Flexural Behavior of Polyurethane Concrete Reinforced by Carbon Fiber Grid
Abstract
:1. Introduction
2. Materials and Methods
2.1. Preparation of Experiment Materials
2.1.1. Test Substrate and Reinforced Materials
- (1)
- PAPI: Polymethylene polyphenyl polyisocyanate (industrial grade), macromolecule, increased structural integrity, and flexibility.
- (2)
- Combined polyether: Produced by Shandong Yisheng Polyurethane Co., Ltd. (Zibo, China), the main ingredients are polyether polyol, silicone oil, epoxy catalyst EZ01, and a colorless transparent liquid at room temperature. The main material composition of the combined polyethers is shown in Figure 1, while the physical and chemical properties are shown in Table 1.
- (3)
- (4)
- Cement: Portland cement (average particle size = 1.455 µm), produced by Yatai Group Harbin Cement Co, Ltd. (Harbin, China). According to the T0502-2005 cement fineness test method, T0505-2020 cement setting time test method, and T0506-2005 cement mortar strength test method (ISO method) in “Testing Methods of Cement and Concrete for Highway Engineering” (JTG 3420-2020) [24]. Under the condition of 20 ± 2 °C in the laboratory, the physical indicators of cement were tested. Three samples were taken for each test indicator; the final result is the arithmetic average of the three samples. The physical and mechanical properties of cement are shown in Table 3.
- (5)
- Reinforced material: There are three kinds of reinforced materials in this test: carbon fiber grid, steel-strand grid, and steel-wire grid. The carbon fiber grid is woven from multiple 24 K carbon fiber bundles. In the 24 K fiber type, each fiber bundle includes 24,000 carbon fiber precursors. The carbon fiber precursors used in this experiment were polyacrylonitrile-based carbon fiber precursors. The reinforced materials are shown in Figure 2. The technical parameters of reinforced materials are shown in Table 4.
2.1.2. Design Ideas
2.1.3. Preparation of Bending Specimens of Polyurethane Concrete Beams
- (1)
- Fabric cutting: Cut the carbon fiber grid, steel-strand grid, and steel-wire grid required for the experiment into suitable sizes.
- (2)
- Reinforced material handling: Fix both ends of the carbon fiber grid, steel-strand grid, and steel-wire grid on the iron fixed table. Prepare polyurethane solution, and the ratio of PAPI and combined polyether of polyurethane is 1:1. The polyurethane solution is fully mixed and evenly coated on the surface of the reinforced fabric by using a stirring rod. After the reinforced fabric is left standing for 5 min, prepare the bending specimens.
- (3)
- Polyurethane concrete configuration: First, dry the cement and aggregate at 100~110 °C for 2 h (101-2a electrothermal blast drying oven) to completely remove the free water. Then, mix the dried aggregate and cement thoroughly with the combined polyether. Lastly, pour the PAPI into the well-mixed mixture, stir for 6 min, and prepare to pour specimens. During mixing, the laboratory temperature is 20 °C.
- (4)
- Specimens pouring: Fix the 100 × 100 × 400 mm mold on the vibrating equipment and pour it in batches. Pour the mixed polyurethane concrete and use a steel ruler to calibrate the thickness of the pouring. After full and uniform vibration, a layer of treated reinforced material is laid on the surface. Then, pour the remaining polyurethane concrete into the mold, cover the surface of the fabric, and continue vibration. After the vibration is completed, the mold is removed from the vibration equipment, and the test is performed after curing for 24 h. The configuration process is shown in Figure 6.
