Cobalt Content Effect on the Magnetic Properties of Ni50-xCoxMn35.5In14.5 Annealed Ribbons
Abstract
1. Introduction
2. Materials and Methods
3. Results and Discussion
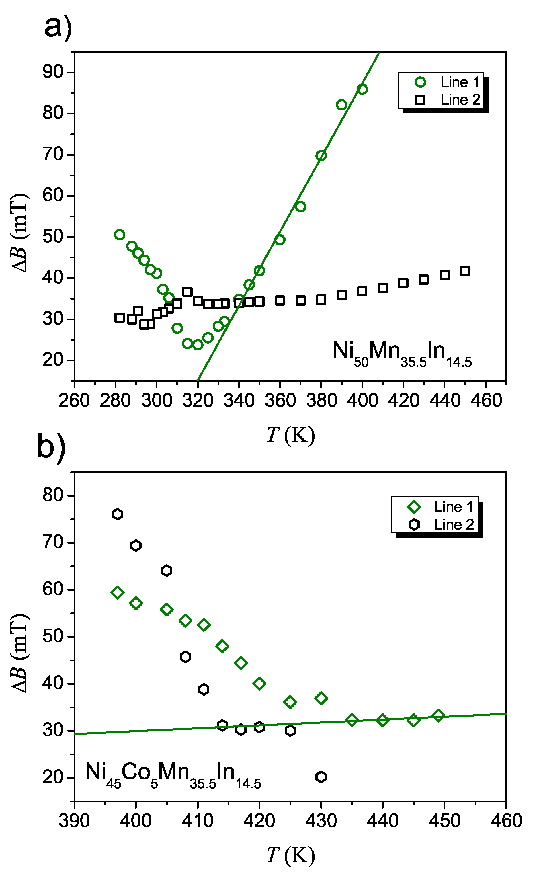
3.1. Morphology and Composition
3.2. Magnetic Properties
4. Conclusions
- The EMR and VSM results confirm that the annealing process shifts the magnetic phase transition characteristic temperatures. Furthermore, VSM measurement shows the existence of an additional magnetic phase transition below .
- Comparing the EMR spectra for as-cast ribbons, published in our prior works, with results for annealed ribbons presented in this work we observe changes. The annealing caused the existence of an addition line in the paramagnetic regime for NC0MI and NC5MI samples.
- The differences in the Curie temperature determined by two methods (VSM and EMR) for the annealed NC3MI sample suggest that it is magnetically inhomogeneous, i.e., the subsurface layers have different magnetic properties than the interior of the sample.
- The scanning electron microscopy results show that the annealing process modifies the morphology of the samples with cobalt content. For ribbon without cobalt, the changes are not observed.
- The EMR spectra for all ribbons, registered below Curie temperature, contain the LFMA signal. During the cooling process, the LFMA signal changes its phase to the opposite of the main EMR signal.
Author Contributions
Funding
Institutional Review Board Statement
Informed Consent Statement
Data Availability Statement
Acknowledgments
Conflicts of Interest
References
- Ito, W.; Nagasako, M.; Umetsu, R.Y.; Kainuma, R.; Kanomata, T.; Ishida, K. Atomic ordering and magnetic properties in the Ni45Co5Mn36.7In13.3 metamagnetic shape memory alloy. Appl. Phys. Lett. 2008, 93, 232503. [Google Scholar] [CrossRef]
- Maziarz, W. SEM and TEM studies of magnetic shape memory NiCoMnIn melt spun ribbons. Solid State Phenom. 2012, 186, 251–254. [Google Scholar] [CrossRef]
- Ju, J.; Hu, L.; Bao, C.; Shuai, L.; Yan, C.; Wang, Z. Microstructure and Magnetic Field-Induced Strain of a Ni-Mn-Ga-Co-Gd High-Entropy Alloy. Materials 2021, 14, 2514. [Google Scholar] [CrossRef]
- Umetsu, R.; Yasumura, H.; Narumi, Y.; Kotani, Y.; Nakamura, T.; Nojiri, H.; Kainuma, R. Soft X-ray absorption spectroscopy and magnetic circular dichroism under pulsed high magnetic field of Ni-Co-Mn-In metamagnetic shape memory alloy. J. Alloys Compd. 2022, 890, 161590. [Google Scholar] [CrossRef]
- González-Legarreta, L.; Sánchez, T.; Rosa, W.O.; García, J.; Serantes, D.; Caballero-Flores, R.; Prida, V.M.; Escoda, L.; Suñol, J.J.; Koledov, V.; et al. Annealing Influence on the Microstructure and Magnetic Properties of Ni–Mn–In Alloys Ribbons. J. Supercond. Nov. Magn. 2012, 25, 2431–2436. [Google Scholar] [CrossRef]
