Critical Current Density and Vortex Dynamics in Pristine and Irradiated KCa2Fe4As4F2
Abstract
:1. Introduction
2. Experimental Methods
3. Experimental Results and Discussions
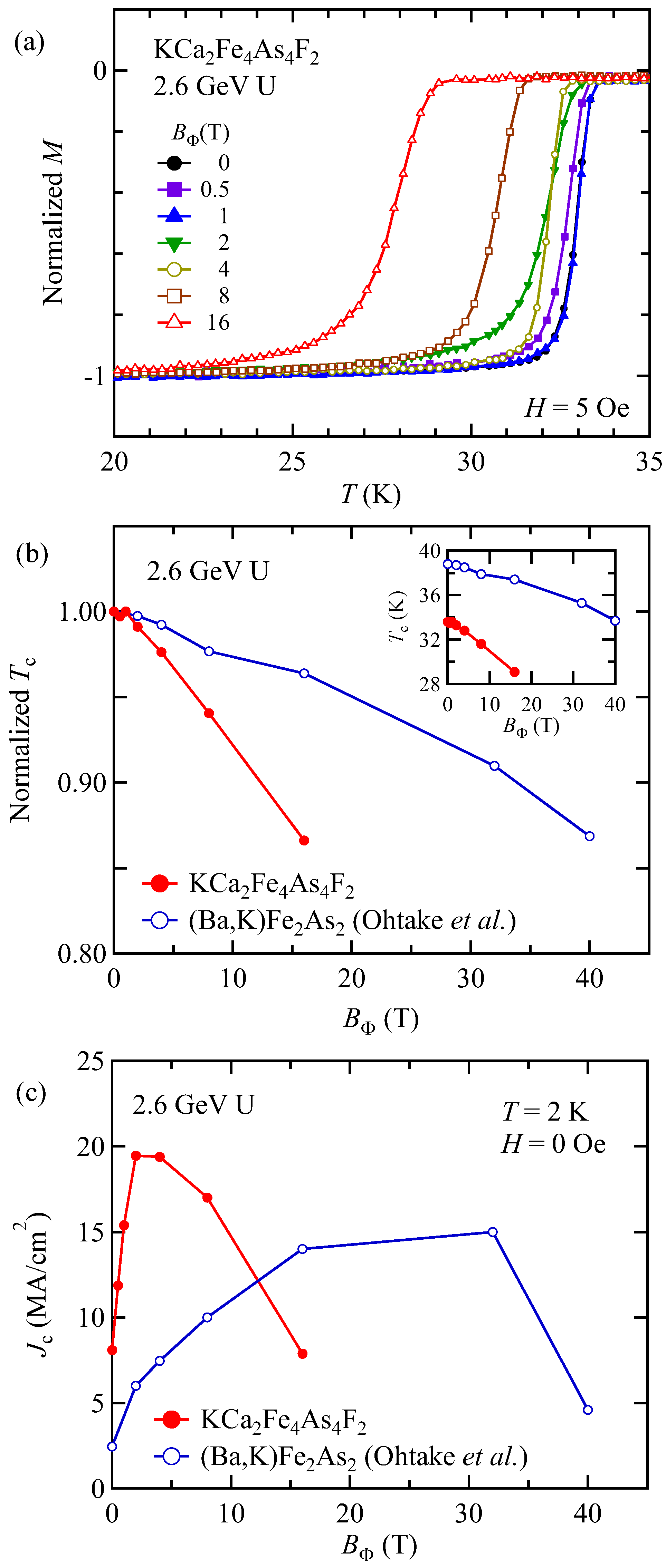
3.1. Effects of 2.6 GeV U and 3 MeV Proton Irradiations on Tc and Jc in KCa2Fe4As4F2
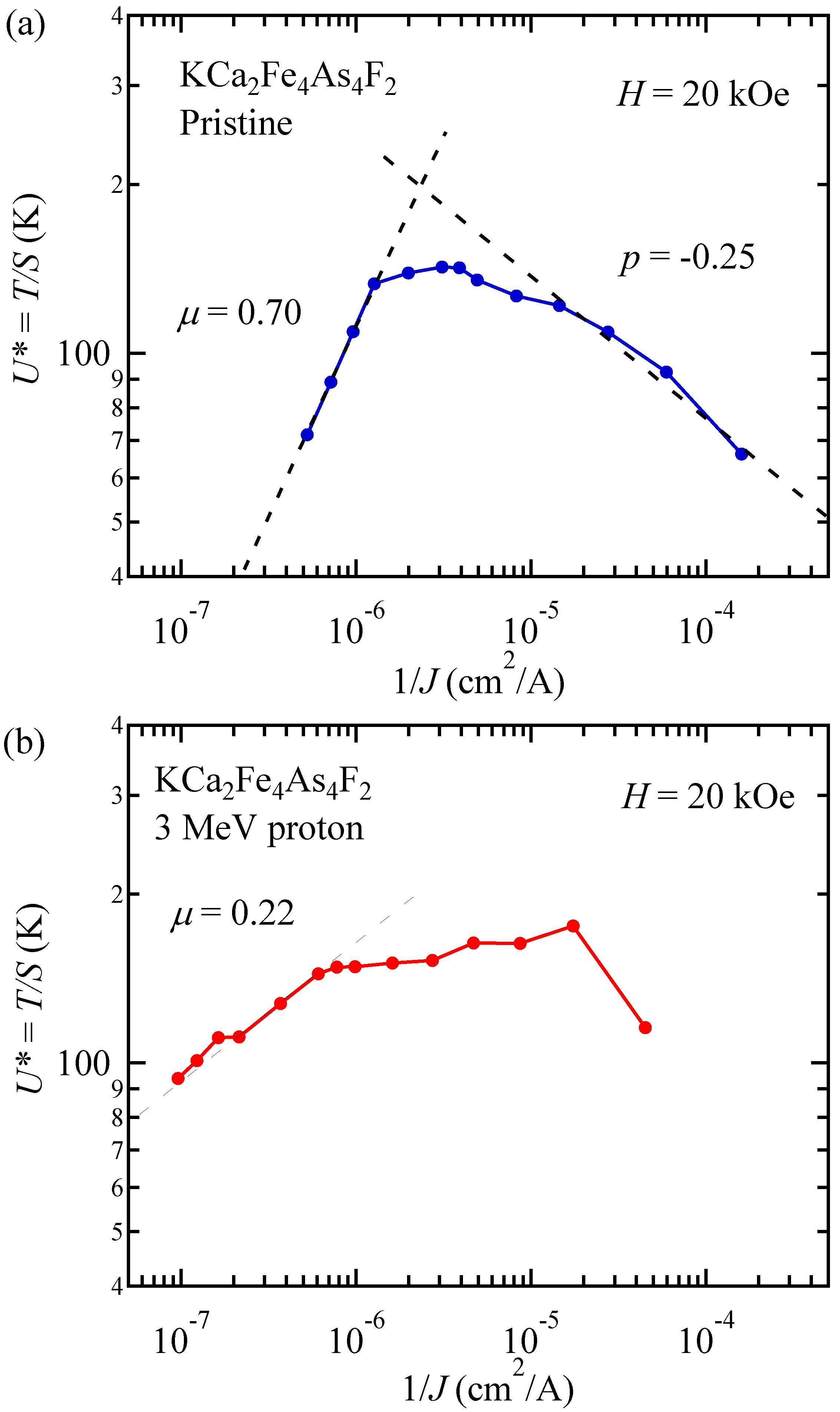
3.2. Vortex Dynamics in Pristine and Proton Irradiated KCa2Fe4As4F2
4. Summary
Author Contributions
Funding
Institutional Review Board Statement
Informed Consent Statement
Data Availability Statement
Acknowledgments
Conflicts of Interest
References
- Stewart, G.R. Superconductivity in iron compounds. Rev. Mod. Phys. 2011, 83, 1589–1652. [Google Scholar] [CrossRef]
- Rotter, M.; Tegel, M.; Johrendt, D. Superconductivity at 38 K in the Iron Arsenide Ba1−xKxFe2As2. Phys. Rev. Lett. 2008, 101, 107006. [Google Scholar] [CrossRef] [PubMed] [Green Version]
- Tsuei, C.C.; Kirtley, J.R. Pairing symmetry in cuprate superconductors. Rev. Mod. Phys. 2000, 72, 969–1016. [Google Scholar] [CrossRef]
- Tafuri, F.; Kirtley, J.R. Weak links in high critical temperature superconductors. Rep. Prog. Phys. 2000, 68, 2573–2663. [Google Scholar] [CrossRef]
- Wang, Z.C.; He, C.Y.; Wu, S.Q.; Tang, Z.T.; Liu, Y.; Ablimit, A.; Feng, C.M.; Cao, G.H. Superconductivity in KCa2Fe4As4F2 with Separate Double Fe2As2 Layers. J. Am. Chem. Soc. 2016, 138, 7856–7859. [Google Scholar] [CrossRef] [PubMed] [Green Version]
- Wang, Z.; He, C.; Tang, Z.; Wu, S.; Cao, G. Crystal structure and superconductivity at about 30 K in ACa2Fe4As4F2 (A = Rb, Cs). Sci. China Mater. 2017, 60, 83–89. [Google Scholar] [CrossRef]
- Wang, Z.C.; He, C.Y.; Wu, S.Q.; Tang, Z.T.; Liu, Y.; Ablimit, A.; Tao, Q.; Feng, C.M.; Xu, Z.A.; Cao, G.H. Superconductivity at 35 K by self doping in RbGd2Fe4As4O2. J. Phys. Condens. Matter 2017, 29, 11LT01. [Google Scholar] [CrossRef]
- Wang, Z.C.; He, C.Y.; Wu, S.Q.; Tang, Z.T.; Liu, Y.; Cao, G.H. Synthesis, Crystal Structure and Superconductivity in RbLn2Fe4As4O2 (Ln = Sm, Tb, Dy, and Ho). Chem. Mater. 2017, 29, 1805–1812. [Google Scholar] [CrossRef] [Green Version]
- Wu, S.Q.; Wang, Z.C.; He, C.Y.; Tang, Z.T.; Liu, Y.; Cao, G.H. Superconductivity at 33–37 K in ALn2Fe4As4O2 (A = K and Cs; Ln = lanthanides). Phys. Rev. Mater. 2017, 1, 044804. [Google Scholar] [CrossRef] [Green Version]
