New Coordination Polymers of Selected Lanthanides with 1,2-Phenylenediacetate Linker: Structures, Thermal and Luminescence Properties
Abstract
:1. Introduction
2. Materials and Methods
2.1. Synthesis of Coordination Polymers
2.2. Methods
2.3. Single-Crystal Structure Determination and Refinement
3. Results and Discussion
3.1. Powder X-ray Diffraction Studies
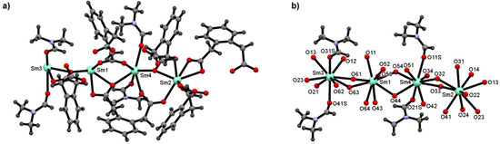
3.2. Crystal Structure Description for 2 and 3 Complexes
3.3. Infrared Spectra of Metal Complexes
3.4. Thermal Analysis in Air and Nitrogen Atmosphere
3.5. Luminescence Investigations
4. Conclusions
Supplementary Materials
Author Contributions
Funding
Institutional Review Board Statement
Informed Consent Statement
Data Availability Statement
Conflicts of Interest
References
- Kanoo, P.; Matsuda, R.; Higuchi, M.; Kitagawa, S.; Maji, T.K. New Interpenetrated Copper Coordination Polymer Frameworks having Porous Properties. Chem. Mater. 2009, 21, 5860–5866. [Google Scholar] [CrossRef]
- Akiyama, G.; Matsuda, R.; Sato, H.; Hori, A.; Takata, M.; Kitagawa, S. Effect of functional groups in MIL-101 on water sorption behavior. Microporous Mesoporous Mater. 2012, 157, 89–93. [Google Scholar] [CrossRef]
- Higuchi, M.; Nakamura, K.; Horike, S.; Hijikata, Y.; Yanai, N.; Fukushima, T.; Kim, J.; Kato, K.; Takata, M.; Watanabe, D.; et al. Design of Flexible Lewis Acidic Sites in Porous Coordination Polymers by using the Viologen Moiety. Angew. Chem. Int. Ed. 2012, 51, 8369–8372. [Google Scholar] [CrossRef]
- Cook, T.R.; Zheng, Y.R.; Stang, P.J. Metal–Organic Frameworks and Self-Assembled Supramolecular Coordination Complexes: Comparing and Contrasting the Design, Synthesis, and Functionality of Metal–Organic Materials. Chem. Rev. 2013, 113, 734–777. [Google Scholar] [CrossRef] [Green Version]
- Foo, M.L.; Matsuda, R.; Kitagawa, S. Functional Hybrid Porous Coordination Polymers. Chem. Mater. 2014, 26, 310–322. [Google Scholar] [CrossRef]
- Furukawa, S.; Reboul, J.; Diring, S.; Sumida, K.; Kitagawa, S. Structuring of metal–organic frameworks at the mesoscopic/macroscopic scale. Chem. Soc. Rev. 2014, 43, 5700–5734. [Google Scholar] [CrossRef] [PubMed]
- Yaghi, O.M.; Li, H. Hydrothermal Synthesis of a Metal-Organic Framework Containing Large Rectangular Channels. J. Am. Chem. Soc. 1995, 117, 10401–10402. [Google Scholar] [CrossRef]
- Li, B.; Wen, H.-M.; Cui, Y.; Qian, G.; Chen, B. Multifunctional lanthanide coordination polymers. Prog. Polym. Sci. 2015, 48, 40–84. [Google Scholar] [CrossRef]
- Kumar, G.; Singh, A.P.; Gupta, R. Synthesis, Structures, and Heterogeneous Catalytic Applications of {Co3+–Eu3+} and {Co3+–Tb3+} Heterodimetallic Coordination Polymers. Eur. J. Inorg. Chem. 2010, 32, 5103–5112. [Google Scholar] [CrossRef]
- Bünzli, J.-C.; Pecharsky, V.K. Handbook on the Physics and Chemistry of Rare Earths; North-Holland: Amsterdam, The Netherlands, 2015. [Google Scholar]
- Zhou, S.-L.; Wang, S.-W.; Yang, G.-S.; Liu, X.-Y.; Sheng, E.-H.; Zhang, K.-H.; Cheng, L.; Huang, Z.-X. Synthesis, structure, and catalytic activity of tetracoordinate lanthanide amides [(Me3Si)2N]3Ln(μ-Cl)Li(THF)3 (Ln=Nd, Sm, Eu). Polyhedron 2003, 22, 1019–1024. [Google Scholar] [CrossRef]
