Investigation on Fatigue Performance of Asphalt Mixture Reinforced by Basalt Fiber
Abstract
:1. Introduction
2. Materials and Methods
2.1. Materials
2.1.1. Basalt Fiber and Lignin Fiber
2.1.2. Asphalt
2.1.3. Mixture Design and Experiment Scheme
2.2. Test Method and Fatigue Test Index
2.2.1. Four-Point Bending Fatigue Test
2.2.2. Test Index Based on Phenomenology Theory
2.2.3. Test Indexes Based on Energy Dissipation Theory
2.2.4. Test Index Based on the Change Rate of Dissipated Energy
3. Results and Discussion
3.1. Fatigue Analysis Based on Phenomenology Theory
3.2. Fatigue Analysis Based on Energy Dissipation Theory
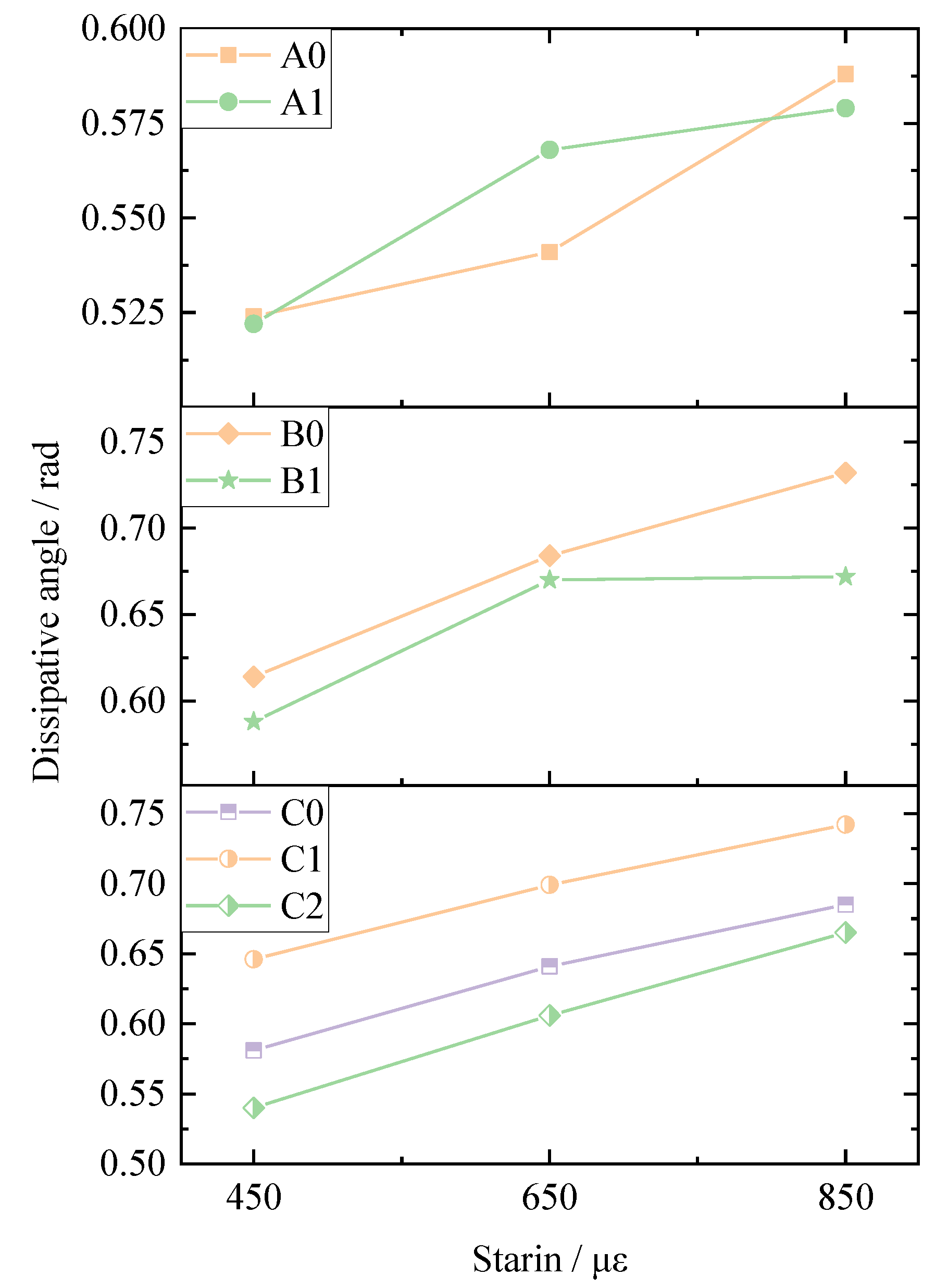
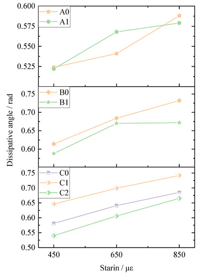
3.2.1. Dissipative Angle
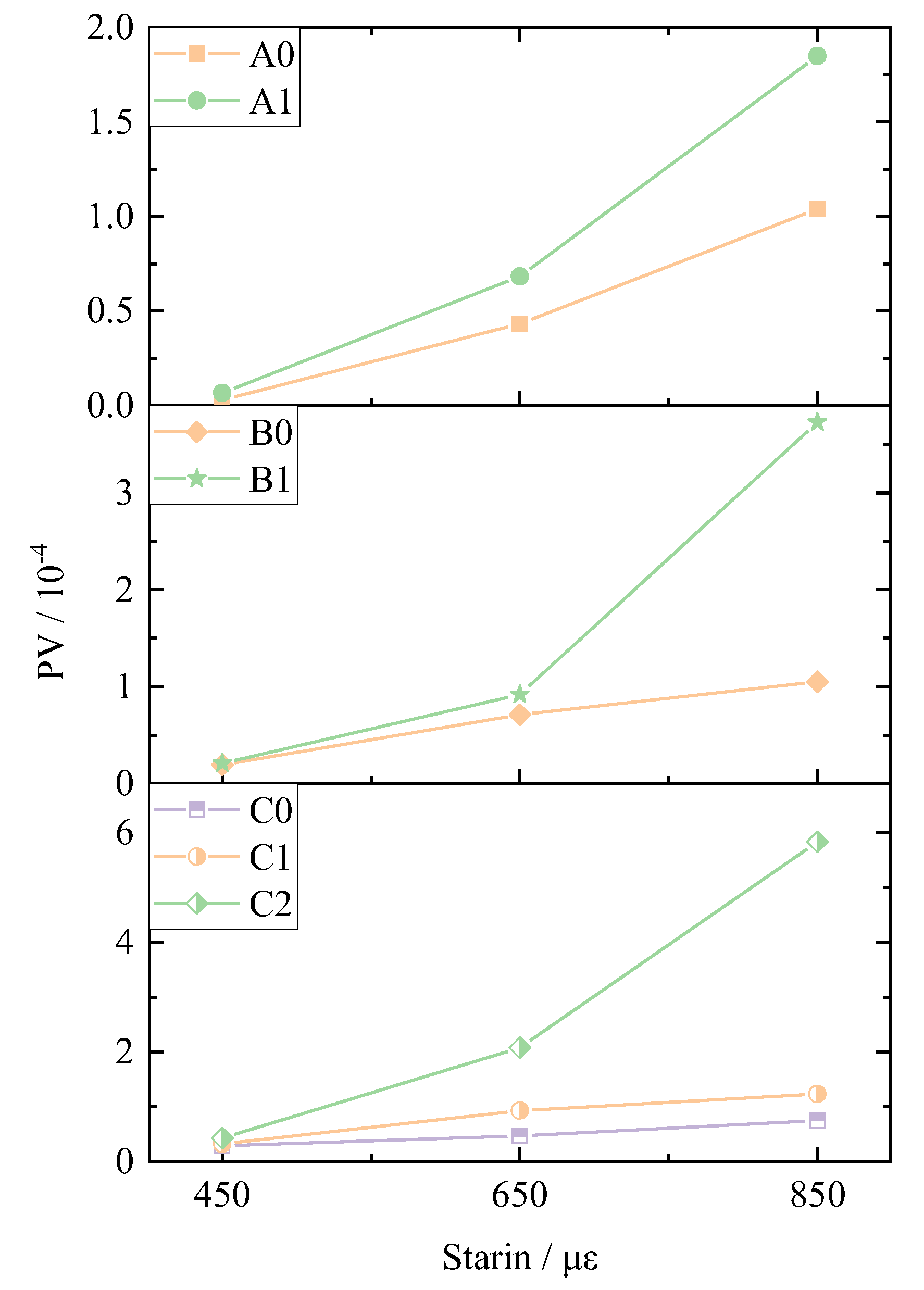