- Dong, X.; Jin, K.; Yuan, D.; Zhou, H.; Yuan, J.; Huang, Y.; Hua, W.; Sun, J.; Zheng, P.; Hu, W.; et al. (Li0.84Fe0.16)OHFe0.98Se superconductor: Ion-exchange synthesis of large single-crystal and highly two-dimensional electron properties. Phys. Rev. B 2015, 92, 064515. [Google Scholar] [CrossRef] [Green Version]
- Sun, S.; Wang, S.; Yu, R.; Lei, H. Extreme anisotropy and anomalous transport properties of heavily electron doped Lix(NH3)yFe2Se2 single crystals. Phys. Rev. B 2017, 96, 064512. [Google Scholar] [CrossRef] [Green Version]
- Wang, T.; Chu, J.; Jin, H.; Feng, J.; Wang, L.; Song, Y.; Zhang, C.; Xu, X.; Li, W.; Li, Z.; et al. Single-Crystal Growth and Extremely High Hc2 of 12442-Type Fe-Based Superconductor KCa2Fe4As4F2. J. Phys. Chem. C 2019, 123, 13925–13929. [Google Scholar] [CrossRef] [Green Version]
- Wang, Z.C.; Liu, Y.; Wu, S.Q.; Shao, Y.T.; Ren, Z.; Cao, G.H. Giant anisotropy in superconducting single crystals of CsCa2Fe4As4F2. Phys. Rev. B 2019, 99, 144501. [Google Scholar] [CrossRef] [Green Version]
- Yu, A.B.; Wang, T.; Wu, Y.F.; Huang, Z.; Xiao, H.; Mu, G.; Hu, T. Probing superconducting anisotropy of single crystal KCa2Fe4As4F2 by magnetic torque measurements. Phys. Rev. B 2019, 100, 144505. [Google Scholar] [CrossRef]
- Hong, W.; Song, L.; Liu, B.; Li, Z.; Zeng, Z.; Li, Y.; Wu, D.; Sui, Q.; Xie, T.; Danilkin, S.; et al. Neutron Spin Resonance in a Quasi-Two-Dimensional Iron-Based Superconductor. Phys. Rev. Lett. 2020, 125, 117002. [Google Scholar] [CrossRef]
- Pyon, S.; Kobayashi, Y.; Takahashi, A.; Li, W.; Wang, T.; Mu, G.; Ichinose, A.; Kambara, T.; Yoshida, A.; Tamegai, T. Anisotropic physical properties and large critical current density in KCa2Fe4As4F2 single crystal. Phys. Rev. Mater. 2020, 4, 104801. [Google Scholar] [CrossRef]
- Wang, T.; Zhang, C.; Xu, L.; Wang, J.; Jiang, S.; Zhu, Z.; Wang, Z.; Chu, J.; Feng, J.; Wang, L.; et al. Strong Pauli paramagnetic effect in the upper critical field of KCa2Fe4As4F2. Sci. China Phys. Mech. Astron. 2020, 63, 227412. [Google Scholar] [CrossRef] [Green Version]
- Civale, L.; Marwick, A.D.; Worthington, T.K.; Kirk, M.A.; Thompson, J.R.; Krusin-Elbaum, L.; Sun, Y.; Clem, J.R.; Holtzberg, F. Vortex confinement by columnar defects in YBa2Cu3O7 crystals: Enhanced pinning at high fields and temperatures. Phys. Rev. Lett. 1991, 67, 648–651. [Google Scholar] [CrossRef] [PubMed]