- Guo, J.; Zhong, M.; Zhou, W.; Zhang, Y.; Wu, Z.; Li, Y.; Zhang, J.; Liu, Y.; Yang, H. Grain Size Effect of the γ Phase Precipitation on Martensitic Transformation and Mechanical Properties of Ni–Mn–Sn–Fe Heusler Alloys. Materials 2021, 14, 2339. [Google Scholar] [CrossRef] [PubMed]
- Recarte, V.; Pérez-Landazábal, J.; Sánchez-Alarcos, V.; Rodríguez-Velamazán, J. Dependence of the martensitic transformation and magnetic transition on the atomic order in Ni–Mn–In metamagnetic shape memory alloys. Acta Mater. 2012, 60, 1937–1945. [Google Scholar] [CrossRef]
- Sánchez-Alarcos, V.; Recarte, V.; Pérez-Landazábal, J.; Gómez-Polo, C.; Rodríguez-Velamazán, J. Role of magnetism on the martensitic transformation in Ni–Mn-based magnetic shape memory alloys. Acta Mater. 2012, 60, 459–468. [Google Scholar] [CrossRef]
- Sánchez, T.; Turtelli, R.S.; Grössinger, R.; Sánchez, M.; Santos, J.; Rosa, W.D.O.D.; Prida, V.; Escoda, L.; Suñol, J.; Koledov, V.; et al. Exchange bias behavior in Ni50.0Mn35.5In14.5 ribbons annealed at different temperatures. J. Magn. Magn. Mater. 2012, 324, 3535–3537. [Google Scholar] [CrossRef]
- Wang, D.; Peng, K.; Gu, B.; Han, Z.; Tang, S.; Qin, W.; Du, Y. Influence of annealing on the magnetic entropy changes in Fe81.6Mo4Zr3.3Nb3.3B6.8Cu1 amorphous ribbons. J. Alloys Compd. 2003, 358, 312–315. [Google Scholar] [CrossRef]
- Xuan, H.C.; Xie, K.X.; Wang, D.H.; Han, Z.D.; Zhang, C.L.; Gu, B.X.; Du, Y.W. Effect of annealing on the martensitic transformation and magnetocaloric effect in Ni44.1Mn44.2Sn11.7 ribbons. Appl. Phys. Lett. 2008, 92, 242506. [Google Scholar] [CrossRef]
- Şaşıoğlu, E.; Sandratskii, L.M.; Bruno, P. First-principles calculation of the intersublattice exchange interactions and Curie temperatures of the full Heusler alloys Ni2MnX (X = Ga, In, Sn, Sb). Phys. Rev. B 2004, 70, 024427. [Google Scholar] [CrossRef]
- Miyamoto, T.; Ito, W.; Umetsu, R.Y.; Kainuma, R.; Kanomata, T.; Ishida, K. Phase stability and magnetic properties of Ni50Mn50-xInx Heusler-type alloys. Scr. Mater. 2010, 62, 151–154. [Google Scholar] [CrossRef]
- Çakır, A.; Acet, M.; Farle, M. Shell-ferromagnetism of nano-Heuslers generated by segregation under magnetic field. Sci. Rep. 2016, 6, 28931. [Google Scholar] [CrossRef] [PubMed]
- Çakır, A.; Acet, M.; Wiedwald, U.; Krenke, T.; Farle, M. Shell-ferromagnetic precipitation in martensitic off-stoichiometric Ni-Mn-In Heusler alloys produced by temper-annealing under magnetic field. Acta Mater. 2017, 127, 117–123. [Google Scholar] [CrossRef]
- Schlagel, D.; McCallum, R.; Lograsso, T. Influence of solidification microstructure on the magnetic properties of Ni–Mn–Sn Heusler alloys. J. Alloys Compd. 2008, 463, 38–46. [Google Scholar] [CrossRef]
