Optimisation of Mechanical Properties of Gradient Zr–C Coatings
Abstract
1. Introduction
2. Materials and Methods
2.1. Optimisation
2.1.1. Object
- The steel substrate is treated as a homogeneous continuous medium;
- Substrate and layer materials are elastic-plastic bodies represented by a so-called bi-linear model with work hardening;
- Before deposition process in substrate initial stresses were 0 GPa;
- At the boundary between the substrate and the coating mesh nodes are connected—no separation allowed;
- Spatial distribution of carbon concentration in gradient layer is represented by a continuous power transition function;
- A homogeneous temperature distribution was assumed in the samples during the deposition of the coatings—the deposition temperature value was 400 °C.
2.1.2. Decision Criteria
2.2. Experimental Details
2.2.1. Coatings Deposition
2.2.2. Characterisation Methods
3. Results and Discussion
3.1. Simulation Results
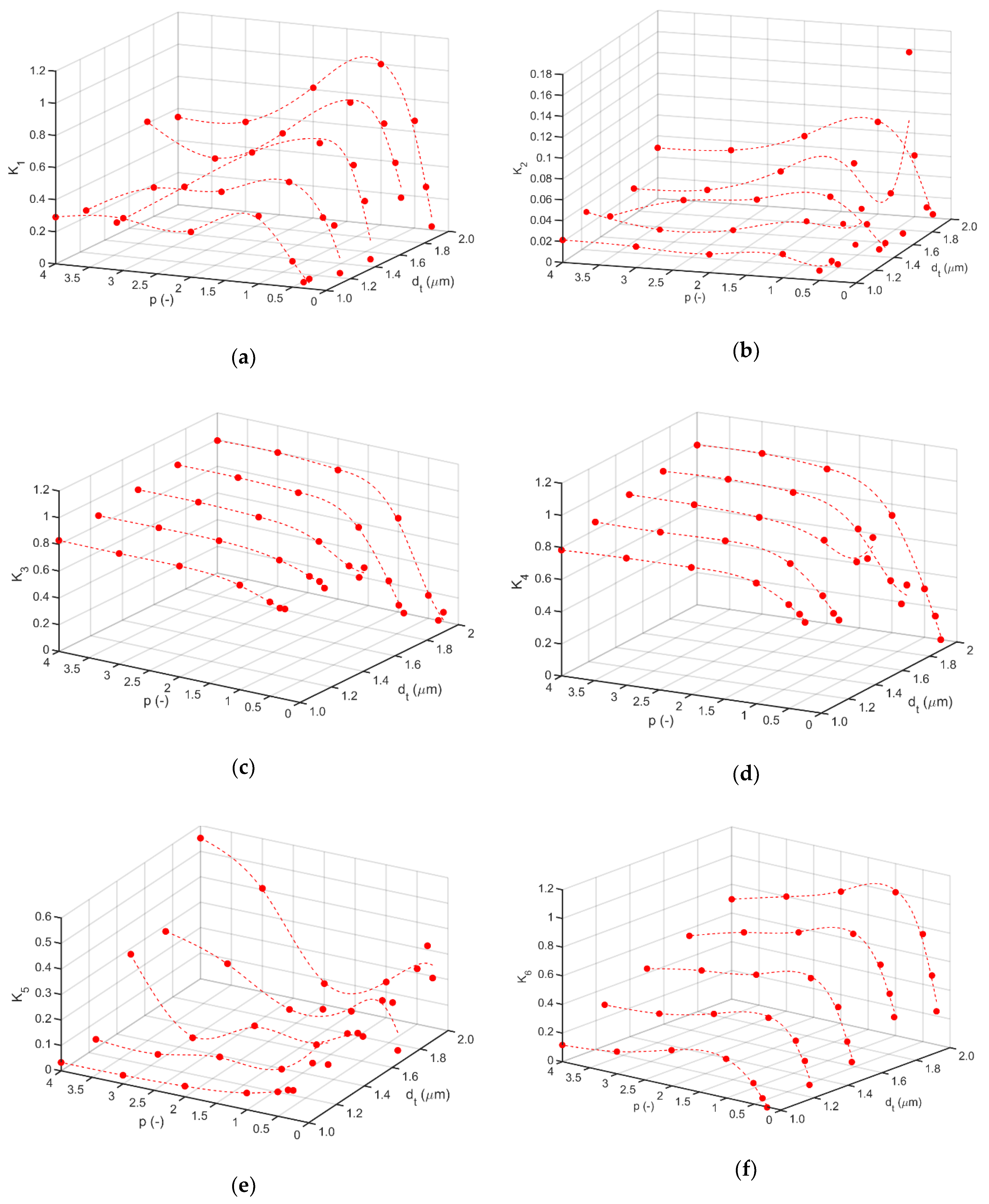
3.1.1. Criteria Values in the Decision Variables Domain
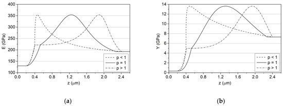
3.1.2. Coating’s Prototypes
3.2. Experimental Results
3.2.1. Scratch Test
3.2.2. Wear Test
3.3. Summary Results
- —VL (Very Low);
- —L (Low);
- —M (Moderate);
- —H (High);
- —VH (Very High).
