High Pinning Force Values of a Fe(Se, Te) Single Crystal Presenting a Second Magnetization Peak Phenomenon
Abstract
1. Introduction
2. Materials and Methods
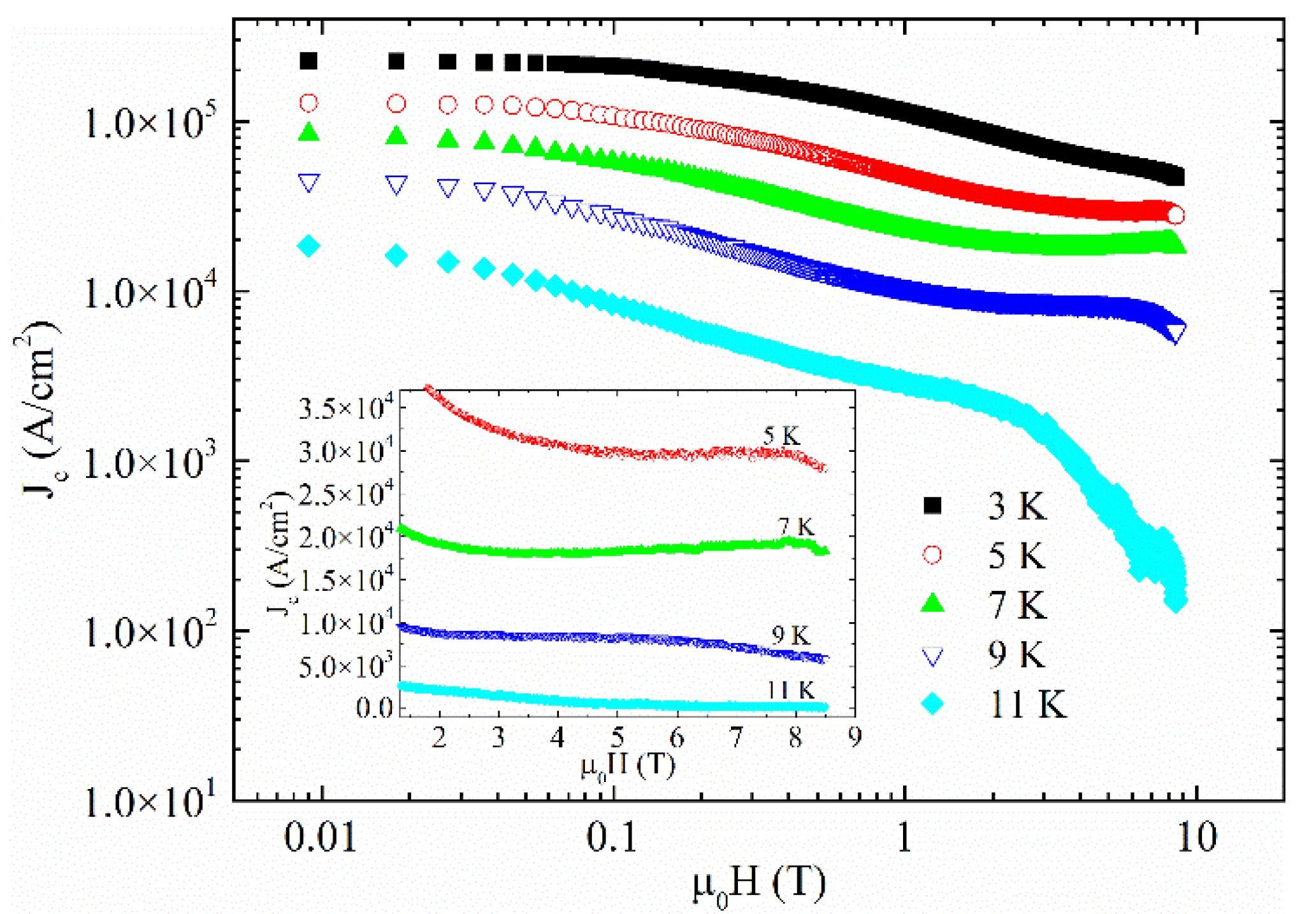
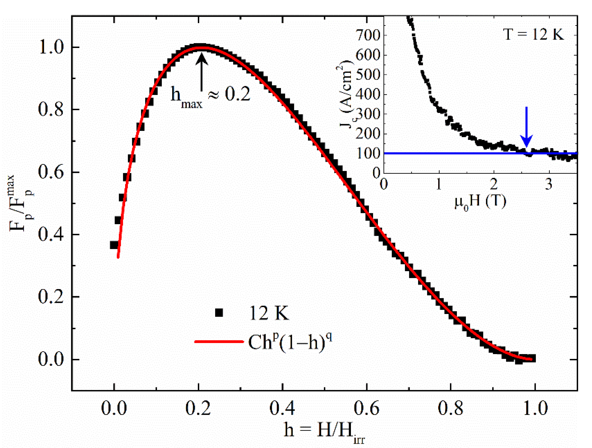
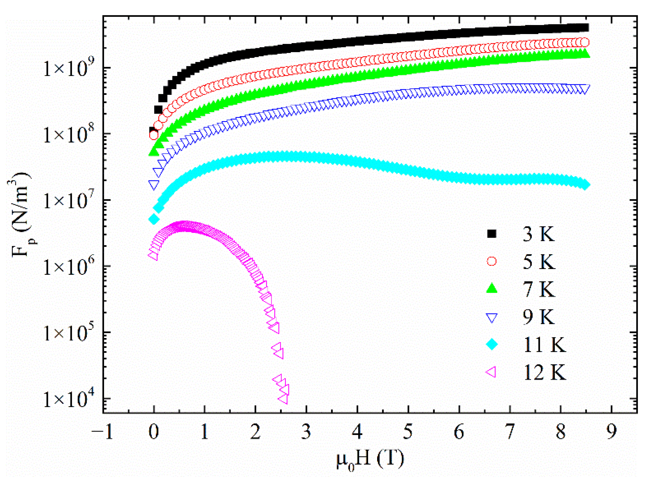
3. Results and Discussion
4. Conclusions
Author Contributions
Funding
Institutional Review Board Statement
Informed Consent Statement
Data Availability Statement
Acknowledgments
Conflicts of Interest
References
- Kamihara, Y.; Watanabe, T.; Hirano, M.; Hosono, H. Iron-based layered superconductor La[O1−xFx]FeAs (x = 0.05–0.12) with Tc = 26 K. J. Am. Chem. Soc. 2008, 130, 3296–3297. [Google Scholar] [CrossRef] [PubMed]
- Yuan, H.Q.; Singleton, J.; Balakirev, F.F.; Baily, S.A.; Chen, G.F.; Luo, J.L.; Wang, N.L. Nearly isotropic superconductivity in (Ba,K)Fe2As2. Nature 2009, 457, 565–568. [Google Scholar] [CrossRef] [PubMed]
- Yamamoto, A.; Jaroszynski, J.; Tarantini, C.; Balicas, L.; Jiang, J.; Gurevich, A.; Larbalestier, D.C.; Jin, R.; Sefat, A.S.; McGuire, M.A.; et al. Small anisotropy, weak thermal fluctuations, and high field superconductivity in Co-doped iron pnictide Ba(Fe1−xCox)2As2. Appl. Phys. Lett. 2009, 94, 062511. [Google Scholar] [CrossRef]
- Tarantini, C.; Gurevich, A.; Jaroszynski, J.; Balakirev, F.; Bellingeri, E.; Pallecchi, I.; Ferdeghini, C.; Shen, B.; Wen, H.H.; Larbalestier, D.C. Significant enhancement of upper critical fields by doping and strain in iron-based superconductors. Phys. Rev. B Condens. Matter Mater. Phys. 2011, 84, 184522. [Google Scholar] [CrossRef]
- Galluzzi, A.; Buchkov, K.M.; Nazarova, E.; Tomov, V.; Grimaldi, G.; Leo, A.; Pace, S.; Polichetti, M. Pinning energy and anisotropy properties of a Fe(Se, Te) iron based superconductor. Nanotechnology 2019, 30, 254001. [Google Scholar] [CrossRef]
- Grimaldi, G.; Leo, A.; Martucciello, N.; Braccini, V.; Bellingeri, E.; Ferdeghini, C.; Galluzzi, A.; Polichetti, M.; Nigro, A.; Villegier, J.-C.; et al. Weak or Strong Anisotropy in Fe(Se, Te) Superconducting Thin Films Made of Layered Iron-Based Material? IEEE Trans. Appl. Supercond. 2019, 29, 2895744. [Google Scholar] [CrossRef]
- Leo, A.; Braccini, V.; Bellingeri, E.; Ferdeghini, C.; Galluzzi, A.; Polichetti, M.; Nigro, A.; Pace, S.; Grimaldi, G. Anisotropy effects on the quenching current of Fe(Se, Te) Thin Films. IEEE Trans. Appl. Supercond. 2018, 28, 8234633. [Google Scholar] [CrossRef]