- Yeşilel, O.Z.; Wriedt, M. Lanthanide(III) coordination polymers constructed from 2,2- and 3,3-dimethylglutarate ligands. Polyhedron 2019, 169, 32–38. [Google Scholar] [CrossRef]
- Wei, N.; Zhang, M.-Y.; Zhang, X.-N.; Li, G.-M.; Zhang, X.-D.; Han, Z.-B. Two Series of Solvent-Dependent Lanthanide Coor-dination Polymers Demonstrating Tunable Luminescence and Catalysis Properties. Cryst. Growth Des. 2014, 14, 3002–3009. [Google Scholar] [CrossRef]
- Kuznetsova, A.; Matveevskaya, V.; Pavlov, D.; Yakunenkov, A.; Potapov, A. Coordination Polymers Based on Highly Emissive Ligands: Synthesis and Functional Properties. Materials 2020, 13, 2699. [Google Scholar] [CrossRef] [PubMed]
- Demakov, P.A.; Bogomyakov, A.S.; Urlukov, A.S.; Andreeva, A.Y.; Samsonenko, D.G.; Dybtsev, D.N.; Fedin, V.P. Transition Metal Coordination Polymers with Trans-1,4-Cyclohexanedicarboxylate: Acidity-Controlled Synthesis, Structures and Properties. Materials 2020, 13, 486. [Google Scholar] [CrossRef] [PubMed] [Green Version]
- Xiang, Z.; Peng, X.; Cheng, X.; Li, X.; Cao, D. CNT@Cu3(BTC)2 and Metal–Organic Frameworks for Separation of CO2/CH4 Mixture. J. Phys. Chem. C 2011, 115, 19864–19871. [Google Scholar] [CrossRef]
- He, J.; Waggoner, N.W.; Dunning, S.G.; Steiner, A.; Lynch, V.M.; Humphrey, S.M. A PCP Pincer Ligand for Coordination Polymers with Versatile Chemical Reactivity: Selective Activation of CO2 Gas over CO Gas in the Solid State. Angew. Chem. Int. Ed. 2016, 55, 12351–12355. [Google Scholar] [CrossRef] [PubMed] [Green Version]
- Koh, K.; Wong-Foy, A.G.; Matzger, A.J. A Porous Coordination Copolymer with over 5000 m2/g BET Surface Area. J. Am. Chem. Soc. 2009, 131, 4184–4185. [Google Scholar] [CrossRef]
- Chang, H.-Y.; Yang, X.-K.; Chhetri, P.M.; Chen, C.-H.; Liu, Y.-F.; Chen, J.-D. Structure-directing roles of phenylenediacetate ligands in the formation of N,N′-di(3-pyridyl)adipoamide-based coordination networks. Polyhedron 2016, 106, 32–39. [Google Scholar] [CrossRef]
- Czarnecki, C.R.; LaDuca, R.L. Structural diversity and dye degradation capability of copper 1,2-phenylenediacetate coordination polymers with flexible dipyridylamide ligands. Polyhedron 2019, 161, 161–168. [Google Scholar] [CrossRef]
- Liu, D.; Chang, Y.-J.; Lang, J.-P. Ligand geometry-driven formation of different coordination polymers from Zn(NO3)2, 1,4-bpeb and phenylenediacetic acids. CrystEngComm 2011, 13, 1851–1857. [Google Scholar] [CrossRef]
- Pumford, S.R.; LaDuca, R.L. Nitrobenzene-detecting 2D and 3D cadmium phenylenediamine coordination polymers with N,N′-ethylenediaminebis(isonicotinamide) auxiliary ligands. Inorg. Chim. Acta 2016, 453, 618–625. [Google Scholar] [CrossRef]
- Xin, L.-Y.; Liu, G.-Z.; Wang, L.-Y. New coordination polymers from 1D chain, 2D layer to 3D framework constructed from 1,2-phenylenediacetic acid and 1,3-bis(4-pyridyl)propane flexible ligands. J. Solid State Chem. 2011, 184, 1387–1392. [Google Scholar] [CrossRef]
