.M. Chemical, physical and radiological evaluation of raw materials and geopolymers for building applications. J. Radioanal. Nucl. Chem. 2020, 325, 435–445. [Google Scholar] [CrossRef]
- Liguori, B.; Capasso, I.; De Pertis, M.; Ferone, C.; Cioffi, R. Geopolymerization Ability of Natural and Secondary Raw Materials by Solubility Test in Alkaline Media. Environments 2017, 4, 56. [Google Scholar] [CrossRef]
- Mehta, A.; Siddique, R. An overview of geopolymers derived from industrial by-products. Constr. Build. Mater. 2016, 127, 183–198. [Google Scholar] [CrossRef]
- Ferone, C.; Capasso, I.; Bonati, A.; Roviello, G.; Montagnaro, F.; Santoro, L.; Turco, R.; Cioffi, R. Sustainable management of water potabilization sludge by means of geopolymers production. J. Clean. Prod. 2019, 229, 1–9. [Google Scholar] [CrossRef]
- Capasso, I.; Lirer, S.; Flora, A.; Ferone, C.; Cioffi, R.; Caputo, D.; Liguori, B. Reuse of mining waste as aggregates in fly ash-based geopolymers. J. Clean. Prod. 2019, 220, 65–73. [Google Scholar] [CrossRef]
- Provis, J.L.; van Deventer, J.S.J. Geopolymers, 1st ed.; Woodhead Publishing Limited: Cambridge, UK, 2009; ISBN 9781845694494. [Google Scholar]
- Zhang, P.; Wang, K.; Li, Q.; Wang, J.; Ling, Y. Fabrication and engineering properties of concretes based on geopolymers/alkali-activated binders—A review. J. Clean. Prod. 2020, 258, 120896. [Google Scholar] [CrossRef]
- Ranjbar, N.; Zhang, M. Fiber-reinforced geopolymer composites: A review. Cem. Concr. Compos. 2020, 107, 103498. [Google Scholar] [CrossRef]
- Silva, G.; Kim, S.; Bertolotti, B.; Nakamatsu, J.; Aguilar, R. Optimization of a reinforced geopolymer composite using natural fibers and construction wastes. Constr. Build. Mater. 2020, 258, 119697. [Google Scholar] [CrossRef]
- Ferone, C.; Roviello, G.; Colangelo, F.; Cioffi, R.; Tarallo, O. Novel hybrid organic-geopolymer materials. Appl. Clay Sci. 2013, 73, 42–50. [Google Scholar] [CrossRef]
- Roviello, G.; Menna, C.; Tarallo, O.; Ricciotti, L.; Ferone, C.; Colangelo, F.; Asprone, D.; di Maggio, R.; Cappelletto, E.; Prota, A.; et al. Preparation, structure and properties of hybrid materials based on geopolymers and polysiloxanes. Mater. Des. 2015, 87, 82–94. [Google Scholar] [CrossRef]
- Roviello, G.; Ricciotti, L.; Ferone, C.; Colangelo, F.; Tarallo, O. Fire resistant melamine based organic-geopolymer hybrid composites. Cem. Concr. Compos. 2015, 59, 89–99. [Google Scholar] [CrossRef]
- Roviello, G.; Ricciotti, L.; Tarallo, O.; Ferone, C.; Colangelo, F.; Roviello, V.; Cioffi, R. Innovative Fly Ash Geopolymer-Epoxy Composites: Preparation, Microstructure and Mechanical Properties. Materials 2016, 9, 461. [Google Scholar] [CrossRef]
- Roviello, G.; Menna, C.; Tarallo, O.; Ricciotti, L.; Messina, F.; Ferone, C.; Asprone, D.; Cioffi, R. Lightweight geopolymer-based hybrid materials. Compos. Part B Eng. 2017, 128, 225–237. [Google Scholar] [CrossRef]
- Roviello, G.; Ricciotti, L.; Molino, A.J.; Menna, C.; Ferone, C.; Cioffi, R.; Tarallo, O. Hybrid Geopolymers from Fly Ash and Polysiloxanes. Molecules 2019, 24, 3510. [Google Scholar] [CrossRef]
- Roviello, G.; Ricciotti, L.; Molino, A.J.; Menna, C.; Ferone, C.; Asprone, D.; Cioffi, R.; Ferrandiz-Mas, V.; Russo, P.; Tarallo, O. Hybrid Fly Ash-Based Geopolymeric Foams: Microstructural, Thermal and Mechanical Properties. Materials 2020, 13, 2919. [Google Scholar] [CrossRef]