- Katase, T.; Ishimaru, Y.; Tsukamoto, A.; Hiramatsu, H.; Kamiya, T.; Tanabe, K.; Hosono, H. Advantageous grain boundaries in iron pnictide superconductors. Nat. Commun. 2011, 2, 409. [Google Scholar] [CrossRef]
- Galluzzi, A.; Polichetti, M.; Buchkov, K.; Nazarova, E.; Mancusi, D.; Pace, S. Evaluation of the intragrain critical current density in a multidomain FeSe crystal by means of dc magnetic measurements. Supercond. Sci. Technol. 2015, 28, 115005. [Google Scholar] [CrossRef]
- De Gennes, P.G. Boundary effects in superconductors. Rev. Mod. Phys. 1964, 36, 225–237. [Google Scholar] [CrossRef]
- Lei, H.; Wang, K.; Hu, R.; Ryu, H.; Abeykoon, M.; Bozin, E.S.; Petrovic, C. Iron chalcogenide superconductors at high magnetic fields. Sci. Technol. Adv. Mater. 2012, 13, 054305. [Google Scholar] [CrossRef]
- Galluzzi, A.; Buchkov, K.; Tomov, V.; Nazarova, E.; Kovacheva, D.; Leo, A.; Grimaldi, G.; Pace, S.; Polichetti, M. Mixed state properties of iron based Fe(Se, Te) superconductor fabricated by Bridgman and by self-flux methods. J. Appl. Phys. 2018, 123, 233904. [Google Scholar] [CrossRef]
- Hosono, H.; Yamamoto, A.; Hiramatsu, H.; Ma, Y. Recent advances in iron-based superconductors toward applications. Mater. Today 2018, 21, 278–302. [Google Scholar] [CrossRef]
- Galluzzi, A.; Buchkov, K.; Nazarova, E.; Tomov, V.; Grimaldi, G.; Leo, A.; Pace, S.; Polichetti, M. Transport properties and high upper critical field of a Fe(Se, Te) iron based superconductor. Eur. Phys. J. Spec. Top. 2019, 228, 725–731. [Google Scholar] [CrossRef]
- Si, W.; Han, S.J.; Shi, X.; Ehrlich, S.N.; Jaroszynski, J.; Goyal, A.; Li, Q. High current superconductivity in FeSe0.5Te0.5 coated conductors at 30 tesla. Nat. Commun. 2013, 4, 1347. [Google Scholar] [CrossRef] [PubMed]
- Zignani, C.F.; De Marzi, G.; Corato, V.; Mancini, A.; Vannozzi, A.; Rufoloni, A.; Leo, A.; Guarino, A.; Galluzzi, A.; Nigro, A.; et al. Improvements of high-field pinning properties of polycrystalline Fe(Se, Te) material by heat treatments. J. Mater. Sci. 2019, 54, 5092–5100. [Google Scholar] [CrossRef]
- Ma, Y. Progress in wire fabrication of iron-based superconductors. Supercond. Sci. Technol. 2012, 25, 113001. [Google Scholar] [CrossRef]
- Nazarova, E.; Balchev, N.; Nenkov, K.; Buchkov, K.; Kovacheva, D.; Zahariev, A.; Fuchs, G. Transport and pinning properties of Ag-doped FeSe0.94. Supercond. Sci. Technol. 2015, 28, 025013. [Google Scholar] [CrossRef]
