Structural and Thermal Investigations of Co(II) and Ni(II) Coordination Polymers Based on biphenyl-4,4′-dioxydiacetate Linker
Abstract
:1. Introduction
2. Materials and Methods
2.1. Synthesis of Coordination Polymers and Preparation of Metal Oxides
2.2. Materials Characterization
2.3. Single Crystal X-ray Diffraction
2.4. Topological Analysis
3. Results
3.1. Crystal Structure Description
3.2. Analysis of Infrared Spectra
3.3. Thermal Analysis in Air
3.4. PXRD Analysis of Metal Oxides
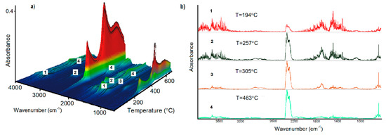
3.5. TG-FTIR Analysis
4. Conclusions
Supplementary Materials
Author Contributions
Funding
Institutional Review Board Statement
Informed Consent Statement
Data Availability Statement
Acknowledgments
Conflicts of Interest
References
- Robin, A.Y.; Fromm, K.M. Coordination polymer networks with O-and N-donors: What they are, why and how they are made? Coord. Chem. Rev. 2006, 250, 2127–2157. [Google Scholar] [CrossRef]
- Janiak, C.; Vieth, J.K. MOFs, MILs and more: Concepts, properties and applications for porous coordination networks (PCNs). New J. Chem. 2010, 34, 2366–2388. [Google Scholar] [CrossRef]
- Batten, S.R.; Neville, S.M.; Turner, D.R. Coordination Polymers: Design, Analysis and Application; Royal Society of Chemistry Publishing: Cambridge, UK, 2009. [Google Scholar]
- Morsali, A.; Hashemi, L. Main Group Metal Coordination Polymers: Structures and Nanostructures; John Wiley & Sons: Hoboken, NJ, USA, 2017. [Google Scholar]
- Allendorf, M.D.; Stavila, V. Crystal engineering, structure–function relationships, and the future of metal–organic frameworks. Cryst. Eng. Comm. 2015, 17, 229–246. [Google Scholar] [CrossRef]
- Mohideen, M.I.H.; Pillai, R.S.; Adil, K.; Bhatt, P.M.; Belmabkhout, Y.; Shkurenko, A.; Maurin, G.; Eddaoud, M. A Fine-tuned mof for gas and vapor separation: A multipurpose adsorbent for acid gas removal, dehydration, and btx sieving. Chem 2017, 3, 822–833. [Google Scholar] [CrossRef]
- Wang, H.; Li, K.; Sun, Y.; Lollar, C.T.; Li, J.; Zhou, H.-C. Recent advances in gas storage and separation using metal–organic frameworks. Mater. Today 2018, 21, 108–121. [Google Scholar]
- Zheng, L.-N.; Yan, Y.-T.; Ding, T.; Xue, N. Construction and magnetic properties of cobalt(II) and manganese(II) coordination polymers based on N-heterocyclic carboxylate bifunctional ligands. Inorg. Chim. Acta 2021, 515, 120054. [Google Scholar] [CrossRef]
- Kuznetsova, A.; Matveevskaya, V.; Pavlov, D.; Yakunenkov, A.; Potapov, A. Coordination Polymers Based on Highly Emissive Ligands: Synthesis and Functional Properties. Materials 2020, 13, 2699. [Google Scholar] [CrossRef]
- Amini, A.; Kazemi, S.; Safarifard, V. Metal-organic framework-based nanocomposites for sensing applications–a review. Polyhedron 2020, 177, 114260. [Google Scholar] [CrossRef]
- Lippi, M.; Cametti, M. Highly dynamic 1D coordination polymers for adsorption and separation applications. Coord. Chem. Rev. 2021, 430, 213661. [Google Scholar] [CrossRef]
- Liu, J.-M.; Hou, J.-X.; Liu, J.; Jing, X.; Lia, L.-J.; Du, J.-L. Pyrazinyl-functionalized Zr(IV)-MOF for ultrasensitive detection of tyrosine/TNPand efficient CO2/N2 separation. J. Mater. Chem. C 2019, 7, 11851–11857. [Google Scholar] [CrossRef]