- Krusin-Elbaum, L.; Civale, L.; Thompson, J.R.; Feild, C. Accommodation of vortices to columnar defects: Evidence for large entropic reduction of vortex localization. Phys. Rev. B 1996, 53, 11744–11750. [Google Scholar] [CrossRef]
- Nakajima, Y.; Tsuchiya, Y.; Taen, T.; Tamegai, T.; Okayasu, S.; Sasase, M. Enhancement of critical current density in Co-doped BaFe2As2 with columnar defects introduced by heavy-ion irradiation. Phys. Rev. B 2009, 80, 012510. [Google Scholar] [CrossRef] [Green Version]
- Prozorov, R.; Tanatar, M.A.; Roy, B.; Ni, N.; Bud’ko, S.L.; Canfield, P.C.; Hua, J.; Welp, U.; Kwok, W.K. Magneto-optical study of Ba(Fe1−xMx)2As2 (M = Co and Ni) single crystals irradiated with heavy ions. Phys. Rev. B 2010, 81, 094509. [Google Scholar] [CrossRef] [Green Version]
- Tamegai, T.; Taen, T.; Yagyuda, H.; Tsuchiya, Y.; Mohan, S.; Taniguchi, T.; Nakajima, Y.; Okayasu, S.; Sasase, M.; Kitamura, H.; et al. Effects of particle irradiations on vortex states in iron-based superconductors. Supercond. Sci. Technol. 2012, 25, 084008. [Google Scholar] [CrossRef]
- Fang, L.; Jia, Y.; Chaparro, C.; Sheet, G.; Claus, H.; Kirk, M.A.; Koshelev, A.E.; Welp, U.; Crabtree, G.W.; Kwok, W.K.; et al. High, magnetic field independent critical currents in (Ba,K)Fe2As2 crystals. Appl. Phys. Lett. 2012, 101, 012601. [Google Scholar] [CrossRef]
- Taen, T.; Nakajima, Y.; Tamegai, T.; Kitamura, H. Enhancement of critical current density and vortex activation energy in proton-irradiated Co-doped BaFe2As2. Phys. Rev. B 2012, 86, 094527. [Google Scholar] [CrossRef] [Green Version]
- Kihlstrom, K.J.; Fang, L.; Jia, Y.; Shen, B.; Koshelev, A.E.; Welp, U.; Crabtree, G.W.; Kwok, W.K.; Kayani, A.; Zhu, S.F.; et al. High-field critical current enhancement by irradiation induced correlated and random defects in (Ba0.6K0.4)Fe2As2. Appl. Phys. Lett. 2013, 103, 202601. [Google Scholar] [CrossRef] [Green Version]
- Ohtake, F.; Taen, T.; Pyon, S.; Tamegai, T.; Okayasu, S.; Kambara, T.; Kitamura, H. Effects of heavy-ion irradiations in K-doped BaFe2As2. Phys. C 2015, 518, 47–50. [Google Scholar] [CrossRef]
- Taen, T.; Ohtake, F.; Pyon, S.; Tamegai, T.; Kitamura, H. Critical current density and vortex dynamics in pristine and proton-irradiated Ba0.6K0.4Fe2As2. Supercond. Sci. Technol. 2015, 28, 085003. [Google Scholar] [CrossRef]