- Colangelo, F.; Roviello, G.; Ricciotti, L.; Ferrándiz-Mas, V.; Messina, F.; Ferone, C.; Tarallo, O.; Cioffi, R.; Cheeseman, C.R. Mechanical and thermal properties of lightweight geopolymer composites. Cem. Concr. Compos. 2018, 86, 266–272. [Google Scholar] [CrossRef]
- Del Borghi, A. LCA and communication: Environmental Product Declaration. Int. J. Life Cycle Assess. 2013, 18, 293–295. [Google Scholar] [CrossRef]
- Jeswani, H.K.; Azapagic, A.; Schepelmann, P.; Ritthoff, M. Options for broadening and deepening the LCA approaches. J. Clean. Prod. 2010, 18, 120–127. [Google Scholar] [CrossRef]
- Martín-Gamboa, M.; Iribarren, D.; García-Gusano, D.; Dufour, J. A review of life-cycle approaches coupled with data envelopment analysis within multi-criteria decision analysis for sustainability assessment of energy systems. J. Clean. Prod. 2017, 150, 164–174. [Google Scholar] [CrossRef]
- Campos-Guzmán, V.; García-Cáscales, M.S.; Espinosa, N.; Urbina, A. Life Cycle Analysis with Multi-Criteria Decision Making: A review of approaches for the sustainability evaluation of renewable energy technologies. Renew. Sustain. Energy Rev. 2019, 104, 343–366. [Google Scholar] [CrossRef]
- Khoshnava, S.M.; Rostami, R.; Valipour, A.; Ismail, M.; Rahmat, A.R. Rank of green building material criteria based on the three pillars of sustainability using the hybrid multi criteria decision making method. J. Clean. Prod. 2018, 173, 82–99. [Google Scholar] [CrossRef]
- Laing, D.; Steinmann, W.D.; Tamme, R.; Richter, C. Solid media thermal storage for parabolic trough power plants. Sol. Energy 2006, 80, 1283–1289. [Google Scholar] [CrossRef]
- Jian, Y.; Falcoz, Q.; Neveu, P.; Bai, F.; Wang, Y.; Wang, Z. Design and optimization of solid thermal energy storage modules for solar thermal power plant applications. Appl. Energy 2015, 139, 30–42. [Google Scholar] [CrossRef]
- Frattini, D.; Ferone, C.; Colangelo, F.; de Pertis, M.; Cioffi, R.; Di Maggio, R. Computational evaluation of different construction materials performance in thermal energy storage systems. In Proceedings of the third International Conference on Computational Methods for Thermal Problems, Lake Bled, Slovenia, 2–4 June 2014; pp. 459–462. [Google Scholar]
- Callister, W.D., Jr. Appendix B—Selected Properties of Materials. In Materials Science and Engineering—An Introduction, 5th ed.; John Wiley & Sons, Ltd: Hoboken, NJ, USA, 1999. [Google Scholar]
- Guo, C.; Zhu, J.; Zhou, W.; Chen, W. Fabrication and thermal properties of a new heat storage concrete material. J. Wuhan Univ. Technol. Sci. Ed. 2010, 25, 628–630. [Google Scholar] [CrossRef]
- Ricciotti, L.; Occhicone, A.; Petrillo, A.; Ferone, C.; Cioffi, R.; Roviello, G. Geopolymer-based hybrid foams: Lightweight materials from a sustainable production process. J. Clean. Prod. 2020, 250, 119588. [Google Scholar] [CrossRef]
- Habert, G.; Ouellet-Plamondon, C. Recent update on the environmental impact of geopolymers. RILEM Tech. Lett. 2016, 1, 17. [Google Scholar] [CrossRef]
- Çimsa RESISTO40(R)—Calcium Aluminate Cement. Available online: https://epdturkey.org/wp-content/uploads/cimsa_isidac40_cimento_epdturkey_en.pdf (accessed on 23 December 2020).
- Concrete Admixtures—Plasticisers and Superplasticisers. Available online: https://epd-online.com/PublishedEpd/Download/7713 (accessed on 23 December 2020).