- Zhang, M.-L.; Zheng, Y.-J.; Ma, Z.-Z.; Ren, Y.-X.; Wang, J.-J. Synthesis, structure, and luminescent properties of zinc(II) com-plexes based on flexible phenylenediacetate ligand. Polyhedron 2018, 154, 473–479. [Google Scholar] [CrossRef]
- Groom, C.R.; Bruno, I.J.; Lightfoot, M.P.; Ward, S.C. The Cambridge Structural Database. Acta Cryst. 2016, B72, 171–179. [Google Scholar] [CrossRef] [PubMed]
- Badiane, I.; Freslon, S.; Suffren, Y.; Daiguebonne, C.; Calvez, G.; Bernot, K.; Camara, M.; Guillou, O. Lanthanide coordination polymers with 1,2-phenylenediacetate. Inorg. Chim. Acta 2017, 461, 136–144. [Google Scholar] [CrossRef]
- Li, X.; Wang, C.; Zheng, X.; Zou, Y. Hydrothermal synthesis and crystal structure of two new lanthanide coordination polymers with 1,2-phenylenediacetate. J. Coord. Chem. 2008, 61, 1127–1136. [Google Scholar] [CrossRef]
- Li, Z.-Y.; Li, J.-Y.; Pei, L.-L.; Zhang, X.-F.; Cao, G.-X.; Zhang, C.; Li, S.-Z.; Zhai, B. One three-dimensional Gd(III) coordination polymer with 1,2-phenylenediacetate exhibiting ferromagnetic interaction and large magnetocaloric effect. Inorg. Chem. Commun. 2018, 87, 20–23. [Google Scholar] [CrossRef]
- Ma, J.; Jiang, F.-L.; Chen, L.; Wu, M.-Y.; Zhang, S.-Q.; Han, D.; Feng, R.; Hong, M.-C. Construction of 5-Aminodiacetic Isophthalate Based Nickel(II) Complexes with Diverse Topologies through Modulating the Auxiliary Ligands. Cryst. Growth Des. 2011, 11, 3273–3281. [Google Scholar] [CrossRef]
- Lian, F.-Y.; Jiang, F.-L.; Yuan, D.-Q.; Chen, J.-T.; Wu, M.-Y.; Hong, M.-C. Cd(II)-sulfonyldibenzoilate coordination polymers based on mono-, bi-, tri- and tetranuclear cores as nodes. CrystEngComm 2008, 10, 905–914. [Google Scholar] [CrossRef]
- Liu, L.; Ran, Y.; Cao, M.; Zhao, X.; Mu, Y. Effect of solvent/auxiliary ligand on the structures of Cd(II) coordination polymers based on ligand 5-(2-benzothiazolyl)isophthalic acid. Polyhedron 2021, 199, 115103. [Google Scholar] [CrossRef]
- Gu, J.-Z.; Lv, D.-Y.; Gao, Z.-Q.; Liu, J.-Z.; Dou, W.; Tang, Y. Synthesis, structures, luminescent and magnetic properties of four coordination polymers with the flexible 1,3-phenylenediacetate ligands. J. Solid State Chem. 2011, 184, 675–683. [Google Scholar] [CrossRef]
- Dong, J.; Zhao, D.; Lu, Y.; Sun, W.-Y. Photoluminescent metal–organic frameworks and their application for sensing biomolecules. J. Mater. Chem. A 2019, 7, 22744–22767. [Google Scholar] [CrossRef]
- Lustig, W.P.; Li, J. Luminescent metal–organic frameworks and coordination polymers as alternative phosphors for energy efficient lighting devices. Coord. Chem. Rev. 2018, 373, 116–147. [Google Scholar] [CrossRef]
- Roy, S.; Chakraborty, A.; Maji, T.K. Lanthanide–organic frameworks for gas storage and as magneto-luminescent materials. Coord. Chem. Rev. 2014, 273–274, 139–164. [Google Scholar] [CrossRef]
- Rasheed, T.; Nabeel, F. Luminescent metal-organic frameworks as potential sensory materials for various environmental toxic agents. Coord. Chem. Rev. 2019, 401, 213065. [Google Scholar] [CrossRef]
- Cui, Y.; Zhang, J.; He, H.; Qian, G. Photonic functional metal–organic framework. Chem. Soc. Rev. 2018, 47, 5740–5785. [Google Scholar] [CrossRef] [PubMed]