- Haberkorn, N.; Kim, J.; Gofryk, K.; Ronning, F.; Sefat, A.S.; Fang, L.; Welp, U.; Kwok, W.K.; Civale, L. Enhancement of the critical current density by increasing the collective pinning energy in heavy ion irradiated Co-doped BaFe2As2 single crystals. Supercond. Sci. Technol. 2015, 28, 055011. [Google Scholar] [CrossRef]
- Sun, Y.; Park, A.; Pyon, S.; Tamegai, T.; Kambara, T.; Ichinose, A. Effects of heavy-ion irradiation on FeSe. Phys. Rev. B 2017, 95, 104514. [Google Scholar] [CrossRef] [Green Version]
- Torsello, D.; Gerbaldo, R.; Gozzelino, L.; Laviano, F.; Takahashi, A.; Park, A.; Pyon, S.; Ichinose, A.; Tamegai, T.; Ghigo, G. Twofold role of columnar defects in iron based superconductors. Supercond. Sci. Technol. 2020, 33, 094012. [Google Scholar] [CrossRef]
- Civale, L.; Marwick, A.D.; McElfresh, M.W.; Worthington, T.K.; Malozemoff, A.P.; Holtzberg, F.H.; Thompson, J.R.; Kirk, M.A. Defect Independence of the Irreversibility Line in Proton Irradiated Y-Ba-Cu-O Crystals. Phys. Rev. Lett. 1990, 65, 1164–1167. [Google Scholar] [CrossRef]
- Thompson, J.R.; Sun, Y.R.; Civale, L.; Malozemoff, A.P.; McElfresh, M.W.; Marwick, A.D.; Holtzberg, F. Effect of flux creep on the temperature dependence of the current density in Y-Ba-Cu-O crystals. Phys. Rev. B 1993, 47, 14440–14447. [Google Scholar] [CrossRef]
- Blatter, G.; Feigel’man, M.V.; Geshkenbein, V.B.; Larkin, A.I.; Vinokur, V.M. Vortices in high-temperature superconductors. Rev. Mod. Phys. 1994, 66, 1125–1388. [Google Scholar] [CrossRef]
- Yeshurun, Y.; Malozemoff, A.P.; Shaulov, A. Magnetic relaxation in high-temperature superconductors. Rev. Mod. Phys. 1996, 68, 911–949. [Google Scholar] [CrossRef] [Green Version]
- Sun, Y.; Taen, T.; Tsuchiya, Y.; Pyon, S.; Shi, Z.; Tamegai, T. Magnetic relaxation and collective vortex creep in FeTe0.6Se0.4 single crystal. EPL 2013, 103, 57013. [Google Scholar] [CrossRef] [Green Version]
- Sun, Y.; Pyon, S.; Tamegai, T.; Kobayashi, R.; Watashige, T.; Kasahara, S.; Matsuda, Y.; Shibauchi, T. Critical current density, vortex dynamics, and phase diagram of single-crystal FeSe. Phys. Rev. B 2015, 92, 144509. [Google Scholar] [CrossRef] [Green Version]
- Sun, Y.; Pyon, S.; Yang, R.; Qiu, X.; Feng, J.; Shi, Z.; Tamegai, T. Deviation from Canonical Collective Creep Behavior in Li0.8Fe0.2OHFeSe. J. Phys. Soc. Jpn. 2019, 88, 034703. [Google Scholar] [CrossRef] [Green Version]