- Janssen, M.; Gustafsson, E.; Echardt, L.; Wallinder, J.; Wolf, J. Life cycle assessment of lignin-based carbon fibres. In Proceedings of the 14th Conference on Sustainable Development of Energy, Water and Environment Systems: (SDEWES), Dubrovnik, Croatia, 1–6 October 2019; p. 10. [Google Scholar]
- Huijbregts, M.A.J.; Steinmann, Z.J.N.; Elshout, P.M.F.; Stam, G.; Verones, F.; Vieira, M.; Zijp, M.; Hollander, A.; van Zelm, R. ReCiPe2016: A harmonised life cycle impact assessment method at midpoint and endpoint level. Int. J. Life Cycle Assess. 2017, 22, 138–147. [Google Scholar] [CrossRef]
- ReCiPe 2016. Available online: https://www.rivm.nl/en/life-cycle-assessment-lca/recipe (accessed on 23 December 2020).
- World Meteorological Organization. Scientific Assessment of Ozone Depletion 2010 Report No. 52; World Meteorological Organization: Geneva, Switzerland, 2011. [Google Scholar]
- Spadaro, J.V.; Rabl, A. Pathway Analysis for Population-Total Health Impacts of Toxic Metal Emissions. Risk Anal. 2004, 24, 1121–1141. [Google Scholar] [CrossRef] [PubMed]
- van Zelm, R.; Preiss, P.; van Goethem, T.; Van Dingenen, R.; Huijbregts, M. Regionalized life cycle impact assessment of air pollution on the global scale: Damage to human health and vegetation. Atmos. Environ. 2016, 134, 129–137. [Google Scholar] [CrossRef]
- Roy, P.-O.; Azevedo, L.B.; Margni, M.; van Zelm, R.; Deschênes, L.; Huijbregts, M.A.J. Characterization factors for terrestrial acidification at the global scale: A systematic analysis of spatial variability and uncertainty. Sci. Total Environ. 2014, 500–501, 270–276. [Google Scholar] [CrossRef]
- Roy, P.-O.; Huijbregts, M.; Deschênes, L.; Margni, M. Spatially-differentiated atmospheric source–receptor relationships for nitrogen oxides, sulfur oxides and ammonia emissions at the global scale for life cycle impact assessment. Atmos. Environ. 2012, 62, 74–81. [Google Scholar] [CrossRef]
- Frischknecht, R.; Jungbluth, N.; Althaus, H.-J.; Bauer, C.; Doka, G.; Dones, R.; Hischier, R.; Hellweg, S.; Humbert, S.; Köllner, T.; et al. Implementation of Life Cycle Impact Assessment Methods. Ecoinvent Report No. 3, v2.0; Swiss Centre for Life Cycle Inventories: Dübendorf, Switzerland, 2007. [Google Scholar]
- Saaty, T.L. Decision making with the analytic network process (ANP) and its super-decisions software: The National Missile Defense (NMD) example. In Proceedings of the 6th ISAHP Conference, Berne, Switzerland, 2–4 August 2001; pp. 365–382. [Google Scholar]
- Rochikashvili, M.; Bongaerts, J.C. Multi-criteria Decision-making for Sustainable Wall Paints and Coatings Using Analytic Hierarchy Process. Energy Procedia 2016, 96, 923–933. [Google Scholar] [CrossRef]
- Saaty, T.L.; Vargas, L.G. Decision Making with the Analytic Network Process; International Series in Operations Research & Management Science; Springer: New York, NY, USA, 2006; Volume 95, ISBN 9780387338590. [Google Scholar]
- Saaty, T.L. Decision making with the analytic hierarchy process. Int. J. Serv. Sci. 2008, 1, 83–98. [Google Scholar] [CrossRef]







| Material | Density ρ (kg/m3) | Spec. Heat Cap. c (J/kg·K) | Thermal Cond. k (W/m·K) | Thermal Diff. α × 107 (m2/s) | Vol. Thermal Cap. Cvol (kWh/m3·K) |
|---|---|---|---|---|---|
| FibC | 1810 | 800 | 70 | 483 | 1448.24 |