4. Conclusions
- Exponent of the power transition function p < 1 (J(dt, p) → min) and the thickness of the gradient layer dt at 80% of the total thickness of the coating;
- The asymmetric Lorentzian distribution of Young’s modulus and hardness (Figure 9), the maxima of which occur at a distance of about 20% dt from the adhesive layer interface;
- A strong decrease in hardness and Young’s modulus starting from the maximum, up to the top layer interface.
Author Contributions
Funding
Institutional Review Board Statement
Informed Consent Statement
Data Availability Statement
Conflicts of Interest
References
- Dobrzański, L.A.; Gołombek, K.; Lukaszkowicz, K. Physical Vapor Deposition in Manufacturing. In Handbook of Manufacturing Engineering and Technology; Nee, A., Ed.; Springer: London, UK, 2013; pp. 1–31. [Google Scholar] [CrossRef]
- Inspektor, A.; Salvador, P.A. Architecture of PVD coatings for metal cutting applications: A review. Surf. Coat. Technol. 2014, 257, 138–153. [Google Scholar] [CrossRef]
- Bobzin, K. High-performance coatings for cutting tools. CIRP J. Manuf. Sci. Technol. 2017, 18, 1–9. [Google Scholar] [CrossRef]
- Cai, F.; Gao, Y.; Zhang, S.; Zhang, L.; Wang, Q. Gradient architecture of Si containing layer and improved cutting performance of AlCrSiN coated tools. Wear 2019, 424, 193–202. [Google Scholar] [CrossRef]
- Xinxiang, P.; Li, Y.; Jiujun, X. Elastic-plastic deformation analysis of multi-layer surface coating under sliding contact. Thin Solid Film 1999, 354, 154–161. [Google Scholar] [CrossRef]
- Miyamoto, Y.; Kaysser, W.A.; Rabin, B.H.; Kawasaki, A.; Ford, R.G. Functionally Graded Materials: Design, Processing and Applications; Springer Science & Business Media: Boston, MA, USA, 2013; Volume 5, pp. 29–88. [Google Scholar] [CrossRef]
- Peng, S.; Xu, J.; Munroe, P.; Xie, Z. Sandwich-structured, damage-resistant TiN/graded TiSiN/TiSiN film. Results Phys. 2019, 12, 543–554. [Google Scholar] [CrossRef]
- Li, B. 3D FEM modelling for stress simulation and experimental investigation of dual-gradient coating using PVD. Int. J. Mater. Res. 2016, 107, 300–308. [Google Scholar] [CrossRef]
- Wo, P.C.; Zhao, X.L.; Munroe, P.R.; Zhou, Z.F.; Li, K.Y.; Habibi, D.; Xie, Z.H. Extremely hard, damage-tolerant ceramic coatings with functionally graded, periodically varying architecture. Acta Mater. 2013, 61, 193–204. [Google Scholar] [CrossRef]
- Zhang, X.C.; Xu, B.S.; Wang, H.D.; Wu, Y.X.; Jiang, Y. Hertzian contact response of single-layer, functionally graded and sandwich coatings. Mater. Des. 2007, 28, 47–54. [Google Scholar] [CrossRef]
- Saizonou, C.; Kouitat-Njiwa, R.; Von Stebut, J. Surface engineering with functionally graded coatings: A numerical study based on the boundary element method. Surf. Coat. Technol. 2002, 153, 290–297. [Google Scholar] [CrossRef]
- Matthews, A.; Leyland, A.; Holmberg, K.; Ronkainen, H. Design aspects for advanced tribological surface coatings. Surf. Coat. Technol. 1998, 100, 1–6. [Google Scholar] [CrossRef]