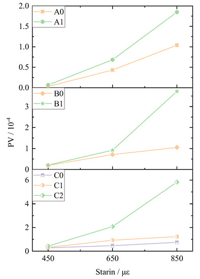
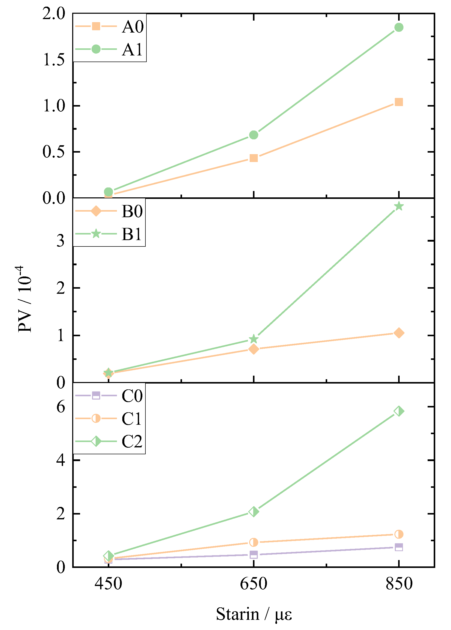
3.2.2. Dissipated Energy
3.2.3. Cumulative Dissipated Energy
3.3. Fatigue Analysis Based on Change Rate of Dissipated Energy
3.4. Further Analysis about the DERC
4. Conclusions
- Basalt fiber can significantly enhance the fatigue life of asphalt mixture. The addition of basalt fiber can obtain a better reinforcement effect than SBS-modified asphalt. The fatigue life has a good linear relationship with the strain levels in the semi logarithmic coordinate.
- The dissipative angles increase when the strain level increases. The influence of basalt fiber on the dissipative angle is not very obvious.
- The dissipated energy decreased when the loading cycles increased. After adding basalt fibers, the stable part in the testing curve was maintained for a longer time, and the dissipated energy of all the samples increased. There is a good linear relationship between cumulative dissipated energy and fatigue life in double logarithmic coordinates.
- Basalt fiber could increase the PV value of the mixtures under different strain levels. When the stiffness modulus became 50% of the initial stiffness value, the DERC was still in the second stage. It is more reasonable to decide the ending time of the fatigue test when the stiffness modulus is about 15–25% that of the initial value.
- The addition of basalt fiber may increase the cost of pavement construction, and it is more suitable for application in heavy traffic sections.