- Chen, N.; Ma, Z.; Liu, Y.; Li, X.; Cai, Q.; Li, H.; Yu, L. Influence of Sn doping on the phase formation and superconductivity of FeSe0.93. J. Alloys Compd. 2014, 588, 418–421. [Google Scholar] [CrossRef]
- Lan, F.; Ma, Z.Q.; Liu, Y.C.; Chen, N.; Cai, Q.; Li, H.; Barua, S.; Patel, D.; Hossain, M.S.A.; Kim, J.H.; et al. The formation of nano-layered grains and their enhanced superconducting transition temperature in Mg-doped FeSe0.9 bulks. Sci. Rep. 2014, 4, 6481. [Google Scholar] [CrossRef]
- Nazarova, E.; Balchev, N.; Nenkov, K.; Buchkov, K.; Kovacheva, D.; Zahariev, A.; Fuchs, G. Improvement of the superconducting properties of polycrystalline FeSe by silver addition. Supercond. Sci. Technol. 2015, 28, 125013. [Google Scholar] [CrossRef]
- Sudesh; Rani, S.; Varma, G.D. Effect of Sb and Si doping on the superconducting properties of FeSe0.9. Phys. C Supercond. Appl. 2013, 485, 137–144. [Google Scholar] [CrossRef]
- Liu, C.-J.; Bhaskar, A.; Huang, H.-J.; Lin, F.-H. Transport properties of Bi-doped FeSe superconductor up to 700 K. Appl. Phys. Lett. 2014, 104, 252602. [Google Scholar] [CrossRef]
- Mizuguchi, Y.; Takano, Y. Review of Fe chalcogenides as the simplest Fe-based superconductor. J. Phys. Soc. Japan 2010, 79, 102001. [Google Scholar] [CrossRef]
- Mizuguchi, Y.; Deguchi, K.; Tsuda, S.; Yamaguchi, T.; Takeya, H.; Kumakura, H.; Takano, Y. Fabrication of the Iron-Based Superconducting Wire Using Fe(Se, Te). Appl. Phys. Express 2009, 2, 083004. [Google Scholar] [CrossRef]
- Palombo, M.; Malagoli, A.; Pani, M.; Bernini, C.; Manfrinetti, P.; Palenzona, A.; Putti, M. Exploring the feasibility of Fe(Se, Te) conductors by ex-situ powder-in-tube method. J. Appl. Phys. 2015, 117, 213903. [Google Scholar] [CrossRef]
- Miu, D.; Noji, T.; Adachi, T.; Koike, Y.; Miu, L. On the nature of the second magnetization peak in FeSe1−xTex single crystals. Supercond. Sci. Technol. 2012, 25, 115009. [Google Scholar] [CrossRef]
- Tamegai, T.; Sun, Y.; Yamada, T.; Pyon, S. Critical Current Density and Vortex Dynamics in Fe(Te,Se) Annealed in Various Atmosphere. IEEE Trans. Appl. Supercond. 2016, 26, 1–5. [Google Scholar] [CrossRef]
- Galluzzi, A.; Buchkov, K.; Tomov, V.; Nazarova, E.; Leo, A.; Grimaldi, G.; Nigro, A.; Pace, S.; Polichetti, M. Second Magnetization Peak Effect in a Fe(Se, Te) iron based superconductor. In Proceedings of the Journal of Physics: Conference Series, Salerno, Italy, 10–13 July 2018; IOP Publishing: Bristol, UK, 2019; Volume 1226, p. 012012. [Google Scholar] [CrossRef]