- Voevodin, A.A.; Capano, M.A.; Laube, S.J.P.; Donley, M.S.; Zabinski, J.S. Design of a Ti/TiC/DLC functionally gradient coating based on studies of structural transitions in Ti–C thin films. Thin Solid Film 1997, 298, 107–115. [Google Scholar] [CrossRef]
- Holmberg, K.; Ronkainen, H.; Matthews, A. Tribology of thin coatings. Ceram. Int. 2000, 26, 787–795. [Google Scholar] [CrossRef]
- Vogli, E.; Tillmann, W.; Selvadurai-Lassl, U.; Fischer, G.; Herper, J. Influence of Ti/TiAlN-multilayer designs on their residual stresses and mechanical properties. Appl. Surf. Sci. 2011, 257, 8550–8557. [Google Scholar] [CrossRef]
- Verma, N.; Jayaram, V. The influence of Zr layer thickness on contact deformation and fracture in a ZrN–Zr multilayer coating. J. Mater. Sci. 2012, 47, 1621–1630. [Google Scholar] [CrossRef]
- Jiang, C.L.; Zhu, H.L.; Shin, K.S.; Tang, Y.B. Influence of titanium interlayer thickness distribution on mechanical properties of Ti/TiN multilayer coatings. Thin Solid Film 2017, 632, 97–105. [Google Scholar] [CrossRef]
- Oettel, H.; Wiedemann, R. Residual stresses in PVD hard coatings. Surf. Coat. Technol. 1995, 76, 265–273. [Google Scholar] [CrossRef]
- Bell, T.; Mao, K.; Sun, Y. Surface engineering design: Modelling surface engineering systems for improved tribological performance. Surf. Coat. Technol. 1998, 108, 360–368. [Google Scholar] [CrossRef]
- Wiklund, U.; Gunnars, J.; Hogmark, S. Influence of residual stresses on fracture and delamination of thin hard coatings. Wear 1999, 232, 262–269. [Google Scholar] [CrossRef]
- Holmberg, K.; Ronkainen, H.; Laukkanen, A.; Wallin, K.; Hogmark, S.; Jacobson, S.; Wiklund, U.; Souza, R.M.; Ståhle, P. Residual stresses in TiN, DLC and MoS2 coated surfaces with regard to their tribological fracture behaviour. Wear 2009, 267, 2142–2156. [Google Scholar] [CrossRef]
- Won, Y.J.; Ki, H. Effect of film gradient profile on adhesion strength, residual stress and effective hardness of functionally graded diamond-like carbon films. Appl. Surf. Sci. 2014, 311, 775–779. [Google Scholar] [CrossRef]
- Renzelli, M.; Mughal, M.Z.; Sebastiani, M.; Bemporad, E. Design, fabrication and characterization of multilayer Cr-CrN thin coatings with tailored residual stress profiles. Mater. Des. 2016, 112, 162–171. [Google Scholar] [CrossRef]
- Skordaris, G.; Bouzakis, K.D.; Kotsanis, T.; Charalampous, P.; Bouzakis, E.; Breidenstein, B.; Bergmann, B.; Denkena, B. Effect of PVD film’s residual stresses on their mechanical properties, brittleness, adhesion and cutting performance of coated tools. CIRP J. Manuf. Sci. Technol. 2017, 18, 145–151. [Google Scholar] [CrossRef]
- Xi, Y.; Bai, Y.; Gao, K.; Pang, X.; Yang, H.; Yan, L.; Volinsky, A. Residual stress and microstructure effects on mechanical, tribological and electrical properties of TiN coatings on 304 stainless steel. Ceram. Int. 2018, 44, 15851–15858. [Google Scholar] [CrossRef]