| FibNi | 8890 | 456 | 70 | 173 | 4053.84 |
| G | 1811 | 751 | 1.01 | 7.43 | 1360.06 |
| Materials | Unit | C | PA0 | PA20 | G | FibC | FibNi | A4 |
|---|---|---|---|---|---|---|---|---|
| CEM II/A-L 42.5R | kg/m3 | 280.00 | 300.00 | 300.00 | - | - | - | - |
| Sand | kg/m3 | 1000.00 | - | - | - | - | - | - |
| Gravel | kg/m3 | 400.00 | - | - | - | - | - | - |
| Fine gravel | kg/m3 | 200.00 | - | - | - | - | - | - |
| Marble sludge | kg/m3 | - | 146.00 | 171.00 | - | - | - | - |
| Crushed limestone | kg/m3 | - | 1648.00 | 1227.00 | 1288.83 | 1234.33 | 1234.33 | - |
| Plastic aggregate | kg/m3 | - | - | 140.00 | - | - | - | - |
| Fly ash | kg/m3 | - | 90.00 | 90.00 | 313.91 | 300.63 | 300.63 | - |
| Alkaline solution * | kg/m3 | - | - | - | 208.27 | 199.46 | 199.46 | - |
| Superplasticizer ** | L/m3 | - | 6.86 | 8.91 | - | - | - | - |
| Fibre | kg/m3 | - | - | - | - | 88.69 | 435.61 | - |
| Calcium aluminate cement | kg/m3 | - | - | - | - | - | - | 268.00 |
| Basalt | kg/m3 | - | - | - | - | - | - | 991.60 |
| Bauxite | kg/m3 | - | - | - | - | - | - | 964.80 |
| Graphite | kg/m3 | - | - | - | - | - | - | 268.00 |
| Silica sand | kg/m3 | - | - | - | - | - | - | 134.00 |
| Aluminium micropowder | kg/m3 | - | - | - | - | - | - | 107.20 |
| Steel | kg/m3 | - | - | - | - | - | - | 134.00 |
| Density | kg/m3 | 2410.00 | 2190.86 | 1936.91 | 1811.00 | 1823.11 | 2170.03 | 2170.03 |
| a | A1 | A2 | A3 | A4 | A5 | A6 |
| A1 | A | 3 | 4 | 4 | 5 | 2 |
| A2 | 1/3 | 1 | 2 | 2 | 3 | 1/2 |
| A3 | 1/4 | 1/2 | 1 | 1 | 2 | 1/3 |
| A4 | 1/4 | 1/2 | 1 | 1 | 2 | 1/3 |
| A5 | 1/5 | 1/3 | 1/2 | 1/2 | 1 | 1/4 |
| A6 | 1/2 | 2 | 3 | 3 | 4 | 1 |
| b | A7 | A8 | ||||
| A7 | 1 | 3 | ||||
| A8 | 1/3 | 1 | ||||
| Material | ΔTeff (K) | Thermal Storage Efficiency (%) | Volume Power Density (kWh/m3) |
|---|---|---|---|
| FibC | 37.71 | 95.86 | 14.24 |
| FibNi | 36.62 | 94.63 | 13.83 |
| G | 37.11 | 92.42 | 13.28 |
Publisher’s Note: MDPI stays neutral with regard to jurisdictional claims in published maps and institutional affiliations. |
© 2021 by the authors. Licensee MDPI, Basel, Switzerland. This article is an open access article distributed under the terms and conditions of the Creative Commons Attribution (CC BY) license (http://creativecommons.org/licenses/by/4.0/).
Share and Cite
Frattini, D.; Occhicone, A.; Ferone, C.; Cioffi, R. Fibre-Reinforced Geopolymer Concretes for Sensible Heat Thermal Energy Storage: Simulations and Environmental Impact. Materials 2021, 14, 414. https://doi.org/10.3390/ma14020414
Frattini D, Occhicone A, Ferone C, Cioffi R. Fibre-Reinforced Geopolymer Concretes for Sensible Heat Thermal Energy Storage: Simulations and Environmental Impact. Materials. 2021; 14(2):414. https://doi.org/10.3390/ma14020414
Chicago/Turabian StyleFrattini, Domenico, Alessio Occhicone, Claudio Ferone, and Raffaele Cioffi. 2021. "Fibre-Reinforced Geopolymer Concretes for Sensible Heat Thermal Energy Storage: Simulations and Environmental Impact" Materials 14, no. 2: 414. https://doi.org/10.3390/ma14020414
APA StyleFrattini, D., Occhicone, A., Ferone, C., & Cioffi, R. (2021). Fibre-Reinforced Geopolymer Concretes for Sensible Heat Thermal Energy Storage: Simulations and Environmental Impact. Materials, 14(2), 414. https://doi.org/10.3390/ma14020414