- Bonura, M.; Giannini, E.; Viennois, R.; Senatore, C. Temperature and time scaling of the peak-effect vortex configuration in FeTe0.7Se0.3. Phys. Rev. B 2012, 85, 134532. [Google Scholar] [CrossRef]
- Hossaini, S.J.; Ghorbani, S.R.; Arabi, H.; Wang, X.L.; Lin, C.T. Temperature and field dependence of the flux pinning mechanisms in Fe1.06Te0.6Se0.4 single crystal. Solid State Commun. 2016, 246, 29–32. [Google Scholar] [CrossRef]
- Das, P.; Thakur, A.D.; Yadav, A.K.; Tomy, C.V.; Lees, M.R.; Balakrishnan, G.; Ramakrishnan, S.; Grover, A.K. Magnetization hysteresis and time decay measurements in FeSe0.50Te0.50: Evidence for fluctuation in mean free path induced pinning. Phys. Rev. B Condens. Matter Mater. Phys. 2011, 84, 214526. [Google Scholar] [CrossRef]
- Polichetti, M.; Galluzzi, A.; Buchkov, K.; Tomov, V.; Nazarova, E.; Leo, A.; Grimaldi, G.; Pace, S. A precursor mechanism triggering the second magnetization peak phenomenon in superconducting materials. Sci. Rep. 2021, 11, 7247. [Google Scholar] [CrossRef]
- Galluzzi, A.; Buchkov, K.; Tomov, V.; Nazarova, E.; Leo, A.; Grimaldi, G.; Nigro, A.; Pace, S.; Polichetti, M. Evidence of pinning crossover and the role of twin boundaries in the peak effect in FeSeTe iron based superconductor. Supercond. Sci. Technol. 2018, 31, 015014. [Google Scholar] [CrossRef]
- Tsurkan, V.; Deisenhofer, J.; Günther, A.; Kant, C.; Klemm, M.; von Nidda, H.-A.; Schrettle, F.; Loidl, A. Physical properties of FeSe0.5Te0.5 single crystals grown under different conditions. Eur. Phys. J. B 2011, 79, 289–299. [Google Scholar] [CrossRef]
- Wittlin, A.; Aleshkevych, P.; Przybylińska, H.; Gawryluk, D.J.; Dłuzewski, P.; Berkowski, M.; Puźniak, R.; Gutowska, M.U.; Wiśniewski, A. Microstructural magnetic phases in superconducting FeTe0.65Se0.35. Supercond. Sci. Technol. 2012, 25, 065019. [Google Scholar] [CrossRef][Green Version]
- Sivakov, A.G.; Bondarenko, S.I.; Prokhvatilov, A.I.; Timofeev, V.P.; Pokhila, A.S.; Koverya, V.P.; Dudar, I.S.; Link, S.I.; Legchenkova, I.V.; Bludov, A.N.; et al. Microstructural and transport properties of superconducting FeTe0.65Se0.35 crystals. Supercond. Sci. Technol. 2017, 30, 015018. [Google Scholar] [CrossRef]