- Komvopoulos, K.; Saka, N.; Suh, N.P. The role of hard layers in lubricated and dry sliding. J. Tribol. 1987, 109, 223–231. [Google Scholar] [CrossRef]
- Kral, E.R.; Komvopoulos, K. Three-dimensional finite element analysis of subsurface stresses and shakedown due to repeated sliding on a layered medium. J. Appl. Mech. 1996, 63, 967–973. [Google Scholar] [CrossRef]
- Kral, E.R.; Komvopoulos, K. Three-dimensional finite element analysis of subsurface stress and strain fields due to sliding contact on an elastic-plastic layered medium. J. Tribol. 1997, 119, 332–341. [Google Scholar] [CrossRef]
- Tangena, A.G.; Wijnhoven, P.J.M.; Muijderman, E.A. The role of plastic deformation in wear of thin films. J. Tribol. 1988, 110, 602–608. [Google Scholar] [CrossRef]
- Holmberg, K.; Laukkanen, A.; Ronkainen, H.; Wallin, K.; Varjus, S.; Koskinen, J. Tribological contact analysis of a rigid ball sliding on a hard coated surface: Part I: Modelling stresses and strains. Surf. Coat. Technol. 2006, 200, 3793–3809. [Google Scholar] [CrossRef]
- Holmberg, K.; Laukkanen, A.; Ronkainen, H.; Wallin, K.; Varjus, S.; Koskinen, J. Tribological contact analysis of a rigid ball sliding on a hard coated surface: Part II: Material deformations, influence of coating thickness and Young’s modulus. Surf. Coat. Technol. 2006, 200, 3810–3823. [Google Scholar] [CrossRef]
- Li, J.; Beres, W. Three-dimensional finite element modelling of the scratch test for a TiN coated titanium alloy substrate. Wear 2006, 260, 1232–1242. [Google Scholar] [CrossRef]
- Schwarzer, N. Coating design due to analytical modelling of mechanical contact problems on multilayer systems. Surf. Coat. Technol. 2000, 133, 397–402. [Google Scholar] [CrossRef]
- Singh, R.K.; Zhou, Z.; Li, L.K.Y.; Munroe, P.; Hoffman, M.; Xie, Z. Design of functionally graded carbon coatings against contact damage. Thin Solid Film 2010, 518, 5769–5776. [Google Scholar] [CrossRef]
- Szparaga, Ł.; Bartosik, P.; Gilewicz, A.; Mydłowska, K.; Ratajski, J. Optimisation of mechanical properties of ZrC multilayer coatings. Thin Solid Film 2020, 704, 138016:1–138016:16. [Google Scholar] [CrossRef]
- Meng, Q.N.; Wen, M.; Mao, F.; Nedfors, N.; Jansson, U.; Zheng, W.T. Deposition and characterization of reactive magnetron sputtered zirconium carbide films. Surf. Coat. Technol. 2013, 232, 876–883. [Google Scholar] [CrossRef]
- Gilewicz, A.; Mydłowska, K.; Ratajski, J.; Szparaga, Ł.; Bartosik, P.; Kochmański, P.; Jędrzejewski, R. Structural, mechanical and tribological properties of ZrC thin films deposited by magnetron sputtering. Vacuum 2019, 169, 108909. [Google Scholar] [CrossRef]
- Mydłowska, K.; Czerwińska, E.; Gilewicz, A.; Dobruchowska, E.; Jakubczyk, E.; Szparaga, Ł.; Ceynowa, P.; Ratajski, J. Evolution of Phase Composition and Antibacterial Activity of Zr–C Thin Films. Processes 2020, 8, 260. [Google Scholar] [CrossRef]
- Ratajski, J.; Gilewicz, A.; Mydłowska, K.; Szparaga, Ł. Inter-Relationship between Coating Micro/Nanostructure and the Tribological Performance of Zr–C Gradient Coatings. Coatings 2020, 10, 1121. [Google Scholar] [CrossRef]