- Hu, Z.; Deibert, B.J.; Li, J. Luminescent metal–organic frameworks for chemical sensing and explosive detection. Chem. Soc. Rev. 2014, 43, 5815–5840. [Google Scholar] [CrossRef] [Green Version]
- Łyszczek, R.; Rusinek, I.; Sienkiewicz-Gromiuk, J.; Iwan, M.; Pavlyuk, O. 3-D lanthanide coordination polymers with the flexible 1,3-phenylenediacetate linker: Spectroscopic, structural and thermal investigations. Polyhedron 2019, 159, 93–101. [Google Scholar] [CrossRef]
- Łyszczek, R.; Głuchowska, H.; Cristóvão, B.; Tarasiuk, B. New lanthanide biphenyl-4,4′-diacetates – Hydrothermal synthesis, spectroscopic, magnetic and thermal investigations. Thermochim. Acta 2016, 645, 16–23. [Google Scholar] [CrossRef]
- Łyszczek, R.; Ostasz, A.; Bartyzel, A.; Lipke, A. Thermal, spectroscopic and luminescence investigations of lanthanide(III) coordination polymers based on V-shaped 4,4′-sulfonyldibenzoic acid. J. Anal. Appl. Pyrolysis 2015, 115, 370–378. [Google Scholar] [CrossRef]
- Łyszczek, R.; Podkościelna, B.; Lipke, A.; Puszka, A. Synthesis and thermal characterization of luminescent hybrid composites based on bisphenol A diacrylate and NVP. J. Therm. Anal. Calorim. 2019, 138, 4463–4473. [Google Scholar] [CrossRef] [Green Version]
- Sienkiewicz-Gromiuk, J.; Rzączyńska, Z. Structural, thermal, and spectral investigations of the lanthanide(III) biphenyl-4,4′-dicarboxylates. J. Therm. Anal. Calorim. 2013, 112, 877–884. [Google Scholar] [CrossRef] [Green Version]
- Sienkiewicz-Gromiuk, J.; Rusinek, I.; Kurach, Ł.; Rzączyńska, Z. Thermal and spectroscopic (IR, XPS) properties of lanthanide(III)benzene-1,3,5-triacetate complexes. J. Therm. Anal. Calorim. 2016, 126, 327–342. [Google Scholar] [CrossRef] [Green Version]
- Gil-Kowalczyk, M.; Łyszczek, R.; Jusza, A.; Piramidowicz, R. Thermal, Spectroscopy and Luminescent Characterization of Hybrid PMMA/Lanthanide Complex Materials. Materials 2021, 14, 3156. [Google Scholar] [CrossRef] [PubMed]
- Boultif, A.; Louër, D. Program for the automatic indexing of powder diffraction patterns by the successive dichotomy method. J. Appl. Crystallogr. 2004, 37, 724–731. [Google Scholar] [CrossRef]
- Rodríguez-Carvajal, J. FullProf Suite 2011 v.2.05; Laboratoire Léon Brillouin (CEA-CNRS), Centre ďÉtudes de Saclay: Gif sur Yvette, France, 2011. [Google Scholar]
- De Wolff, P.M. A simplified criterion for the reliability of a powder pattern indexing. J. Appl. Crystallogr. 1968, 1, 108–113. [Google Scholar] [CrossRef]
- Smith, G.S.; Snyder, R.L. FN: A criterion for rating powder diffraction patterns and evaluating the reliability of powder-pattern indexing. J. Appl. Crystallogr. 1979, 12, 60–65. [Google Scholar] [CrossRef]
- Macrae, C.F.; Sovago, I.; Cottrell, S.J.; Galek, P.T.A.; McCabe, P.; Pidcock, E.; Platings, M.; Shields, G.P.; Stevens, J.S.; Towler, M.; et al. Mercury 4.3.1: From visualization to analysis, design and prediction. J. Appl. Crystallogr. 2020, 53, 226–235. [Google Scholar] [CrossRef] [Green Version]
- CrysAlis PRO; Agilent Technologies Ltd.: Yarnton, Oxfordshire, UK, 2013.