- Zignani, C.F.; De Marzi, G.; Grimaldi, G.; Leo, A.; Guarino, A.; Vannozzi, A.; della Corte, A.; Pace, S. Fabrication and Physical Properties of Polycrystalline Iron-Chalcogenides Superconductors. IEEE Trans. Appl. Supercond. 2017, 27, 1–5. [Google Scholar] [CrossRef]
- McQueen, T.M.; Huang, Q.; Ksenofontov, V.; Felser, C.; Xu, Q.; Zandbergen, H.; Hor, Y.S.; Allred, J.; Williams, A.J.; Qu, D.; et al. Extreme sensitivity of superconductivity to stoichiometry in Fe1+δSe. Phys. Rev. B 2009, 79, 014522. [Google Scholar] [CrossRef]
- Onar, K.; Yakinci, M.E. Solid state synthesis and characterization of bulk β-FeSe superconductors. J. Alloys Compd. 2015, 620, 210–216. [Google Scholar] [CrossRef]
- Zignani, C.F.; Corato, V.; Leo, A.; De Marzi, G.; Mancini, A.; Takano, Y.; Yamashita, A.; Polichetti, M.; Galluzzi, A.; Rufoloni, A.; et al. Fabrication and Characterization of Sintered Iron-Chalcogenide Superconductors. IEEE Trans. Appl. Supercond. 2016, 26, 1–5. [Google Scholar] [CrossRef]
- Galluzzi, A.; Mancusi, D.; Cirillo, C.; Attanasio, C.; Pace, S.; Polichetti, M. Determination of the Transition Temperature of a Weak Ferromagnetic Thin Film by Means of an Evolution of the Method Based on the Arrott Plots. J. Supercond. Nov. Magn. 2018, 31, 1127–1132. [Google Scholar] [CrossRef]
- Galluzzi, A.; Nigro, A.; Fittipaldi, R.; Guarino, A.; Pace, S.; Polichetti, M. DC magnetic characterization and pinning analysis on Nd1.85Ce0.15CuO4 cuprate superconductor. J. Magn. Magn. Mater. 2019, 475, 125–129. [Google Scholar] [CrossRef]
- Mizuguchi, Y.; Tomioka, F.; Tsuda, S.; Yamaguchi, T.; Takano, Y. Substitution Effects on FeSe Superconductor. J. Phys. Soc. Japan 2009, 78, 074712. [Google Scholar] [CrossRef]
- Sales, B.C.; Sefat, A.S.; McGuire, M.A.; Jin, R.Y.; Mandrus, D.; Mozharivskyj, Y. Bulk superconductivity at 14 K in single crystals of Fe1+yTexSe1−x. Phys. Rev. B Condens. Matter Mater. Phys. 2009, 79, 094521. [Google Scholar] [CrossRef]
- Putti, M.; Pallecchi, I.; Bellingeri, E.; Cimberle, M.R.; Tropeano, M.; Ferdeghini, C.; Palenzona, A.; Tarantini, C.; Yamamoto, A.; Jiang, J.; et al. New Fe-based superconductors: Properties relevant for applications. Supercond. Sci. Technol. 2010, 23, 034003. [Google Scholar] [CrossRef]
- Yeh, K.-W.; Huang, T.-W.; Huang, Y.; Chen, T.-K.; Hsu, F.-C.; Wu, P.M.; Lee, Y.-C.; Chu, Y.-Y.; Chen, C.-L.; Luo, J.-Y.; et al. Tellurium substitution effect on superconductivity of the α-phase iron selenide. EPL (Europhys. Lett.) 2008, 84, 37002. [Google Scholar] [CrossRef]