2.2. Testing Method
3. Results and Discussion
3.1. Destruction Form of the Bonding Interface
3.2. Analysis of Mechanical Properties of Experiment Material
3.2.1. The Effect of Reinforced Materials on the Flexural Performance
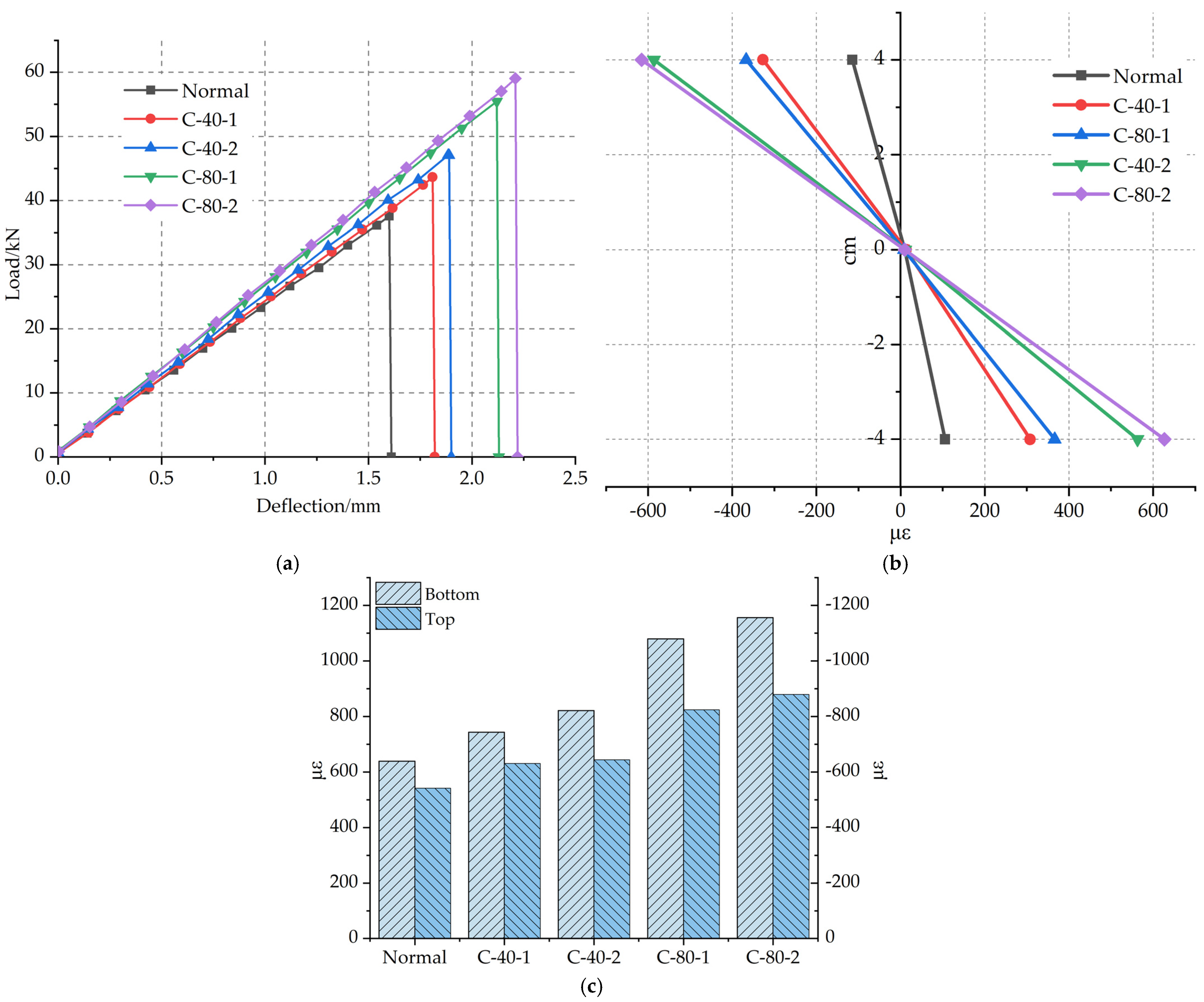
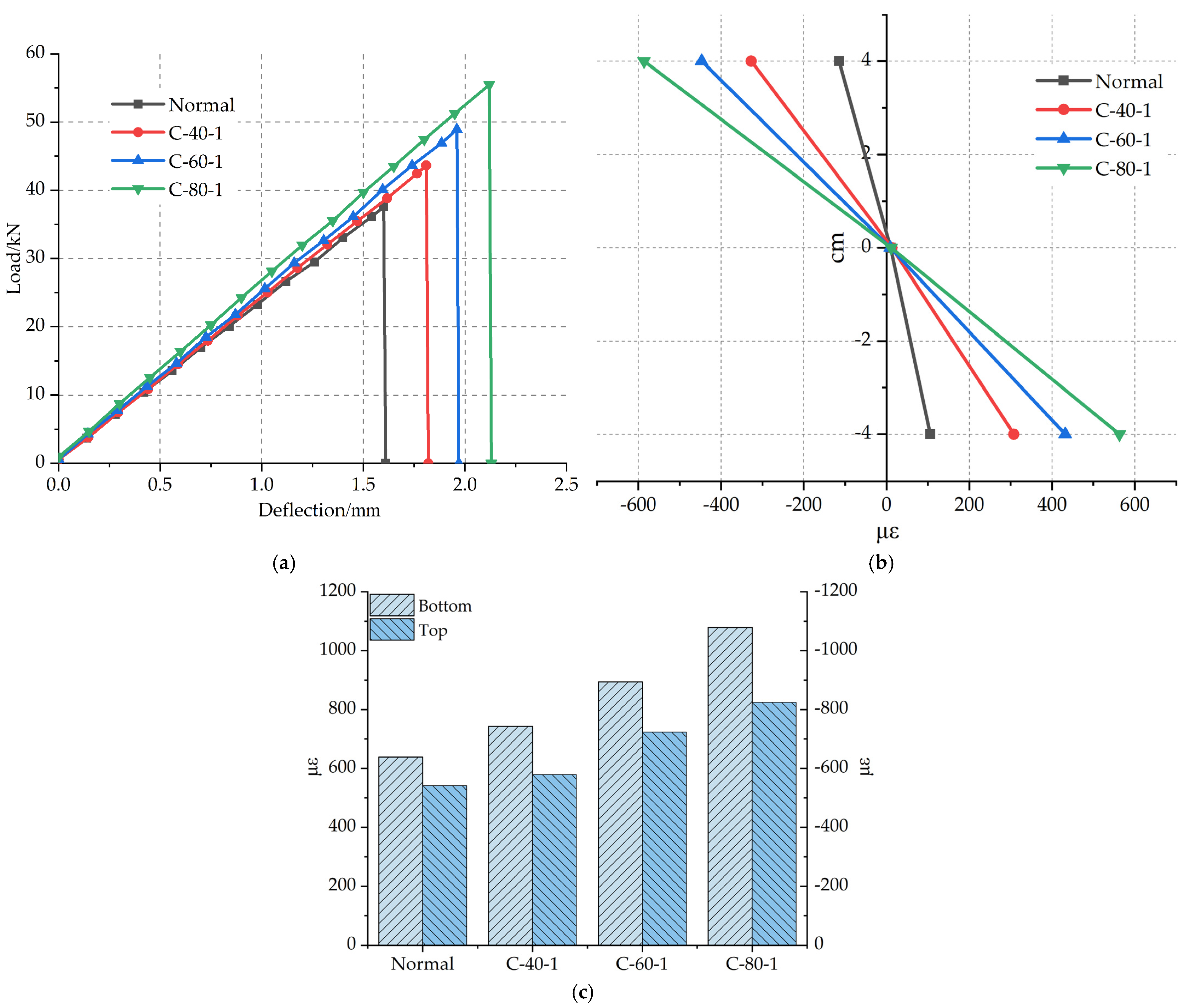
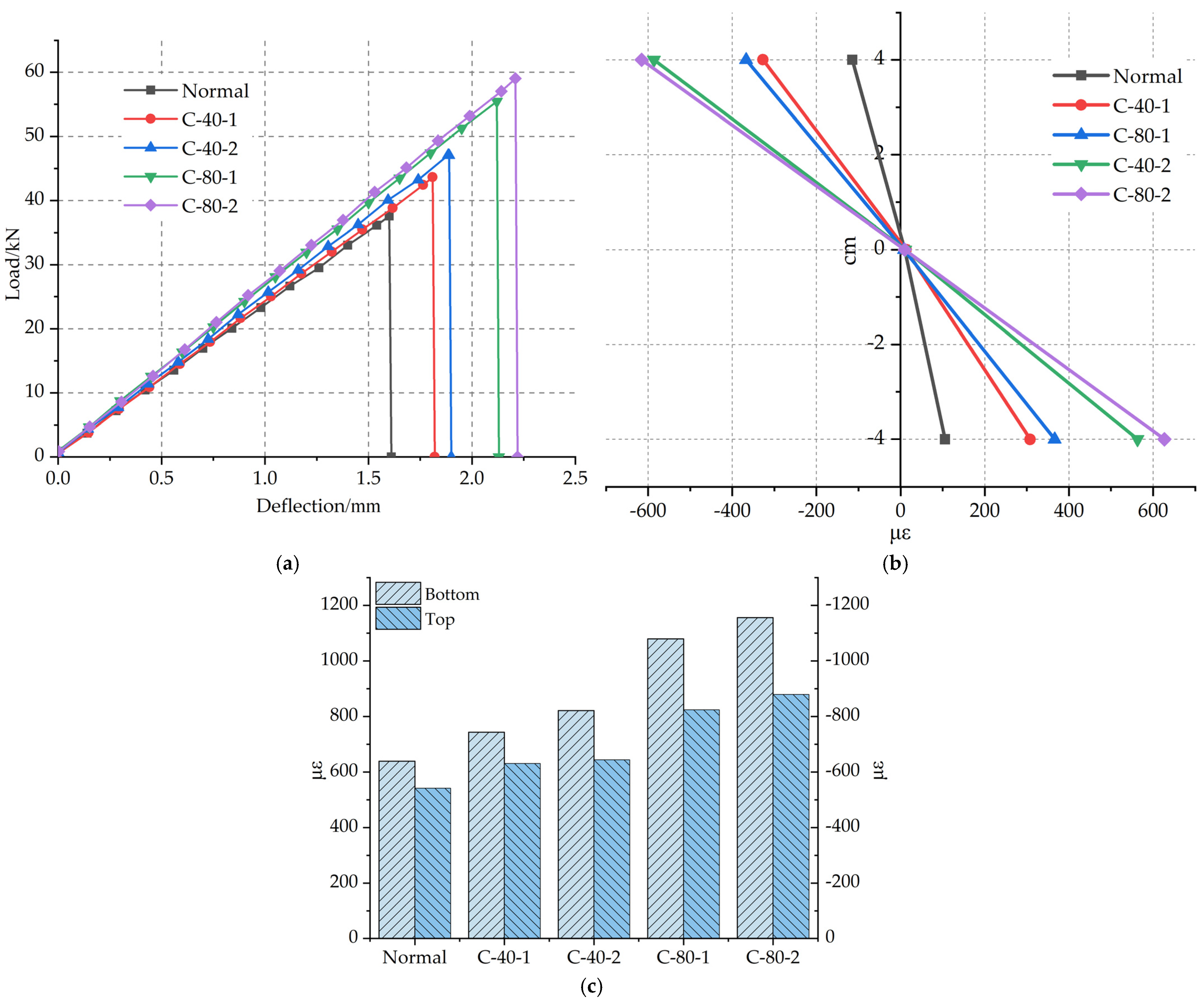
3.2.2. The Effect of Reinforced Material Width on the Flexural Performance
3.2.3. The Influence of Numbers of Layers of Reinforced Material on the Flexural Performance
3.2.4. Influence of the Grid Density of the Reinforced Material on the Flexural Performance
3.2.5. Ductility Test
4. Conclusions
- (1)
- The reinforcement of carbon fiber grid on the flexural performance of polyurethane concrete is better than that of the steel-wire grid and steel-strand grid. The flexural strength of polyurethane concrete was reduced by laying of steel-wire grid. Compared with the Normal specimen, the flexural strength of the specimens reinforced by the carbon fiber grid and steel-strand grid increased by 47.7 and 13.3%, respectively.