- Yuhasz, W.; Schlagel, D.; Xing, Q.; McCallum, R.; Lograsso, T. Metastability of ferromagnetic Ni–Mn–Sn Heusler alloys. J. Alloys Compd. 2010, 492, 681–684. [Google Scholar] [CrossRef]
- Ma, S.C.; Wang, D.H.; Zhong, Z.C.; Luo, J.M.; Xu, J.L.; Du, Y.W. Peculiarity of magnetoresistance in high pressure annealed Ni43Mn41Co5Sn11 alloy. Appl. Phys. Lett. 2013, 102, 032407. [Google Scholar] [CrossRef]
- Chen, F.; Huang, Q.; Jiang, Z.; Xuan, H.; Zhang, M.; Xu, X.; Zhao, J. Large magnetoresistance in highly textured Mn44.7Ni43.5Sn11.8 melt spun ribbons. Smart Mater. Struct. 2016, 25, 055031. [Google Scholar] [CrossRef]
- Dubiel, Ł.; Stefaniuk, I.; Wal, A.; Żywczak, A.; Dziedzic, A.; Maziarz, W. Magnetic and structural phase transition in Ni50Mn35.5In14.5 ribbon. J. Magn. Magn. Mater. 2019, 485, 21–26. [Google Scholar] [CrossRef]
- Dubiel, Ł.; Żywczak, A.; Maziarz, W.; Stefaniuk, I.; Wal, A. Magnetic phase transition and exchange bias in Ni45Co5Mn35.5In14.5 Heusler alloy. Appl. Magn. Reson. 2019, 50, 809–818. [Google Scholar] [CrossRef]
- Łukasz, D.; Wal, A.; Stefaniuk, I.; Żywczak, A.; Maziarz, W. Electron magnetic resonance study of the Ni47Co3Mn35.5In14.5 ribbons. J. Magn. Magn. Mater. 2021, 530, 167930. [Google Scholar] [CrossRef]
- Guha, S.; Datta, S.; Panda, S.K.; Kar, M. Room temperature magneto-caloric effect and electron transport properties study on Ni2.14Mn0.55Sb1.31 alloy. J. Alloys Compd. 2020, 843, 156033. [Google Scholar] [CrossRef]
- Łukasz, D.; Stefaniuk, I.; Wal, A.; Kuźma, M. Effect of annealing on the magnetic ordering and electron magnetic resonance of melt-spun Ni-Mn-In ribbons. J. Magn. Magn. Mater. 2020, 504, 166638. [Google Scholar] [CrossRef]
- Kittel, C. On the Theory of Ferromagnetic Resonance Absorption. Phys. Rev. 1948, 73, 155–161. [Google Scholar] [CrossRef]
- Valenzuela, R.; Alvarez, G.; Montiel, H.; Gutiérrez, M.P.; Mata-Zamora, M.E.; Barrón, F.; Sánchez, A.Y.; Betancourt, I.; Zamorano, R. Characterization of magnetic materials by low-field microwave absorption techniques. J. Magn. Magn. Mater. 2008, 320, 1961–1965. [Google Scholar] [CrossRef]
- Alvarez, G.; Montiel, H.; Barron, J.F.; Gutierrez, M.P.; Zamorano, R. Yafet-Kittel-type magnetic ordering in Ni0.35Zn0.65Fe2O4 ferrite detected by magnetosensitive microwave absorption measurements. J. Magn. Magn. Mater. 2010, 322, 348–352. [Google Scholar] [CrossRef]
- Lee, J.; Kim, J.; Kim, K.H. Effect of the magnetization process on low-field microwave absorption by FeBN magnetic thin film. Phys. Status Solidi A Appl. Mater. Sci. 2014, 211, 1900–1902. [Google Scholar] [CrossRef]
- Montiel, H.; Alvarez, G.; Conde-Gallardo, A.; Zamorano, R. Microwave absorption behavior in Cr2O3 nanopowders. J. Alloys Compd. 2015, 628, 272–276. [Google Scholar] [CrossRef]