- Takahashi, A.; Pyon, S.; Kambara, T.; Yoshida, A.; Tamegai, T. Effects of Asymmetric Splayed Columnar Defects on the Anomalous Peak Effect in Ba0.6K0.4Fe2As2. J. Phys. Soc. Jpn. 2020, 89, 094705. [Google Scholar] [CrossRef]
- Ito, N.; Pyon, S.; Kambara, T.; Yoshida, A.; Okayasu, S.; Ichinose, A.; Tamegai, T. Anisotropy of critical current densities in Ba1−xKxFe2As2 and Ba(Fe1−xCox)2As2 with splayed columnar defects. J. Phys. Conf. Ser. 2018, 1054, 012020. [Google Scholar] [CrossRef] [Green Version]
- Abrikosov, A.A.; Gor’kov, L.P. Contribution to the theory of superconducting alloys with paramagnetic impurities. Sov. Phys. JETP 1961, 12, 1243–1263. [Google Scholar]
- Bean, C.P. Magnetization of high-field superconductors. Rev. Mod. Phys. 1964, 36, 31–39. [Google Scholar] [CrossRef]
- Gyorgy, E.M.; van Dover, R.B.; Jackson, K.A.; Schneemeyer, L.F.; Waszczak, J.V. Anisotropic critical currents in Ba2YCu3O7 analyzed using an extended Bean model. Appl. Phys. Lett. 1989, 55, 283–285. [Google Scholar] [CrossRef]
- Taen, T.; Ohtake, F.; Akiyama, H.; Inoue, H.; Sun, Y.; Pyon, S.; Tamegai, T.; Kitamura, H. Pair-breaking effects induced by 3-MeV proton irradiation in Ba1−xKxFe2As2. Phys. Rev. B 2013, 88, 224514. [Google Scholar] [CrossRef]
- Hosono, H.; Yamamoto, A.; Hiramatsu, H.; Ma, Y. Recent advances in iron-based superconductors toward applications. Mater. Today 2018, 21, 278–302. [Google Scholar] [CrossRef]
- Pyon, S.; Suwa, T.; Tamegai, T.; Takano, K.; Kajitani, H.; Koizumi, N.; Awaji, S.; Zhou, N.; Shi, Z. Improvements of fabrication processes and enhancement of critical current densities in (Ba,K)Fe2As2 HIP wires and tapes. Supercond. Sci. Technol. 2018, 31, 055016. [Google Scholar] [CrossRef]
- Pyon, S.; Mori, H.; Tamegai, T.; Awaji, S.; Kito, H.; Ishida, S.; Yoshida, Y.; Kajitani, H.; Koizumi, N. Fabrication of small superconducting coils using (Ba,A)Fe2As2 (A: Na, K) round wires with large critical current densities. Supercond. Sci. Technol. 2021, 34, 105008. [Google Scholar] [CrossRef]
- Van der Beek, C.J.; Konczykowski, M.; Kasahara, S.; Terashima, T.; Okazaki, R.; Shibauchi, T.; Matsuda, Y. Quasiparticle scattering induced by charge doping of iron-pnictide superconductors probed by collective vortex pinning. Phys. Rev. Lett. 2010, 105, 267002. [Google Scholar] [CrossRef] [Green Version]