Author Contributions
Funding
Institutional Review Board Statement
Informed Consent Statement
Data Availability Statement
Acknowledgments
Conflicts of Interest
References
- Li, C.; Wang, L.; Wang, X. Crack and crack growth behavior analysis of asphalt mixtures based on the digital speckle correlation method. Constr. Build. Mater. 2017, 147, 227–238. [Google Scholar] [CrossRef]
- de Smit, A.F.; Prozzi, J.A. Quantification of the Reduction of Wet Weather Accidents Using Porous Friction Courses (PFC). Procedia Soc. Behav. Sci. 2013, 96, 2745–2755. [Google Scholar] [CrossRef] [Green Version]
- Kim, M.; Mohammad, L.N.; Jordan, T.; Cooper, S.B., III. Fatigue performance of asphalt mixture containing recycled materials and warm-mix technologies under accelerated loading and four-point bending beam test. J. Clean. Prod. 2018, 192, 656–664. [Google Scholar] [CrossRef]
- Zofka, A.; Błażejowski, K.; Ostrowski, P. Fatigue performance of asphalt pavements with highly polymer-modified asphalt binders. Road Mater. Pavement Des. 2021, 22 (Suppl. 1), S269–S286. [Google Scholar] [CrossRef]
- Wang, S.; Huang, W. Investigation of Aging Behavior of Terminal Blend Rubberized Asphalt with SBS Polymer. Constr. Build. Mater. 2021, 267, 120870. [Google Scholar] [CrossRef]
- Izaks, R.; Rathore, M.; Haritonovs, V.; Zaumanis, M. Performance properties of high modulus asphalt concrete containing high reclaimed asphalt content and polymer modified binder. Int. J. Pavement Eng. 2020. [Google Scholar] [CrossRef]
- de Silva, J.A.A.E.; Rodrigues, J.K.G.; de Carvalho, M.W.; de Lucena, L.C.F.L.; Cavalcante, E.H. Mechanical performance of asphalt mixtures using polymer-micronized PET-modified binder. Road Mater. Pavement Des. 2018, 19, 1001–1009. [Google Scholar] [CrossRef]
- Polaczyk, P.; Ma, Y.; Xiao, R.; Hu, W.; Jiang, X.; Huang, B. Characterization of aggregate interlocking in hot mix asphalt by mechanistic performance tests. Road Mater. Pavement Des. 2021, 22, S498–S513. [Google Scholar] [CrossRef]
- Sangiorgi, C.; Tataranni, P.; Simone, A.; Vignali, V.; Lantieri, C.; Dondi, G. Assessment of waste bleaching clay as alternative filler for the production of porous asphalts. Constr. Build. Mater. 2016, 109, 1–7. [Google Scholar] [CrossRef]
- Lastra-González, P.; Indacoechea-Vega, I.; Calzada-Pérez, M.A.; Vega-Zamanillo, Á.; Castro-Fresno, D. Assessment of induction heating in the performance of porous asphalt mixtures. Road Mater. Pavement Des. 2020, 21, 2302–2320. [Google Scholar] [CrossRef]
- Lou, K.; Kang, A.; Xiao, P.; Wu, Z.; Li, B.; Wang, X. Effects of basalt fiber coated with different sizing agents on performance and microstructures of asphalt mixture. Constr. Build. Mater. 2021, 266, 121155. [Google Scholar] [CrossRef]
- Lou, K.; Xiao, P.; Kang, A.; Wu, Z.; Lu, P. Suitability of fiber lengths for hot mix asphalt with different nominal maximum aggregate size: A pilot experimental investigation. Materials 2020, 13, 3685. [Google Scholar] [CrossRef]
- Slebi-Acevedo, C.J.; Lastra-González, P.; Calzada-Pérez, M.A.; Castro-Fresno, D. Effect of synthetic fibers and hydrated lime in porous asphalt mixture using multi-criteria decision-making techniques. Materials 2020, 13, 675. [Google Scholar] [CrossRef] [Green Version]
