Critical Thermodynamic Conditions for the Formation of p-Type β-Ga2O3 with Cu Doping
Abstract
:1. Introduction
2. Theory and Computational Details
2.1. Dopant Formation Energy
2.2. Electric Dipole Correction
3. Results and Discussion
3.1. Formation Energies vs. Supercell Size
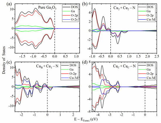
3.2. Electronic Structure
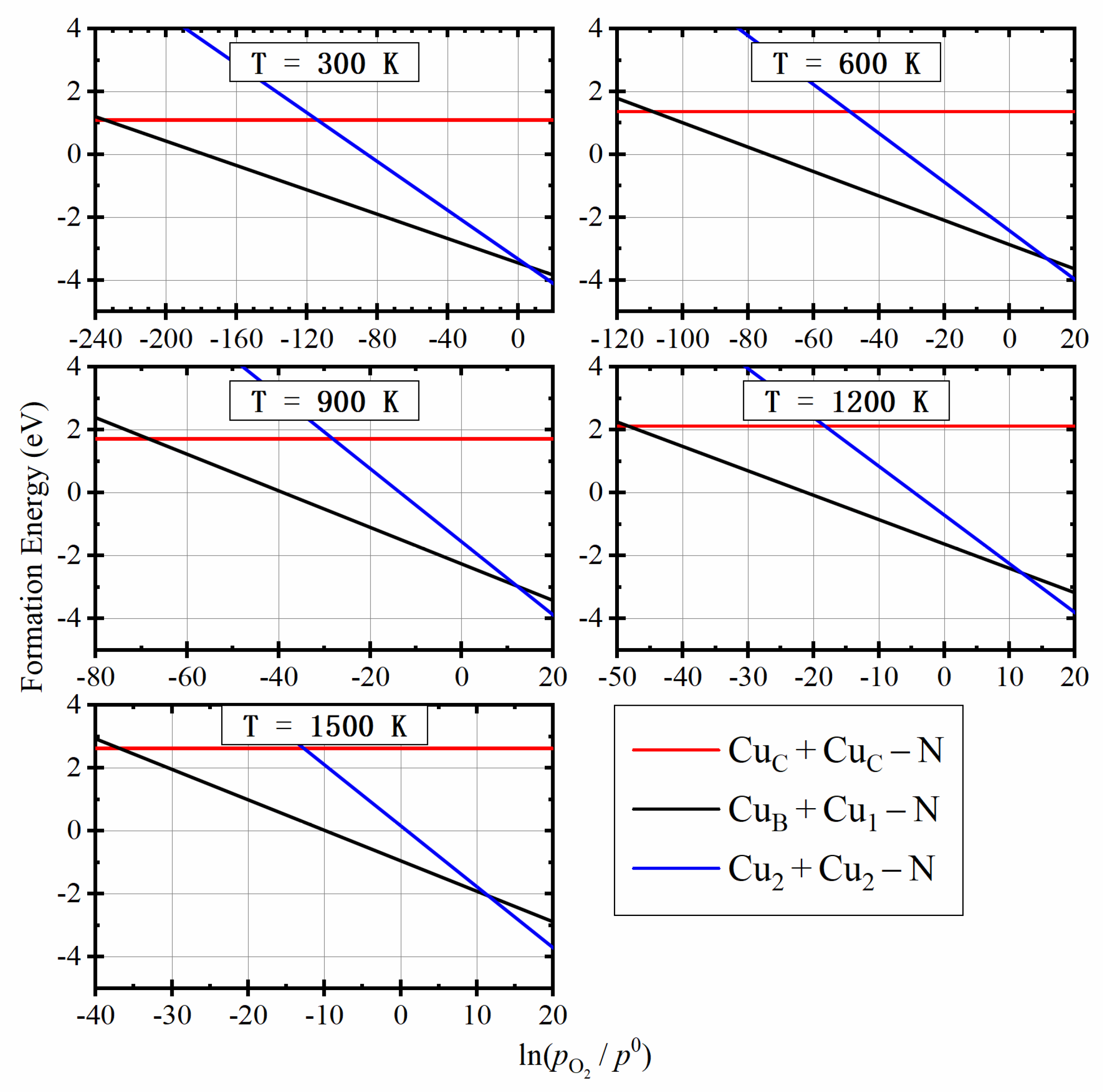
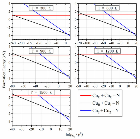
3.3. Critical Thermodynamic Conditions
4. Conclusions
Author Contributions
Funding
Institutional Review Board Statement
Informed Consent Statement
Data Availability Statement
Acknowledgments
Conflicts of Interest
References
- Zhang, J.; Shi, J.; Qi, D.-C.; Chen, L.; Zhang, K.H.L. Recent progress on the electronic structure, defect, and doping properties of Ga2O. APL Mater. 2020, 8, 020906. [Google Scholar] [CrossRef] [Green Version]
- Ueda, N.; Hosono, H.; Waseda, R.; Kawazoe, H. Anisotropy of electrical and optical properties in b-Ga2O. Appl. Phys. Lett. 1997, 71, 933. [Google Scholar] [CrossRef]
- Higashiwaki, M.; Sasaki, K.; Kuramata, A.; Masui, T.; Yamakoshi, S. Gallium oxide (Ga2O3) metal-semiconductor field-effect transistors on single-crystal be-ta-Ga2O3 (010) substrates. Appl. Phys. Lett. 2012, 100, 013504. [Google Scholar] [CrossRef]
- Deng, G.; Huang, Y.; Chen, Z.; Pan, C.; Saito, K.; Tanaka, T.; Guo, Q. Yellow emission from vertically integrated Ga2O3 doped with Er and Eu electroluminescent film. J. Lumin- 2021, 235, 118051. [Google Scholar] [CrossRef]
- Pratiyush, A.S.; Krishnamoorthy, S.; Solanke, S.V.; Xia, Z.; Muralidharan, R.; Rajan, S.; Nath, D.N. High responsivity in molecular beam epitaxy grown β-Ga2O3 metal semiconductor metal solar blind deep-UV photodetector. Appl. Phys. Lett. 2017, 110, 221107. [Google Scholar] [CrossRef] [Green Version]
- Ahmadi, E.; Oshima, Y. Materials issues and devices of α- and β-Ga2OJ. Appl. Phys. 2019, 126, 160901. [Google Scholar] [CrossRef] [Green Version]
- Pearton, S.J.; Yang, J.; Iv, P.H.C.; Ren, F.; Kim, J.; Tadjer, M.J.; Mastro, M.A. A review of Ga2O3. Materials, processing, and devices. Appl. Phys. Rev. 2018, 5, 011301. [Google Scholar] [CrossRef] [Green Version]