- (2)
- The average ultimate load of the polyurethane concrete beam reinforced by the carbon fiber grid increased by 47.3% compared with that of the Normal specimen. The average failure strain of polyurethane concrete beam reinforced by the carbon fiber grid increased by 68.9% compared with that of the Normal specimen.
- (3)
- The best reinforcement layer of carbon fiber grid for strengthening the flexural capacity of polyurethane concrete is one layer, and the best reinforcement width is 80 mm. The number of longitudinal carbon fiber strips plays a significant role.
- (4)
- The density of the carbon fiber grid also affects the enhancement of flexural performance of polyurethane concrete. The optimal grid density is 20 × 20 mm, which shows better transverse force transmission than the other grid densities, and is more conducive to improving the flexural capacity of polyurethane concrete.
Author Contributions
Funding
Institutional Review Board Statement
Informed Consent Statement
Data Availability Statement
Conflicts of Interest
References
- Chattopadhyay, D.K.; Webster, D.C. Thermal stability and flame retardancy of polyurethanes. Prog. Polym. Sci. 2009, 34, 1068–1133. [Google Scholar] [CrossRef]
- Chattopadhyay, D.K.; Raju, K.V.S.N. Structural engineering of polyurethane coatings for high performance applications. Prog. Polym. Sci. 2007, 32, 352–418. [Google Scholar] [CrossRef]
- Zhang, K.X. Study on Reinforced Concrete T-beams Strengthened with a Composite of Prestressed Steel Wire Ropes Embedded in Polyu-Rethane Cement(PSWR-PUC). Doctor’s Thesis, Northeast Forestry University, Harbin, Heilongjiang, China, 2018. [Google Scholar]
- Gao, H.S.; Sun, Q.S. Study on Fatigue Test and Life Prediction of Polyurethane Cement Composite (PUC) under High or Low Temperature Conditions. Adv. Mater. Sci. Eng. 2020, 2020, 2398064. [Google Scholar] [CrossRef] [Green Version]
- Zhang, K.X.; Sun, Q.S. Research on mechanical properties of the high-toughness polyurethane-cement composite (PUC) materials. New Build. Mater. 2018, 45, 126–128. [Google Scholar] [CrossRef]
- Zhang, J.F.; Zhuang, B.Z.; Zhang, K.X. Experimental study to investigate mechanical properties pf polyurethane-cement composite. Low Temp. Archit. Technol. 2016, 38, 10–12. [Google Scholar] [CrossRef]
- Yang, N.; Sun, Q.S. Research on mechanical properties of composite material of Carbon Fiber Polyurethane Cement. Polyurethane Ind. 2019, 34, 35–38. [Google Scholar] [CrossRef]
- Zhang, K.X.; Sun, Q.S. The use of Wire Mesh-Polyurethane Cement (WM-PUC) composite to strengthen RC T-beams under flexure. J. Build. Eng. 2018, 15, 122–136. [Google Scholar] [CrossRef]
- Zhang, K.X.; Sun, Q.S. Experimental Study of Reinforced Concrete T-Beams Strengthened with a Composite of Prestressed Steel Wire Ropes Embedded in Polyurethane Cement (PSWR-PUC). Int. J. Civ. Eng. 2018, 16, 1109–1123. [Google Scholar] [CrossRef]