- Galluzzi, A.; Polichetti, M.; Buchkov, K.; Nazarova, E.; Mancusi, D.; Pace, S. Critical current and flux dynamics in Ag-doped FeSe superconductor. Supercond. Sci. Technol. 2017, 30, 025013. [Google Scholar] [CrossRef]
- Bean, C.P. Magnetization of hard superconductors. Phys. Rev. Lett. 1962, 8, 250–253. [Google Scholar] [CrossRef]
- Bean, C.P. Magnetization of High-Field Superconductors. Rev. Mod. Phys. 1964, 36, 31–39. [Google Scholar] [CrossRef]
- Griessen, R.; Hai-Hu, W.; Van Dalen, A.J.J.; Dam, B.; Rector, J.; Schnack, H.G.; Libbrecht, S.; Osquiguil, E.; Bruynseraede, Y. Evidence for mean free path fluctuation induced pinning in YBa2Cu3O7 and YBa2Cu4O8 films. Phys. Rev. Lett. 1994, 72, 1910–1913. [Google Scholar] [CrossRef]
- Savvides, N. Flux creep and transport critical current density in high-Tc superconductors. Phys. C Supercond. 1990, 165, 371–376. [Google Scholar] [CrossRef]
- Murakami, M.; Fujimoto, H.; Gotoh, S.; Yamaguchi, K.; Koshizuka, N.; Tanaka, S. Flux pinning due to nonsuperconducting particles in melt processed YBaCuO superconductors. Phys. C Supercond. 1991, 185–189, 321–326. [Google Scholar] [CrossRef]
- Yeshurun, Y.; Malozemoff, A.P. Giant flux creep and irreversibility in an Y-Ba-Cu-O crystal: An alternative to the superconducting-glass model. Phys. Rev. Lett. 1988, 60, 2202–2205. [Google Scholar] [CrossRef] [PubMed]
- Jackson, D.J.C.; Das, M.P. Melting of the flux line lattice. Supercond. Sci. Technol. 1996, 9, 713–727. [Google Scholar] [CrossRef]
- Yom, S.S.; Hahn, T.S.; Kim, Y.H.; Chu, H.; Choi, S.S. Exponential temperature dependence of the critical transport current in Y-Ba-Cu-O thin films. Appl. Phys. Lett. 1989, 54, 2370. [Google Scholar] [CrossRef]
- Hsiang, T.Y.; Finnemore, D.K. Superconducting critical currents for thick, clean superconductor—Normal-metal—Superconductor junctions. Phys. Rev. B 1980, 22, 154–163. [Google Scholar] [CrossRef]
- Blatter, G.; Feigel’Man, M.V.; Geshkenbein, V.B.; Larkin, A.I.; Vinokur, V.M. Vortices in high-temperature superconductors. Rev. Mod. Phys. 1994, 66, 1125–1388. [Google Scholar] [CrossRef]
- Polat, A.; Sinclair, J.W.; Zuev, Y.L.; Thompson, J.R.; Christen, D.K.; Cook, S.W.; Kumar, D.; Chen, Y.; Selvamanickam, V. Thickness dependence of magnetic relaxation and E-J characteristics in superconducting (Gd-Y)-Ba-Cu-O films with strong vortex pinning. Phys. Rev. B Condens. Matter Mater. Phys. 2011, 84, 024519. [Google Scholar] [CrossRef]