- Mastro, M.A.; Kuramata, A.; Calkins, J.; Kim, J.; Ren, F.; Pearton, S.J. Perspective—Opportunities and future directions for Ga2O. ECS J. Solid State Sci. Technol. 2017, 6, P356–P359. [Google Scholar] [CrossRef]
- Biswas, D.; Joishi, C.; Biswas, J.; Thakar, K.; Rajan, S.; Lodha, S. Enhanced n-type β-Ga2O3 (2¯01) gate stack performance using Al2O3/SiO2 bi-layer dielectric. Appl. Phys. Lett. 2019, 114, 212106. [Google Scholar] [CrossRef]
- Guo, W.-Y.; Guo, Y.-T.; Dong, H.; Zhou, X. Tailoring the electronic structure of β-Ga2O3 by non-metal doping from hybrid density functional theory calculations. Phys. Chem. Chem. Phys. 2015, 17, 5817–5825. [Google Scholar] [CrossRef]
- Kyrtsos, A.; Matsubara, M.; Bellotti, E. On the feasibility of p-type Ga2O3. Appl. Phys. Lett. 2018, 112, 032108. [Google Scholar] [CrossRef]
- Neal, T.; Mou, S.; Rafique, S.; Zhao, H.; Ahmadi, E.; Speck, J.S.; Stevens, K.T.; Blevins, J.D.; Thomson, D.B.; Moser, N.; et al. Donors and deep acceptors in β-Ga2O3. Appl. Phys. Lett. 2018, 113, 062101. [Google Scholar] [CrossRef] [Green Version]
- Lyons, J.L. A survey of acceptor dopants for β-Ga2O3. Semicond. Sci. Technol. 2018, 33, 05LT02. [Google Scholar] [CrossRef]
- Ma, J.; Lin, J.; Liu, J.; Li, F.; Liu, Y.; Yang, G. Achieving high conductivity p-type Ga2O3 through Al-N and In-N co-doping. Chem. Phys. Lett. 2020, 746, 137308. [Google Scholar] [CrossRef]
- Li, L.; Liao, F.; Hu, X.-T. The possibility of N–P co-doping to realize P type β-Ga2O3. Superlattices Microstruct. 2020, 141, 106502. [Google Scholar] [CrossRef]
- Lany, S. Defect phase diagram for doping of Ga2O. APL Mater. 2018, 6, 046103. [Google Scholar] [CrossRef] [Green Version]
- Li, C.; Zhao, Y.F.; Gong, Y.Y.; Wang, T.; Sun, C.Q. Band gap engineering of early transition-metal-doped anatase TiO2: First principles calculations. Phys. Chem. Chem. Phys. 2014, 16, 21446–21451. [Google Scholar] [CrossRef]
- Sun, M.; Tang, W.; Ren, Q.; Wang, S.-K.; Yu, J.; Du, Y. A first-principles study of light non-metallic atom substituted blue phosphorene. Appl. Surf. Sci. 2015, 356, 110–114. [Google Scholar] [CrossRef]
- Sun, M.; Wang, S.; Du, Y.; Yu, J.; Tang, W. Transition metal doped arsenene: A first-principles study. Appl. Surf. Sci. 2016, 389, 594–600. [Google Scholar] [CrossRef]