- Multiphysics, C. User’s Guide; Release 5.2 A; COMSOL Inc.: Burlington, MA, USA, 2016. [Google Scholar]
- Johnson, K.L. Contact Mechanics; Cambridge University Press: Cambridge, UK, 1985; pp. 202–236. [Google Scholar] [CrossRef]
- Ghaednia, H.; Wang, X.; Saha, S.; Xu, Y.; Sharma, A.; Jackson, R.L. A review of elastic–plastic contact mechanics. Appl. Mech. Rev. 2017, 69, 060804. [Google Scholar] [CrossRef]
- Brake, M.R.W. An analytical elastic plastic contact model with strain hardening and frictional effects for normal and oblique impacts. Int. J. Solids. Struct. 2015, 62, 104–123. [Google Scholar] [CrossRef]
- Fischer-Cripps, A.C. The Hertzian contact surface. J. Mater. Sci. 1999, 34, 129–137. [Google Scholar] [CrossRef]
- Teixeira, V. Mechanical integrity in PVD coatings due to the presence of residual stresses. Thin Solid Film 2001, 392, 276–281. [Google Scholar] [CrossRef]
- Teixeira, V. Residual stress and cracking in thin PVD coatings. Vacuum 2002, 64, 393–399. [Google Scholar] [CrossRef]
- Djabella, H.; Arnell, R.D. Finite element analysis of the contact stresses in elastic coating/substrate under normal and tangential load. Thin Solid Film 1993, 223, 87–97. [Google Scholar] [CrossRef]
- Arnell, R.D. Stress distribution in layered surfaces subjected to tribological forces. Phys. Status Solid A 1994, 145, 247–254. [Google Scholar] [CrossRef]
- Arnell, R.D. The mechanics of the tribology of thin film systems. Surf. Coat. Technol. 1990, 43, 674–687. [Google Scholar] [CrossRef]
- Tangena, A.G.; Wijnhoven, P.J.M. The correlation between mechanical stresses and wear in a layered system. Wear 1988, 121, 27–35. [Google Scholar] [CrossRef]
- Oliver, W.C.; Pharr, G.M. Measurement of hardness and elastic modulus by instrumented indentation: Advances in understanding and refinements to methodology. J. Mater. Res. 2004, 19, 3–20. [Google Scholar] [CrossRef]
- Lu, L.; Schwaiger, R.; Shan, Z.W.; Dao, M.; Lu, K.; Suresh, S. Nano-sized twins induce high rate sensitivity of flow stress in pure copper. Acta Mater. 2005, 53, 2169–2179. [Google Scholar] [CrossRef]
- Sanders, P.G.; Youngdahl, C.J.; Weertman, J.R. The strength of nanocrystalline metals with and without flaws. Mat. Sci. Eng. A-Struct. 1997, 234, 77–82. [Google Scholar] [CrossRef]
- Bowden, F.P.; Tabor, D. The Friction and Lubrication of Solids; Oxford University Press: Oxford, UK, 2001; pp. 5–30. [Google Scholar]
- Janssen, G.C.; Abdalla, M.M.; Van Keulen, F.; Pujada, B.R.; Van Venrooy, B. Celebrating the 100th anniversary of the Stoney equation for film stress, developments from polycrystalline steel strips to single crystal silicon wafers. Thin Solid Film 2009, 517, 1858–1867. [Google Scholar] [CrossRef]
- Bull, S.J. Failure modes in scratch adhesion testing. Surf. Coat. Technol. 1991, 50, 25–32. [Google Scholar] [CrossRef]
- Bull, S.J. Failure mode maps in the thin film scratch adhesion test. Tribol. Int. 1997, 30, 491–498. [Google Scholar] [CrossRef]