- Muresan, A.; Zwicky, D. Suitability Evaluation of Structural Analysis Approaches for Determining the Flexural Capacity of Reinforced Concrete Elements Strengthened with Textile-Reinforced Mortar. Struct. Eng. Int. 2020, 30, 545–550. [Google Scholar] [CrossRef]
- Zaman, A.; Gutub, S.A.; Wafa, M.A. A review on FRP composites applications and durability concerns in the construction sector. J. Reinf. Plast. Comp. 2013, 32, 1966–1988. [Google Scholar] [CrossRef]
- Meier, U. Strengthening of structures using carbon fibre/epoxy composites. Constr. Build. Mater. 1995, 9, 341–351. [Google Scholar] [CrossRef]
- Bakis, C.E.; Bank, L.C.; Brown, V.L.; Cosenza, E.; Davalos, J.F.; Lesko, J.J.; Triantafillou, T.C. Fiber-Reinforced Polymer Composites for Construction—State-of-the-Art Review. J. Compos. Constr. 2002, 6, 73–88. [Google Scholar] [CrossRef] [Green Version]
- Pendhari, S.S.; Kant, T.; Desai, Y.M. Application of polymer composites in civil construction: A general review. Compos. Struct. 2008, 84, 114–124. [Google Scholar] [CrossRef]
- Bank, L.C. Progressive failure and ductility of FRP composites for construction: Review. J. Compos. Constr. 2013, 17, 406–419. [Google Scholar] [CrossRef]
- Al-Jelawy, H.M.; Mackie, K.R. Flexural Behavior of Concrete Beams Strengthened with Polyurethane-Matrix Carbon-Fiber Composites. J. Compos. Constr. 2020, 24. [Google Scholar] [CrossRef]
- Mercedes, L.; Bernat-Maso, E.; Gil, L. Flexural failure of fabric reinforced cementitious mortar (FRCM) plates under punctual loads: Experimental test, analytical approach and numerical simulation. Constr. Build. Mater. 2021, 272, 121651. [Google Scholar] [CrossRef]
- Loreto, G.; Leardini, L.; Arboleda, D.; Nanni, A. Performance of RC Slab-Type Elements Strengthened with Fabric-Reinforced Cementitious-Matrix Composites. J. Compos. Constr. 2014, 18, A4013003. [Google Scholar] [CrossRef]
- Escrig, C.; Gil, L.; Bernat-Maso, E. Experimental comparison of reinforced concrete beams strengthened against bending with different types of cementitious-matrix composite materials. Constr. Build. Mater. 2017, 137, 317–329. [Google Scholar] [CrossRef]
- Xu, S.L.; Li, H. Study on self-compacting concrete of textile reinforced concrete. J. Build. Mater. 2006, 4, 481–483. [Google Scholar] [CrossRef]
- Li, H.; Xu, S.L. Development and optimization of cementitious matrices for textile reinforced concrete. J. Hydroelectr. Eng. 2006, 25, 72–76. [Google Scholar] [CrossRef]
- Jia, D.Z.; Bao, W.H.; Jia, Z.; Sun, Q.S. Preparation and photo-responsive behavior of reversible photochromic polyurethane cement composites. Appl. Phys. A–Mater. Sci. Process. 2020, 126, 373. [Google Scholar] [CrossRef]
- Jia, Z.; Jia, D.; Sun, Q.; Wang, Y.; Ding, H. Preparation and Mechanical-Fatigue Properties of Elastic Polyurethane Concrete Composites. Materials 2021, 14, 3839. [Google Scholar] [CrossRef]
- China, M.T.P.R. Testing Methods of Cement and Concrete for Highway Engineering; Ministry of Transport of the People’s Republic of China: Beijing, China, 2020. [Google Scholar]