- Hou, Q.; Liu, Y.; Li, C.; Tao, H. Effect of VZn/VO on stability, magnetism, and electronic characteristic of oxygen ions for li-doped ZnO. J. Supercond. Nov. Magn. 2019, 32, 1859–1869. [Google Scholar] [CrossRef]
- Jin, M.; Li, Z.; Huang, F.; Xia, Y.; Ji, X.; Wang, W. Critical conditions for the formation of p-type ZnO with Li doping. RSC Adv. 2018, 8, 30868–30874. [Google Scholar] [CrossRef] [Green Version]
- Kresse, G.; Hafner, J. Ab initio molecular dynamics for open-shell transition metals. Phys. Rev. B 1993, 48, 13115. [Google Scholar] [CrossRef]
- Langreth, C.; Mehl, M. Beyond the local-density approximation in calculations of ground-state electronic properties. Phys. Rev. B 1983, 28, 1809. [Google Scholar] [CrossRef]
- Kresse, G.; Joubert, D. From ultrasoft pseudopotentials to the projector augmented-wave method. Phys. Rev. B 1999, 59, 1758. [Google Scholar] [CrossRef]
- Barin, I.; Platzki, G. Thermochemical Data of Pure Substances; Wiley Online Library, Wiley: Hobokeh, NJ, USA, 1989. [Google Scholar]
- Haynes, W.M. CRC Handbook of Chemistry and Physics; CRC Press: Boca Raton, FL, USA, 2014. [Google Scholar]
- Chase, M.W.J. JANAF thermochemical table. J. Phys. Chem. Ref. Data 1985, 14, 695–940. [Google Scholar]
- Yamaguchi, K. First principles study on electronic structure of beta-Ga2O. Solid State Commun. 2004, 131, 739–744. [Google Scholar] [CrossRef]
- Janowitz, C.; Scherer, V.; Mohamed, M.; Krapf, A.; Dwelk, H.; Manzke, R.; Galazka, Z.; Uecker, R.; Irmscher, K.; Fornari, R.; et al. Experimental electronic structure of In2O3 and Ga2O. New J. Phys. 2011, 13, 085014. [Google Scholar] [CrossRef]
- Zhang, C.-q.; Liao, F.; Liang, X.; Gong, H.; Liu, Q.; Li, L.; Qin, X.; Huang, X.; Huang, C. Electronic transport properties in metal doped β-Ga2O3: A first principles study. Phys. B 2019, 562, 124. [Google Scholar] [CrossRef]
- Yan, H.; Guo, Y.; Song, Q.; Chen, Y. First-principles study on electronic structure and optical properties of Cu-doped β-Ga2O. Phys. B Condens. Matter 2014, 434, 181–184. [Google Scholar] [CrossRef]
- Zheng, X.; Cohen, A.J.; Mori-Sánchez, P.; Hu, X.; Yang, W. Improving band gap prediction in density functional theory from molecules to solids. Phys. Rev. Lett. 2011, 107, 6403. [Google Scholar] [CrossRef] [Green Version]