- Afonso, M.L.; Dinis-Almeida, M.; Fael, C.S. Study of the porous asphalt performance with cellulosic fibers. Constr. Build. Mater. 2017, 135, 104–111. [Google Scholar] [CrossRef] [Green Version]
- Enieb, M.; Diab, A.; Yang, X. Short-and long-term properties of glass fiber reinforced asphalt mixtures. Int. J. Pavement Eng. 2021, 22, 64–76. [Google Scholar] [CrossRef]
- Kou, C.; Wu, X.; Xiao, P.; Liu, Y.; Wu, Z.G. Physical, Rheological, and Morphological Properties of Asphalt Reinforced by Basalt Fiber and Lignin Fiber. Materials 2020, 13, 2520. [Google Scholar] [CrossRef] [PubMed]
- Jiang, Y.; Zhang, Y.; Xue, J.; Deng, C.; Tian, T. Performance of Stone Mastic Asphalt Mixtures Fabricated by Different Compaction Methods. Appl. Sci. 2020, 10, 2523. [Google Scholar] [CrossRef] [Green Version]
- Sheng, Y.; Li, H.; Guo, P.; Zhao, G.; Chen, H.; Xiong, R. Effect of fibers on mixture design of stone matrix asphalt. Appl. Sci. 2017, 7, 297. [Google Scholar] [CrossRef] [Green Version]
- Li, Z.; Shen, A.; Wang, H.; Guo, Y.; Wu, H. Effect of basalt fiber on the low-temperature performance of an asphalt mixture in a heavily frozen area. Constr. Build. Mater. 2020, 253, 119080. [Google Scholar] [CrossRef]
- Niu, D.; Su, L.; Luo, Y.; Huang, D.; Luo, D. Experimental study on mechanical properties and durability of basalt fiber reinforced coral aggregate concrete. Constr. Build. Mater. 2020, 237, 117628. [Google Scholar] [CrossRef]
- Li, Z.; Ma, J.; Ma, H.; Xu, X. Properties and applications of basalt fiber and its composites. IOP Conf. Ser. Earth Environ. Sci. 2018, 186, 012052. [Google Scholar] [CrossRef]
- Lou, K.; Xiao, P.; Kang, A.; Wu, Z.; Li, B.; Lu, P. Performance evaluation and adaptability optimization of hot mix asphalt reinforced by mixed lengths basalt fibers. Constr. Build. Mater. 2021, 292. [Google Scholar] [CrossRef]
- Lou, K.; Wu, X.; Xiao, P.; Kang, A.; Wu, Z.; Xia, Y. Comprehensive study about effect of basalt fiber, gradation, nominal maximum aggregate size and asphalt on the anti-cracking ability of asphalt mixtures. Appl. Sci. 2021, 11, 2289. [Google Scholar] [CrossRef]
- Cheng, Y.; Yu, D.; Gong, Y.; Zhu, C.; Tao, J.; Wang, W. Laboratory evaluation on performance of eco-friendly basalt fiber and diatomite compound modified asphalt mixture. Materials 2018, 11, 2400. [Google Scholar] [CrossRef] [PubMed] [Green Version]
- Kim, Y.; Mallick, R.; Bhowmick, S.; Chen, B.L. Nonlinear system identification of large-scale smart pavement systems. Expert Syst. Appl. 2013, 40, 3551–3560. [Google Scholar] [CrossRef]
- Miao-Miao, Y.; Xiao-Ning, Z.; Wei-Qiang, C.; Shun-Xian, Z. Ratio of dissipated energy change-based failure criteria of asphalt mixtures. Res. J. Appl. Sci. Eng. Technol. 2013, 6, 2514–2519. [Google Scholar] [CrossRef]
- Xiang, H.; Chen, L.; Zhang, W.; Liu, P.; He, Z. Effect of healing conditions on fatigue-healing of asphalt binder and asphalt mixture. J. Mater. Civil. Eng. 2020, 32, 04020074. [Google Scholar] [CrossRef]