- Chaboki, H.R.; Ghalehnovi, M.; Karimipour, A.; de Brito, J.; Khatibinia, M. Shear behaviour of concrete beams with recycled aggregate and steel fibres. Constr. Build. Mater. 2019, 204, 809–827. [Google Scholar] [CrossRef]
- Ghalehnovi, M.; Karimipour, A.; Anvari, A.; de Brito, J. Flexural strength enhancement of recycled aggregate concrete beams with steel fibre-reinforced concrete jacket. Eng. Struct. 2021, 240, 18. [Google Scholar] [CrossRef]
- Karimipour, A.; Ghalehnovi, M. Comparison of the effect of the steel and polypropylene fibres on the flexural behaviour of recycled aggregate concrete beams. Structures 2021, 29, 129–146. [Google Scholar] [CrossRef]
- Karimipour, A.; Rakhshanimehr, M.; Ghalehnovi, M.; de Brito, J. Effect of different fibre types on the structural performance of recycled aggregate concrete beams with spliced bars. J. Build. Eng. 2021, 38, 18. [Google Scholar] [CrossRef]
- Chaboki, H.R.; Ghalehnovi, M.; Karimipour, A.; de Brito, J. Experimental study on the flexural behaviour and ductility ratio of steel fibres coarse recycled aggregate concrete beams. Constr. Build. Mater. 2018, 186, 400–422. [Google Scholar] [CrossRef]
- Hu, S.K. Study on Preparation Structure and Properties of High Heat-Resistance Thermoplastic Polyurethane Elastomer. Doctor’s Thesis, Beijing University of Chemical Technology, Beijing, China, 2020. [Google Scholar]
- Aljazaeri, Z.; Alghazali, H.H.; Myers, J.J. Effectiveness of Using Carbon Fiber Grid Systems in Reinforced Two-Way Concrete Slab System. ACI Struct. J. 2020, 117, 81–89. [Google Scholar] [CrossRef]
- Uzay, C.; Geren, N. Effect of stainless-steel wire mesh embedded into fibre-reinforced polymer facings on flexural characteristics of sandwich structures. J. Reinf. Plast. Comp. 2020, 39, 613–633. [Google Scholar] [CrossRef]
- He, F.; Wu, B.; Xu, X.H.; Luo, S.G.; Yan, D.D. Preparation and Flexural Behavior of Concrete Beam Strengthened Using Carbon Fiber Grid. J. Tianjin Univ. (Sci. Technol.) 2020, 53, 1197–1203. [Google Scholar]
- Kang, S.; Chai, C.; Hong, S. Evaluation of Carbon Fiber Grid Reinforced Concrete Panel for Disaster Response and Improved Seismic Performance. Appl. Sci. 2021, 11, 5223. [Google Scholar] [CrossRef]
- Halvaei, M.; Jamshidi, M.; Latifi, M.; Ejtemaei, M. Experimental investigation and modelling of flexural properties of carbon textile reinforced concrete. Constr. Build. Mater. 2020, 262, 12. [Google Scholar] [CrossRef]
- Cohn, M.Z.; Bartlett, M. Computer-Simulated Flexural Tests of Partially Prestressed Concrete Sections. J. Struct. Div. 1982, 108, 2747–2765. [Google Scholar] [CrossRef]


















| NO. | Category | Index |
|---|---|---|
| 1 | Appearance | Colorless Transparent Liquid |
| 2 | Viscosity (25 °C) (mPa·s) | 200–1500 |
| 3 | Hydroxyl value (mg KOH/g) | 30.5–32.0 |
| 4 | Density (25 °C) (g/cm3) | 1.11 ± 0.20 |
| Mesh Size (mm) | 9.5 | 4.75 | 2.36 | 1.18 | 0.6 | 0.3 | 0.15 | 0.075 | Mineral Powder |