- Gao, S.; Li, W.; Dai, J.; Wang, Q.; Suo, Z. Effect of transition metals doping on electronic structure and optical properties of β-Ga2O. Mater. Res. Express 2021, 8, 025904. [Google Scholar] [CrossRef]
- Alkauskas, A.; Broqvist, P.; Pasquarello, A. Defect levels through hybrid density functionals: Insights and applications. Phys. Status Solidi (b) 2011, 248, 775–789. [Google Scholar] [CrossRef]
- Song, W.; Jia, Y.; Hu, S.; Hu, Z. Reaction pathways for α-Ga2O3 and β-Ga2O3 phase transition under pressure up to 40 GPa: A first-principles study. J. Phys. Chem. C 2020, 124, 23280–23286. [Google Scholar] [CrossRef]






| 300 | −11.556 | −0.638 | 1.45 × 10−102 | 802 |
| 400 | −11.660 | −0.856 | 3.10 × 10−75 | 1.12 × 104 |
| 500 | −11.790 | −1.081 | 6.14 × 10−59 | 4.30 × 104 |
| 600 | −11.944 | −1.313 | 3.79 × 10−48 | 8.91 × 104 |
| 900 | −12.515 | −2.039 | 2.08 × 10−30 | 1.71 × 105 |
| 1200 | −13.218 | −2.802 | 9.43 × 10−22 | 1.45 × 105 |
| 1500 | −14.022 | −3.593 | 1.09 × 10−16 | 9.65 × 104 |
Publisher’s Note: MDPI stays neutral with regard to jurisdictional claims in published maps and institutional affiliations. |
© 2021 by the authors. Licensee MDPI, Basel, Switzerland. This article is an open access article distributed under the terms and conditions of the Creative Commons Attribution (CC BY) license (https://creativecommons.org/licenses/by/4.0/).
Share and Cite
Zhang, C.; Li, Z.; Wang, W. Critical Thermodynamic Conditions for the Formation of p-Type β-Ga2O3 with Cu Doping. Materials 2021, 14, 5161. https://doi.org/10.3390/ma14185161
Zhang C, Li Z, Wang W. Critical Thermodynamic Conditions for the Formation of p-Type β-Ga2O3 with Cu Doping. Materials. 2021; 14(18):5161. https://doi.org/10.3390/ma14185161
Chicago/Turabian StyleZhang, Chuanyu, Zhibing Li, and Weiliang Wang. 2021. "Critical Thermodynamic Conditions for the Formation of p-Type β-Ga2O3 with Cu Doping" Materials 14, no. 18: 5161. https://doi.org/10.3390/ma14185161
APA StyleZhang, C., Li, Z., & Wang, W. (2021). Critical Thermodynamic Conditions for the Formation of p-Type β-Ga2O3 with Cu Doping. Materials, 14(18), 5161. https://doi.org/10.3390/ma14185161