- Sheldrick, G.M. Crystal structure refinement with SHELXL. Acta Crystallogr. Sect. C Struct. Chem. 2015, 71, 3–8. [Google Scholar] [CrossRef]
- Dolomanov, O.V.; Bourhis, L.J.; Gildea, R.J.; Howard, J.A.K.; Puschmann, H. OLEX2: A complete structure solution, refinement and analysis program. J. Appl. Crystallogr. 2009, 42, 339–341. [Google Scholar] [CrossRef]
- Spek, A.L. Single-crystal structure validation with the program PLATON. J. Appl. Crystallogr. 2003, 36, 7–13. [Google Scholar] [CrossRef] [Green Version]
- Steiner, T. C–H···O hydrogen bonding in crystals. Crystallogr. Rev. 2003, 9, 177–228. [Google Scholar] [CrossRef]
- Braga, D.; Grepioni, F. C—H…O Hydrogen bonds in organometallic crystals. In Intermolecular Interactions; Springer: Boston, MA, USA, 2016. [Google Scholar]
- Silverstein, R.M.; Webster, F.X. Spectrometric Identification of Organic Compounds, 6th ed.; Wiley: New York, NY, USA, 1996. [Google Scholar]
- Gökce, H.; Bahçeli, S. Quantum chemical computations of 1,3-phenylenediacetic acid. Spectrochim. Acta 2011, A78, 803–808. [Google Scholar] [CrossRef]
- Głuchowska, H.; Łyszczek, R.; Jusza, A.; Piramidowicz, R. Effect of N,N′-dimethylformamide solvent on structure and thermal properties of lanthanide(III) complexes with flexible biphenyl-4,4′-dioxydiacetic acid. J. Therm. Anal. Calorim. 2021. [Google Scholar] [CrossRef]
- Muzart, J. N,N-Dimethylformamide: Much more than a solvent. Tetrahedron 2009, 65, 8313–8323. [Google Scholar] [CrossRef]
- Lindenmaier, R.; Scharko, N.K.; Tonkyn, R.G.; Nguyen, K.T.; Williams, S.D.; Johnson, T.J. Improved assignments of the vibrational fundamental modes of ortho-, meta-, and para-xylene using gas- and liquid-phase infrared and Raman spectra combined with ab initio calculations: Quantitative gas-phase infrared spectra for detection. J. Mol. Struct. 2017, 1149, 332e–351e. [Google Scholar] [CrossRef]
- Chen, J.G.; Basu, P.; Ballinger, T.H.; Yates, J.T., Jr. A Transmission Infrared Spectroscopic Investigation of the Reaction of Dimethyl Ether with Alumina Surfaces. Langmuir 1989, 5, 352–356. [Google Scholar] [CrossRef]
- Głuchowska, H.; Łyszczek, R.; Mazur, L.; Kirillov, A.M. Structural and Thermal Investigations of Co(II) and Ni(II) Coordination Polymers Based on biphenyl-4,4′-dioxydiacetate Linker. Materials 2021, 14, 3545. [Google Scholar] [CrossRef]
- Massabni, A.M.G.; Montandon, G.J.M.; Couto dos Santos, M.A. Synthesis and luminescence spectroscopy of YNbO4 doped with Eu(III). Mater. Res. 1998, 1, 1–4. [Google Scholar] [CrossRef]
- Binnemans, K. Interpretation of europium(III) spectra. Coord. Chem. Rev. 2015, 295, 1–45. [Google Scholar] [CrossRef] [Green Version]
- Raphael, S.; Reddy, M.L.P.; Cowley, A.H.; Findlater, M. 2-Thiopheneacetato-Based One-Dimensional Coordination Polymer of Tb3+: Enhancement of Terbium-Centered Luminescence in the Presence of Bidentate Nitrogen Donor Ligands. Eur. J. Inorg. Chem. 2008, 2008, 4387–4394. [Google Scholar] [CrossRef]