- Van der Beek, C.J.; Konczykowski, M.; Abal’oshev, A.; Abal’osheva, I.; Gierlowski, P.; Lewandowski, S.J.; Indenbom, M.V.; Barbanera, S. Strong pinning in high-temperature superconducting films. Phys. Rev. B 2002, 66, 024523. [Google Scholar] [CrossRef] [Green Version]
- Brandt, E.H. The flux-line lattice in superconductors. Rep. Pmg. Phys. 1995, 58, 1465–1594. [Google Scholar] [CrossRef] [Green Version]
- Prischepal, S.L.; Montemurro, D.; Cirillo, C.; Attanasio, C.; Salvato, M.; Merlo, V.; Lykov, A.N.; Tsvetkov, A.Y. Thickness dependence of pinning mechanisms in granular Nb thin films. Supercond. Sci. Technol. 2006, 19, 1124–1129. [Google Scholar] [CrossRef]
- Ovchinnikov, Y.N.; Ivlev, B.I. Pinning in layered inhomogeneous superconductors. Phys. Rev. B 1991, 43, 8024–8029. [Google Scholar] [CrossRef] [PubMed]
- Park, A.; Mine, A.; Yamada, T.; Ohtake, F.; Akiyama, H.; Sun, Y.; Pyon, S.; Tamegai, T.; Kitahama, Y.; Mizukami, T.; et al. Enhancement of critical current density in a Ca0.85La0.15Fe(As0.92Sb0.08)2 superconductor with Tc = 47 K through 3 MeV proton irradiation. Supercond. Sci. Technol. 2016, 29, 055006. [Google Scholar] [CrossRef]
- Park, A.; Veshchunov, I.; Mine, A.; Pyon, S.; Tamegai, T.; Kitamura, H. Effects of 6 MeV proton irradiation on the vortex ensemble in BaFe2(As0.67P0.33)2 revealed through magnetization measurements and real-space vortex imaging. Phys. Rev. B 2020, 101, 224507. [Google Scholar] [CrossRef]
- Tamegai, T.; Sato, M.; Yamamoto, T.; Ooi, S.; Shibauchi, T. Dimensional crossover of quantum collective creep in Bi2Sr2CaCu2O8+y. Czechoslov. J. Phys. 1996, 46, 1733–1734. [Google Scholar] [CrossRef]
- Krusin-Elbaum, L.; Civale, L.; Vinokur, V.M.; Holtzberg, F. “Phase diagram” of the vortex-solid phase in Y-Ba-Cu-O crystals: A crossover from single-vortex (1D) to collective (3D) pinning regimes. Phys. Rev. Lett. 1992, 69, 2280–2283. [Google Scholar] [CrossRef]
- Feigel’man, M.V.; Geshkenbein, V.B.; Larkin, A.I.; Vinokur, V.M. Theory of collective flux creep. Phys. Rev. Lett. 1989, 63, 2303–2306. [Google Scholar] [CrossRef]
- Eley, S.; Willa, R.; Chan, M.K.; Bauer, E.D.; Civale, L. Vortex phases and glassy dynamics in the highly anisotropic superconductor HgBa2CuO4+δ. Sci. Rep. 2020, 10, 10239. [Google Scholar] [CrossRef]