- Christen, D.K.; Thompson, R. Current problems at high Tc. Nature 1993, 364, 98–99. [Google Scholar] [CrossRef]
- Plain, J.; Puig, T.; Sandiumenge, F.; Obradors, X.; Rabier, J. Microstructural influence on critical currents and irreversibility line in melt-textured YBa2Cu3O7-x reannealed at high oxygen pressure. Phys. Rev. B 2002, 65, 104526. [Google Scholar] [CrossRef]
- Nelson, D.R.; Vinokur, V.M. Boson localization and correlated pinning of superconducting vortex arrays. Phys. Rev. B 1993, 48, 13060–13097. [Google Scholar] [CrossRef] [PubMed]
- Hwa, T.; Le Doussal, P.; Nelson, D.R.; Vinokur, V.M. Flux pinning and forced vortex entanglement by splayed columnar defects. Phys. Rev. Lett. 1993, 71, 3545–3548. [Google Scholar] [CrossRef] [PubMed]
- Kim, Y.B.; Hempstead, C.F.; Strnad, A.R. Critical Persistent Currents in Hard Superconductors. Phys. Rev. Lett. 1962, 9, 306–309. [Google Scholar] [CrossRef]
- Kim, Y.B.; Hempstead, C.F.; Strnad, A.R. Magnetization and Critical Supercurrents. Phys. Rev. 1963, 129, 528–535. [Google Scholar] [CrossRef]
- Poole, C.P. Superconductivity; Academic Press: Cambridge, MA, USA, 2007; ISBN 0080550487. [Google Scholar]
- Dew-Hughes, D. Flux pinning mechanisms in type II superconductors. Philos. Mag. 1974, 30, 293–305. [Google Scholar] [CrossRef]
- Yadav, C.S.; Paulose, P.L. The flux pinning force and vortex phase diagram of single crystal FeTe0.60Se0.40. Solid State Commun. 2011, 151, 216–218. [Google Scholar] [CrossRef]
- Onar, K.; Özçelik, B.; Güler, N.K.; Okazaki, H.; Takeya, H.; Takano, Y.; Yakinci, M.E. Enhanced physical properties of single crystal Fe0.99Te0.63Se0.37 prepared by self-flux synthesis method. J. Alloys Compd. 2016, 683, 164–170. [Google Scholar] [CrossRef]
- Yuan, F.; Iida, K.; Langer, M.; Hänisch, J.; Ichinose, A.; Tsukada, I.; Sala, A.; Putti, M.; Hühne, R.; Schultz, L.; et al. Influence of substrate type on transport properties of superconducting FeSe0.5Te0.5 thin films. Supercond. Sci. Technol. 2015, 28, 065005. [Google Scholar] [CrossRef]
- Leo, A.; Sylva, G.; Braccini, V.; Bellingeri, E.; Martinelli, A.; Pallecchi, I.; Ferdeghini, C.; Pellegrino, L.; Putti, M.; Ghigo, G.; et al. Anisotropic Effect of Proton Irradiation on Pinning Properties of Fe(Se, Te) Thin Films. IEEE Trans. Appl. Supercond. 2019, 29, 1–5. [Google Scholar] [CrossRef]