- Yahya, M.; Hosni, F.; M’Nif, A.; Hamzaoui, A.H. ESR studies of transition from ferromagnetism to superparamagnetism in nano-ferromagnet La0.8Sr0.2MnO3. J. Magn. Magn. Mater. 2018, 466, 341–350. [Google Scholar] [CrossRef]
- Demishev, S. Electron Spin Resonance in Strongly Correlated Metals. Appl. Magn. Reson. 2020, 51, 473–522. [Google Scholar] [CrossRef]
- Barnes, S. Theory of electron spin resonance of magnetic ions in metals. Adv. Phys. 1981, 30, 801–938. [Google Scholar] [CrossRef]
- Kaczmarska, K.; Pierre, J. Influence of transition metals on magnetic properties of GdT2X2. J. Alloys Compd. 1997, 262–263, 248–252. [Google Scholar] [CrossRef]
- Deisenhofer, J.; von Nidda, H.A.K.; Loidl, A.; Sampathkumaran, E. ESR investigation of the spin dynamics in (Gd1-xYx)2PdSi3. Solid State Commun. 2003, 125, 327–331. [Google Scholar] [CrossRef][Green Version]
- Schaile, S.; von Nidda, H.A.K.; Deisenhofer, J.; Loidl, A.; Nakajima, T.; Ueda, Y. Korringa-like relaxation in the high-temperature phase of A-site ordered YBaMn2O6. Phys. Rev. B 2012, 85, 205121. [Google Scholar] [CrossRef]





| Label | T (K) | M (kA/m) | (kA/m) |
|---|---|---|---|
| NC0MI | 300 | 147 | 26 |
| 100 | 608 | 157 | |
| NC3MI | 350 | 330 | 242 |
| 300 | 553 | 416 | |
| 100 | 879 | 694 |
| Label | Composition | (K) | a (mT) | b (mT/K) |
|---|---|---|---|---|
| NC0MI | 300 | −260 | 0.87 | |
| [24] * | 298 | −220 | 0.8 | |
| NC3MI | 421 | - | - | |
| [22] ** | 340 | −244 | 0.77 | |
| NC5MI | 414 | −9 | 0.1 |
Publisher’s Note: MDPI stays neutral with regard to jurisdictional claims in published maps and institutional affiliations. |
© 2021 by the authors. Licensee MDPI, Basel, Switzerland. This article is an open access article distributed under the terms and conditions of the Creative Commons Attribution (CC BY) license (https://creativecommons.org/licenses/by/4.0/).
Share and Cite
Dubiel, Ł.; Wal, A.; Stefaniuk, I.; Żywczak, A.; Potera, P.; Maziarz, W. Cobalt Content Effect on the Magnetic Properties of Ni50-xCoxMn35.5In14.5 Annealed Ribbons. Materials 2021, 14, 5497. https://doi.org/10.3390/ma14195497
Dubiel Ł, Wal A, Stefaniuk I, Żywczak A, Potera P, Maziarz W. Cobalt Content Effect on the Magnetic Properties of Ni50-xCoxMn35.5In14.5 Annealed Ribbons. Materials. 2021; 14(19):5497. https://doi.org/10.3390/ma14195497
Chicago/Turabian StyleDubiel, Łukasz, Andrzej Wal, Ireneusz Stefaniuk, Antoni Żywczak, Piotr Potera, and Wojciech Maziarz. 2021. "Cobalt Content Effect on the Magnetic Properties of Ni50-xCoxMn35.5In14.5 Annealed Ribbons" Materials 14, no. 19: 5497. https://doi.org/10.3390/ma14195497
APA StyleDubiel, Ł., Wal, A., Stefaniuk, I., Żywczak, A., Potera, P., & Maziarz, W. (2021). Cobalt Content Effect on the Magnetic Properties of Ni50-xCoxMn35.5In14.5 Annealed Ribbons. Materials, 14(19), 5497. https://doi.org/10.3390/ma14195497