- Bull, S.J.; Berasetegui, E.G. An overview of the potential of quantitative coating adhesion measurement by scratch testing. Tribol. Int. 2006, 39, 99–114. [Google Scholar] [CrossRef]
- Giannakopoulos, A.E.; Suresh, S. Indentation of solids with gradients in elastic properties: Part I. Point force. Int. J. Solids Struct. 1997, 34, 2357–2392. [Google Scholar] [CrossRef]
- Bhushan, B. Introduction to Tribology, 2nd ed.; John Wiley & Sons: New York, NY, USA, 2013; pp. 199–271. [Google Scholar]
- Kumar, D.D.; Kumar, N.; Kalaiselvam, S.; Radhika, R.; Rabel, A.M.; Jayavel, R. Tribomechanical properties of reactive magnetron sputtered transition metal carbide coatings. Tribol. Int. 2017, 114, 234–244. [Google Scholar] [CrossRef]
- Al Mahmud, K.A.H.; Kalam, M.A.; Masjuki, H.H.; Mobarak, H.M.; Zulkifli, N.W.M. An updated overview of diamond-like carbon coating in tribology. Crit. Rev. Solid State Mater. Sci. 2015, 40, 90–118. [Google Scholar] [CrossRef]














| p | dt, µm | K1 | K2 | K3 | K4 | K5 | K6 | K7 | N | J |
|---|---|---|---|---|---|---|---|---|---|---|
| 0.25 | 2 | 0.019 | 0.003 | 0.068 | 0 | 0.193 | 0.232 | 0 | 7 | 0.044 |
| 1 | 1.75 | 0.853 | 0.064 | 0.778 | 0.760 | 0.115 | 0.820 | 0.622 | 2 | 0.93 |
| 3 | 2 | 0.557 | 0.051 | 1 | 1 | 0.405 | 0.799 | 0.597 | 1 | 1.864 |
| p | dt, µm | K1 | K2 | K3 | K4 | K5 | K6 | K7 | J | Lc1, N | Lc3, N | W 10−7 mm3/Nm | H, GPa |
|---|---|---|---|---|---|---|---|---|---|---|---|---|---|
| 0.25 | 2.00 | VL | VL | VL | VL | L | L | VL | 0.05 | 23 | 60 | 1.08 | 21 |
| 1.00 | 1.75 | VH | VL | VH | VH | L | VH | H | 0.87 | 11 | 31 | 2.5 | 23 |
| 3.00 | 2.00 | H | VL | VH | VH | M | VH | H | 1.86 | 13 | 37 | 1.9 | 25 |
Publisher’s Note: MDPI stays neutral with regard to jurisdictional claims in published maps and institutional affiliations. |
© 2021 by the authors. Licensee MDPI, Basel, Switzerland. This article is an open access article distributed under the terms and conditions of the Creative Commons Attribution (CC BY) license (http://creativecommons.org/licenses/by/4.0/).
Share and Cite
Szparaga, Ł.; Bartosik, P.; Gilewicz, A.; Mydłowska, K.; Ratajski, J. Optimisation of Mechanical Properties of Gradient Zr–C Coatings. Materials 2021, 14, 296. https://doi.org/10.3390/ma14020296
Szparaga Ł, Bartosik P, Gilewicz A, Mydłowska K, Ratajski J. Optimisation of Mechanical Properties of Gradient Zr–C Coatings. Materials. 2021; 14(2):296. https://doi.org/10.3390/ma14020296
Chicago/Turabian StyleSzparaga, Łukasz, Przemysław Bartosik, Adam Gilewicz, Katarzyna Mydłowska, and Jerzy Ratajski. 2021. "Optimisation of Mechanical Properties of Gradient Zr–C Coatings" Materials 14, no. 2: 296. https://doi.org/10.3390/ma14020296
APA StyleSzparaga, Ł., Bartosik, P., Gilewicz, A., Mydłowska, K., & Ratajski, J. (2021). Optimisation of Mechanical Properties of Gradient Zr–C Coatings. Materials, 14(2), 296. https://doi.org/10.3390/ma14020296