- Si, W.; Zhou, J.; Jie, Q.; Dimitrov, I.; Solovyov, V.; Johnson, P.D.; Jaroszynski, J.; Matias, V.; Sheehan, C.; Li, Q. Iron-chalcogenide FeSe0.5Te0.5 coated superconducting tapes for high field applications. Appl. Phys. Lett. 2011, 98, 262509. [Google Scholar] [CrossRef]
- Mele, P. Superconducting properties of iron chalcogenide thin films. Sci. Technol. Adv. Mater. 2012, 13, 054301. [Google Scholar] [CrossRef] [PubMed]
- Ozaki, T.; Wu, L.; Zhang, C.; Si, W.; Jie, Q.; Li, Q. Enhanced critical current in superconducting FeSe0.5Te0.5 films at all magnetic field orientations by scalable gold ion irradiation. Supercond. Sci. Technol. 2018, 31, 024002. [Google Scholar] [CrossRef]







| Fit Parameter | ||||
|---|---|---|---|---|
| (A/cm2) | 390,640 | 205,490 | 137,140 | 110,070 |
| T0 (K) | 2.41 | 2.76 | 3.5 | 3.9 |
| (A/cm2) | 177,780 | 93,400 | 77,455 | 67,570 |
| T* (K) | 7.70 | 9.09 | 9.40 | 10.00 |
Publisher’s Note: MDPI stays neutral with regard to jurisdictional claims in published maps and institutional affiliations. |
© 2021 by the authors. Licensee MDPI, Basel, Switzerland. This article is an open access article distributed under the terms and conditions of the Creative Commons Attribution (CC BY) license (https://creativecommons.org/licenses/by/4.0/).
Share and Cite
Galluzzi, A.; Buchkov, K.; Tomov, V.; Nazarova, E.; Leo, A.; Grimaldi, G.; Polichetti, M. High Pinning Force Values of a Fe(Se, Te) Single Crystal Presenting a Second Magnetization Peak Phenomenon. Materials 2021, 14, 5214. https://doi.org/10.3390/ma14185214
Galluzzi A, Buchkov K, Tomov V, Nazarova E, Leo A, Grimaldi G, Polichetti M. High Pinning Force Values of a Fe(Se, Te) Single Crystal Presenting a Second Magnetization Peak Phenomenon. Materials. 2021; 14(18):5214. https://doi.org/10.3390/ma14185214
Chicago/Turabian StyleGalluzzi, Armando, Krastyo Buchkov, Vihren Tomov, Elena Nazarova, Antonio Leo, Gaia Grimaldi, and Massimiliano Polichetti. 2021. "High Pinning Force Values of a Fe(Se, Te) Single Crystal Presenting a Second Magnetization Peak Phenomenon" Materials 14, no. 18: 5214. https://doi.org/10.3390/ma14185214
APA StyleGalluzzi, A., Buchkov, K., Tomov, V., Nazarova, E., Leo, A., Grimaldi, G., & Polichetti, M. (2021). High Pinning Force Values of a Fe(Se, Te) Single Crystal Presenting a Second Magnetization Peak Phenomenon. Materials, 14(18), 5214. https://doi.org/10.3390/ma14185214