|---|---|---|---|---|---|---|---|---|---|
| Percentage Through Sieve | 95% | 60% | 44.0% | 32.0% | 22.5% | 16.0% | 11.0% | 6.0% | — |
| Aggregate Mass (per 1000 g) | 50.0 | 380.0 | 319.2 | 170.5 | 62.2 | 15.2 | 2.6 | 0.3 | 0.02 |
| Flexural Strength | Compressive Strength | Setting Time | Fineness | |||
|---|---|---|---|---|---|---|
| 3 Days | 28 Days | 3 Days | 28 Days | Initial Setting Time | Final Setting Time | |
| 4.6 MPa | 10.5 MPa | 24.6 MPa | 55.6 MPa | 240 min | 276 min | 1.8% |
| Reinforced Materials | Ultimate Breaking Load | Design Tensile Strength | Elastic Modulus | Theoretical Cross-Sectional Area |
|---|---|---|---|---|
| Carbon fiber Grid | 3200 N | 3600 MPa | 240 kN·mm−2 | 44 mm2 |
| Steel-Strand Grid | 1800 N | 1596 MPa | 139 kN·mm−2 | 39.45 mm2 |
| Steel-Wire Grid | 680 N | 342 MPa | 180 kN·mm−2 | 20.31 mm2 |
| Average | Standard Deviation | Coefficient of Variation (%) | |
|---|---|---|---|
| Density (kg/m3) | 1762.2 | 15.3 | 0.866 |
| Compression Strength (MPa) | 59.9 | 1.0 | 1.743 |
| Tensile Strength (MPa) | 42.0 | 0.8 | 1.961 |
| Specimen Number | Reinforced Material | Number of Reinforcement Layers | Grid Width | Grid Density | Temperature |
|---|---|---|---|---|---|
| Normal | None | \ | \ | \ | 20 °C |
| Normal-60 °C | 60 °C | ||||
| Steel Wire | Steel-Wire Grid | 1 | 80 mm | \ | 20 °C |
| Steel Strand | Steel-Strand Grid | 1 | 80 mm | \ | |
| C-40-1 | Carbon fiber Grid | 1 | 40 mm | 20 × 20 mm | |
| C-60-1 | 60 mm | ||||
| C-80-1/C-20 × 20 | 80 mm | 20 °C | |||
| C-80-1-60 °C | 60 °C | ||||
| C-40 × 40 | 1 | 40 × 40 mm | 20 °C | ||
| C-60 × 40 | 60 × 40 mm | ||||
| C-80 × 40 | 80 × 40 mm | ||||
| C-40-2 | 2 | 40 mm | 20 × 20 mm | ||
| C-80-2 | 80 mm |
Publisher’s Note: MDPI stays neutral with regard to jurisdictional claims in published maps and institutional affiliations. |
© 2021 by the authors. Licensee MDPI, Basel, Switzerland. This article is an open access article distributed under the terms and conditions of the Creative Commons Attribution (CC BY) license (https://creativecommons.org/licenses/by/4.0/).
Share and Cite
Ding, H.; Sun, Q.; Wang, Y.; Jia, D.; Li, C.; Ji, C.; Feng, Y. Flexural Behavior of Polyurethane Concrete Reinforced by Carbon Fiber Grid. Materials 2021, 14, 5421. https://doi.org/10.3390/ma14185421
Ding H, Sun Q, Wang Y, Jia D, Li C, Ji C, Feng Y. Flexural Behavior of Polyurethane Concrete Reinforced by Carbon Fiber Grid. Materials. 2021; 14(18):5421. https://doi.org/10.3390/ma14185421
Chicago/Turabian StyleDing, Hongjian, Quansheng Sun, Yanqi Wang, Dongzhe Jia, Chunwei Li, Ce Ji, and Yuping Feng. 2021. "Flexural Behavior of Polyurethane Concrete Reinforced by Carbon Fiber Grid" Materials 14, no. 18: 5421. https://doi.org/10.3390/ma14185421
APA StyleDing, H., Sun, Q., Wang, Y., Jia, D., Li, C., Ji, C., & Feng, Y. (2021). Flexural Behavior of Polyurethane Concrete Reinforced by Carbon Fiber Grid. Materials, 14(18), 5421. https://doi.org/10.3390/ma14185421