- Cichos, J.; Karbowiak, M.; Hreniak, D.; Strek, W. Influence of coating on the photoluminescence of Tb3+ doped ZnSe/ZnS core-shell quantum dots. J. Rare Earth 2016, 34, 828–832. [Google Scholar] [CrossRef]
- Song, L.; Wang, Q.; Tang, D.; Liu, H.; Zhen, Z. Crystal structure and near-infrared luminescence properties of novel binuclear erbium and erbium–ytterbium cocrystalline complexes. New J. Chem. 2007, 31, 506–511. [Google Scholar] [CrossRef]
- Song, L.; Wang, J.; Hu, J.; Liu, X.; Zhen, Z. Synthesis and optical properties of a new fluorinated erbium complex/polymer composite material. J. Alloys Compd. 2009, 473, 201–205. [Google Scholar] [CrossRef]
- Heine, J.; Müller-Buschbaum, K. Engineering metal-based luminescence in coordination polymers and metal–organic Frame-work. Chem. Soc. Rev. 2013, 42, 9232–9242. [Google Scholar] [CrossRef]
- Kozlov, M.I.; Aslandukov, A.N.; Vashchenko, A.A.; Medvedko, A.V.; Aleksandrov, A.E.; Grzibovskis, R.; Goloveshkin, A.S.; Lepnev, L.S.; Tameev, A.R.; Vembris, A.; et al. On the development of a new approach to the design of lanthanide-based materials for solution processed OLEDs. Dalton Trans. 2019, 48, 17298–17309. [Google Scholar] [CrossRef]
- Martin-Ramos, P.; Ramos-Silva, M. Lanthanide-Based Multifunctional Materials: From OLEDs to SIMs, 1st ed.; Elsevier: Oxford, UK, 2018. [Google Scholar]










| Compound | 2 | 3 |
|---|---|---|
| Empirical formula | Sm2C36H38N2O14 | Eu2C36H38N2O14 |
| Formula weight | 1023.38 | 1026.6 |
| Crystal system | orthorhombic | |
| Space group | Pca21 | |
| T (K) | 293 | |
| a (Å) | 9.2162(3) | 9.2186(3) |
| b (Å) | 24.8911(6) | 24.9274(8) |
| c (Å) | 32.4352(8) | 32.3941(12) |
| Z | 8 | |
| V (Å3) | 7440.7(4) | 7444.0(4) |
| Dcalc (Mg∙m−3) | 1.827 | 1.832 |
| F(000) | 4032 | 4048 |
| Measured/used reflections/refined parameters | 65,341/19,700/982 | 68,483/19,805/982 |
| Rint | 0.062 | 0.070 |
| Theta range (°) | 2.7–30.6 | 2.5–31.0 |
| Goodness-of-fit on F2 | 1.05 | 1.02 |
| Final R indices [I > 2σ(I)] | R1 = 0.046, wR2 = 0.090 | R1 = 0.047, wR2 = 0.071 |
| R indices (all data) | R1 = 0.070, wR2 = 0.081 | R1 = 0.073, wR2 = 0.081 |
| Lattice Parameters | PXRD Data Refined by DICVOL06 | |||||
|---|---|---|---|---|---|---|
| Pr(1) | Sm(2) | Eu(3) | Tb(4) | Dy(5) | Er(6) | |
| System | orthorhombic | orthorhombic | orthorhombic | monoclinic | monoclinic | monoclinic |
| a [Å] | 31.9051 | 32.4828 | 32.4089 | 22.9013 | 22.9579 | 22.9974 |
| b [Å] | 25.9574 | 24.8624 | 24.9118 | 7.9797 | 7.9729 | 7.9872 |
| c [Å] | 8.9789 | 9.2103 | 9.2154 | 12.8991 | 12.8946 | 12.8856 |
| α [°] | 90.00 | 90.00 | 90.00 | 90 | 90 | 90 |
| β [°] | 90.00 | 90.00 | 90.00 | 97.223 | 97.251 | 97.305 |