- Cocurullo, A.; Grenfell, J.; Yusof, N.I.M.; Airey, G. Fatigue characteristics of sulphur modified asphalt mixtures. In Proceedings of the 7th RILEM International Conference on Cracking in Pavements, Delft, The Netherlands, 20–22 June 2012; Springer: Dordrecht, The Netherlands, 2012; pp. 783–792. [Google Scholar]
- Xia, C.; Lv, S.; Cabrera, M.B.; Wang, X.; Zhang, C.; You, L. Unified characterizing fatigue performance of rubberized asphalt mixtures subjected to different loading modes. J. Clean. Prod. 2021, 279, 123740. [Google Scholar] [CrossRef]
- Liu, H.; Yang, X.; Jiang, L.; Lv, S.; Huang, T.; Yang, Y. Fatigue-creep damage interaction model of asphalt mixture under the semi-sine cycle loading. Constr. Build. Mater. 2020, 251, 119070. [Google Scholar] [CrossRef]
- Li, X.; Lv, X.; Liu, X.; Ye, J. Discrete element analysis of indirect tensile fatigue test of asphalt mixture. Appl. Sci. 2019, 9, 327. [Google Scholar] [CrossRef] [Green Version]
- Dolzycki, B.; Szydlowski, C.; Jaczewski, M. The influence of combination of binding agents on fatigue properties of deep cold in-place recycled mixtures in Indirect Tensile Fatigue Test (ITFT). Constr. Build. Mater. 2020, 239, 117825. [Google Scholar] [CrossRef]
- Tayebali, A.; Rowe, G.; Sousa, J. Fatigue response of asphalt-aggregate mixtures. J. Assoc. Asph. Paving Technol. 1992, 61, 333–360. [Google Scholar]
- Zhu, G.; Wu, S.; Liu, R.; Zhou, L. Study on the fatigue property for aged asphalt mixtures by using four point bending tests. Mater. Sci. Forum 2009, 614, 289–294. [Google Scholar] [CrossRef]
- Huang, W.; Zhong, H.; Li, B.; Huang, M. Comparison of fatigue properties of modified asphalt mixtures in different fatigue tests. J. Build. Mater. 2019, 22, 149–153. [Google Scholar]
- Yingxia, H. Comparative study on fatigue performance evaluation of recycled asphalt mixture with different fatigue analysis indexes. Shanghai Highw. 2017, 2, 75–80. [Google Scholar]
- China Communications Press. Standard Test Methods of Bitumen and Bituminous Mixtures for Highway Engineering. In Occupation Standard of the People’s Republic of China; China Communications Press: Beijing, China, 2011. [Google Scholar]
- China Communications Press. Technical Specification for Construction of Highway asphalt pavement. In Occupation Standard of the People’s Republic of China; China Communications Press: Beijing, China, 2004. [Google Scholar]
















| Index | Basalt Fiber | Lignin Fiber |
|---|---|---|
| Density, g/cm3 | 2.710 | 0.910 |
| Heat resistance, °C | 1550 | 260 |
| Fracture strength, MPa | ≥2000 | <300 |
| Modulus of elasticity, GPa | 100 | 30 |
| Test Index | Requirement | Result | Test Method | |
|---|---|---|---|---|
| Penetration (25 °C, 100 g, 5 s)/0.1 mm | 60~80 | 71.2 | T0604 | |
| Penetration Index (PI) | −1.5~1.0 | −0.8 | T0604 | |
| Softening point/°C | ≮45 | 47.1 | T0606 | |
| Wax content/% | ≯2.2 | 1.8 | T0615 | |
| flash point/°C | ≮260 | >300 | T0615 | |
| Residue after RTFOT | Weight change/% | ≯±0.8 | −0.02 | T0610 |
| Penetration ratio/% | ≮61 | 61.2 | T0604 | |
| Residual ductility (10 °C)/cm | ≮6 | 6.2 | T0605 | |
| Residual ductility (15 °C)/cm | ≮15 | 28.4 | T0605 | |