- Malozemoff, A.P.; Fisher, M.P.A. Universality in the current decay and flux creep of Y-Ba-Cu-O high-temperature superconductors. Phys. Rev. B 1990, 42, 6784–6786. [Google Scholar] [CrossRef]
- Salem-Sugui, S.; Ghivelder, L.; Alvarenga, A.D.; Cohen, L.F.; Yates, K.A.; Morrison, K.; Pimentel, J.L.; Luo, H.; Wang, Z.; Wen, H.H. Flux dynamics associated with the second magnetization peak in the iron pnictide Ba1−xKxFe2As2. Phys. Rev. B 2010, 82, 054513. [Google Scholar] [CrossRef] [Green Version]
- Abulafia, Y.; Shaulov, A.; Wolfus, Y.; Prozorov, R.; Burlachkov, L.; Yeshurun, Y.; Majer, D.; Zeldov, E.; Ẅuhl, H.; Geshkenbein, V.B.; et al. Plastic Vortex Creep in YBa2Cu3O7−x Crystals. Phys. Rev. Lett. 1996, 77, 1596–1599. [Google Scholar] [CrossRef] [Green Version]









Publisher’s Note: MDPI stays neutral with regard to jurisdictional claims in published maps and institutional affiliations. |
© 2021 by the authors. Licensee MDPI, Basel, Switzerland. This article is an open access article distributed under the terms and conditions of the Creative Commons Attribution (CC BY) license (https://creativecommons.org/licenses/by/4.0/).
Share and Cite
Pyon, S.; Taya, S.; Kobayashi, Y.; Takahashi, A.; Li, W.; Taen, T.; Wang, T.; Mu, G.; Kitamura, H.; Ichinose, A.; et al. Critical Current Density and Vortex Dynamics in Pristine and Irradiated KCa2Fe4As4F2. Materials 2021, 14, 5283. https://doi.org/10.3390/ma14185283
Pyon S, Taya S, Kobayashi Y, Takahashi A, Li W, Taen T, Wang T, Mu G, Kitamura H, Ichinose A, et al. Critical Current Density and Vortex Dynamics in Pristine and Irradiated KCa2Fe4As4F2. Materials. 2021; 14(18):5283. https://doi.org/10.3390/ma14185283
Chicago/Turabian StylePyon, Sunseng, Soichi Taya, Yuto Kobayashi, Ayumu Takahashi, Wenjie Li, Toshihiro Taen, Teng Wang, Gang Mu, Hisashi Kitamura, Ataru Ichinose, and et al. 2021. "Critical Current Density and Vortex Dynamics in Pristine and Irradiated KCa2Fe4As4F2" Materials 14, no. 18: 5283. https://doi.org/10.3390/ma14185283
APA StylePyon, S., Taya, S., Kobayashi, Y., Takahashi, A., Li, W., Taen, T., Wang, T., Mu, G., Kitamura, H., Ichinose, A., & Tamegai, T. (2021). Critical Current Density and Vortex Dynamics in Pristine and Irradiated KCa2Fe4As4F2. Materials, 14(18), 5283. https://doi.org/10.3390/ma14185283