| γ [°] | 90.00 | 90.00 | 90.00 | 90 | 90 | 90 |
| V [Å3] | 7436.09 | 7438.24 | 7440.18 | 2338.55 | 2341.36 | 2347.67 |
| M(20) | 6.4 | 5.7 | 12.5 | 7.3 | 8.0 | 8.4 |
| F(20) | 12.1 (0.0115, 144) | 14.2 (0.0112, 126) | 28.7 (0.0063, 110) | 15.9 (0.0161, 78) | 14.2 (0.0129, 109) | 18.5 (0.0130, 83) |
| Complex | ΔT1 (°C) | Evolved Molecules | Mass Loss (%) | ΔT2 (°C) | Mass Loss (%) | Residue | ||
|---|---|---|---|---|---|---|---|---|
| Found | Calc. | Found | Calc. | |||||
| Pr2(1,2-pda)3(DMF)2 | 120–255 | 2DMF | 15.23 | 14.55 | 246–665 | 66.43 | 67.3 | Pr6O11 |
| [Sm2(1,2-pda)3(DMF)2]n | 138–219 | DMF | 7.5 | 7.14 | - | - | - | - |
| 220–292 | DMF | 7.23 | 7.14 | 300–803 | 66.63 | 66.72 | Sm2O3 | |
| [Eu2(1,2-pda)3(DMF)2]n | 146–208 | DMF | 7.62 | 7.12 | - | - | - | - |
| 209–346 | DMF | 7.34 | 7.12 | 350–810 | 66.96 | 65.71 | Eu2O3 | |
| Tb2(1,2-pda)3(DMF)2 | 35–323 | 2DMF | 15.23 | 14.05 | 325–930 | 63.67 | 64.08 | Tb4O7 |
| Dy2(1,2-pda)3(DMF)2 | 40–327 | 2DMF | 13.2 | 13.95 | 328–820 * | 63.15 | 64.4 | Dy2O3 |
| Er2(1,2-pda)3(DMF)2 | 80–352 | 2DMF | 13.65 | 13.83 | 355–850 | 62.56 | 63.18 | Er2O3 |
Publisher’s Note: MDPI stays neutral with regard to jurisdictional claims in published maps and institutional affiliations. |
© 2021 by the authors. Licensee MDPI, Basel, Switzerland. This article is an open access article distributed under the terms and conditions of the Creative Commons Attribution (CC BY) license (https://creativecommons.org/licenses/by/4.0/).
Share and Cite
Łyszczek, R.; Rusinek, I.; Ostasz, A.; Sienkiewicz-Gromiuk, J.; Vlasyuk, D.; Groszek, M.; Lipke, A.; Pavlyuk, O. New Coordination Polymers of Selected Lanthanides with 1,2-Phenylenediacetate Linker: Structures, Thermal and Luminescence Properties. Materials 2021, 14, 4871. https://doi.org/10.3390/ma14174871
Łyszczek R, Rusinek I, Ostasz A, Sienkiewicz-Gromiuk J, Vlasyuk D, Groszek M, Lipke A, Pavlyuk O. New Coordination Polymers of Selected Lanthanides with 1,2-Phenylenediacetate Linker: Structures, Thermal and Luminescence Properties. Materials. 2021; 14(17):4871. https://doi.org/10.3390/ma14174871
Chicago/Turabian StyleŁyszczek, Renata, Iwona Rusinek, Agnieszka Ostasz, Justyna Sienkiewicz-Gromiuk, Dmytro Vlasyuk, Marcin Groszek, Agnieszka Lipke, and Oleksiy Pavlyuk. 2021. "New Coordination Polymers of Selected Lanthanides with 1,2-Phenylenediacetate Linker: Structures, Thermal and Luminescence Properties" Materials 14, no. 17: 4871. https://doi.org/10.3390/ma14174871
APA StyleŁyszczek, R., Rusinek, I., Ostasz, A., Sienkiewicz-Gromiuk, J., Vlasyuk, D., Groszek, M., Lipke, A., & Pavlyuk, O. (2021). New Coordination Polymers of Selected Lanthanides with 1,2-Phenylenediacetate Linker: Structures, Thermal and Luminescence Properties. Materials, 14(17), 4871. https://doi.org/10.3390/ma14174871