| Test Index | Requirement | Result | Test Method | |
|---|---|---|---|---|
| Penetration (25 °C)/0.1 mm | 60~80 | 67 | T0604 | |
| Softening point/°C | ≮55 | 58 | T0606 | |
| Ductility (5cm/min, 5 °C)/cm | ≮30 | 43 | T0605 | |
| Penetration Index (PI) | −0.4~1.0 | 0.3 | T0604 | |
| Kinematic viscosity (235 °C)/Pa·s | ≯3 | 1.8 | T0625 | |
| Elastic recovery rate (25 °C)/% | ≮65 | 78 | T0662 | |
| Softening point difference/°C | ≯2.5 | 1.4 | T0661 | |
| Residue after RTFOT | Weight change/% | ≯±1.0 | −0.06 | T0610 |
| Penetration ratio/% | ≮60 | 82 | T0604 | |
| Residual ductility (15 °C)/cm | ≮20 | 36 | T0605 | |
| No. | Gradations | Asphalt | Additive | Content/% | OAC/% | VMA | VFA/% | VV/% |
|---|---|---|---|---|---|---|---|---|
| A0 | SMA-13 | SBS modified asphalt | Lignin fiber | 0.3 | 6.1 | 17.06 | 76.03 | 4.09 |
| A1 | SMA-13 | SBS modified asphalt | Basalt fiber (6 mm) | 0.3 | 6.0 | 16.83 | 75.94 | 4.05 |
| B0 | SUP-20 | SBS modified asphalt | / | / | 4.3 | 13.41 | 70.09 | 4.01 |
| B1 | SUP-20 | SBS modified asphalt | Basalt fiber (9 mm) | 0.3 | 4.5 | 13.47 | 69.86 | 4.06 |
| C0 | SUP-25 | Pure asphalt | / | / | 4.2 | 12.25 | 66.85 | 4.06 |
| C1 | SUP-25 | SBS modified asphalt | / | / | 4.2 | 12.22 | 66.94 | 4.04 |
| C2 | SUP-25 | SBS modified asphalt | Basalt fiber (12 mm) | 0.4 | 4.4 | 12.36 | 67.23 | 4.05 |
| Types of Asphalt Mixture | Semilog Fatigue Equation | R2 |
|---|---|---|
| A0 | 0.9810 | |
| A1 | 0.9920 | |
| B0 | 0.9993 | |
| B1 | 0.9999 | |
| C0 | 0.9661 | |
| C1 | 0.9998 | |
| C2 | 0.9979 |
| Gradations | Stiffness Modulus/MPa | 50% Stiffness Modulus/MPa | Nf, 50 | Stiffness Modulus of the Critical Point/MPa | Ntf | Percent/% |
|---|---|---|---|---|---|---|
| SMA-13 SBS | 4363.32 | 2181.66 | 560,180 | 1140.53 | 604,333 | 26 |
| SMA-13 SBS BF | 4917.05 | 2458.50 | 179,880 | 684.80 | 1,124,890 | 14 |
| SUP-20 SBS | 2980.44 | 1490.22 | 34,400 | 568.43 | 49,100 | 19 |
| SUP-20 SBS BF | 3648.8 | 1824.4 | 99,740 | 584.27 | 154,880 | 16 |
Publisher’s Note: MDPI stays neutral with regard to jurisdictional claims in published maps and institutional affiliations. |
© 2021 by the authors. Licensee MDPI, Basel, Switzerland. This article is an open access article distributed under the terms and conditions of the Creative Commons Attribution (CC BY) license (https://creativecommons.org/licenses/by/4.0/).
Share and Cite
Lou, K.; Wu, X.; Xiao, P.; Zhang, C. Investigation on Fatigue Performance of Asphalt Mixture Reinforced by Basalt Fiber. Materials 2021, 14, 5596. https://doi.org/10.3390/ma14195596
Lou K, Wu X, Xiao P, Zhang C. Investigation on Fatigue Performance of Asphalt Mixture Reinforced by Basalt Fiber. Materials. 2021; 14(19):5596. https://doi.org/10.3390/ma14195596
Chicago/Turabian StyleLou, Keke, Xing Wu, Peng Xiao, and Cong Zhang. 2021. "Investigation on Fatigue Performance of Asphalt Mixture Reinforced by Basalt Fiber" Materials 14, no. 19: 5596. https://doi.org/10.3390/ma14195596
APA StyleLou, K., Wu, X., Xiao, P., & Zhang, C. (2021). Investigation on Fatigue Performance of Asphalt Mixture Reinforced by Basalt Fiber. Materials, 14(19), 5596. https://doi.org/10.3390/ma14195596