- Jaros, S.W.; Sokolnicki, J.; Woloszyn, A.; Haukka, M.; Kirillov, A.M.; Smoleński, P. A Novel 2D Coordination Network Built from Hexacopper(I)-Iodide Clusters and Cagelike Aminophosphine Blocks for Reversible “Turn-On” Sensing of Aniline. J. Mater. Chem. C 2018, 6, 1670–1678. [Google Scholar] [CrossRef]
- Huang, W.; Jiang, J.; Wu, D.; Xu, J.; Xue, B.; Kirillov, A.M. A Highly Stable Nanotubular MOF Rotator for Selective Adsorption of Benzene and Separation of Xylene Isomers. Inorg. Chem. 2015, 54, 10524–10526. [Google Scholar] [CrossRef] [PubMed]
- Raptopoulou, C.P. Metal-Organic Frameworks: Synthetic Methods and Potential Applications. Materials 2021, 14, 310. [Google Scholar] [CrossRef]
- Wen, J.; Fang, Y.; Zeng, G. Progress and prospect of adsorptive removal of heavy metal ions from aqueous solution using metal–organic frameworks: A review of studies from the last decade. Chemosphere 2018, 201, 627–643. [Google Scholar] [CrossRef] [PubMed]
- Lustig, W.P.; Li, J. Luminescent metal-organic frameworks and coordination polymers as alternative phosphors for energy efficient lighting devices. Coord. Chem. Rev. 2018, 373, 116–147. [Google Scholar] [CrossRef]
- Rancan, M.; Armelao, L. Exploiting dimensional variability in coordination polymers: Solvent promotes reversible conversion between 3D and chiral 1D architectures. Chem. Commun. 2015, 51, 12947–12949. [Google Scholar] [CrossRef] [PubMed]
- Rancan, M.; Carlotto, A.; Bottaro, G.; Armelao, L. Effect of coordinating solvents on the structure of Cu(II)-4,4’-bipyridine coordination polymers. Inorganics 2019, 7, 103. [Google Scholar] [CrossRef] [Green Version]
- Noro, S.; Kitaura, R.; Kondo, M.; Kitagawa, S.; Ishii, T.; Matsuzaka, H.; Yamashita, M. Framework engineering by anions and porous functionalities of Cu(II)/4,40-bpy coordination polymers. J. Am. Chem. Soc. 2002, 124, 2568–2583. [Google Scholar] [CrossRef]
- Rizzato, S.; Moret, M.; Beghi, F.; Lo Presti, L. Crystallization and structural properties of a family of isotopological 3D-networks: The case of a 4,4’-bipy ligand–M2+ triflate system. CrystEngComm 2018, 20, 3784–3795. [Google Scholar] [CrossRef]
- Kondo, A.; Kajiro, H.; Noguchi, H.; Carlucci, L.; Proserpio, D.M.; Ciani, G.; Kato, K.; Takata, M.; Seki, H.; Sakamoto, M.; et al. Super flexibility of a 2D Cu-based porous coordination framework on gas adsorption in comparison with a 3D framework of identical composition: Framework dimensionality-dependent gas adsorptivities. J. Am. Chem. Soc. 2011, 133, 10512–10522. [Google Scholar] [CrossRef]
- Yaghi, O.M. Reticular Chemistry: Molecular Precision in Infinite 2D and 3D. Mol. Front. J. 2019, 3, 66–83. [Google Scholar] [CrossRef]
- Sanati, S.; Abazari, R.; Morsali, A.; Kirillov, A.M.; Junk, P.C.; Wang, J. An Asymmetric Supercapacitor Based on a Non-Calcined 3D Pillared Cobalt(II) Metal–Organic Framework with Long Cyclic Stability. Inorg. Chem. 2019, 58, 16100–16111. [Google Scholar] [CrossRef] [PubMed]
- Han, F.; Cao, S.; Ding, H.; Chen, Z.; Zhang, Q.; Xu, S.D. Two mixed-ligand Cd(II)-coordination polymers: Structural diversity and antitumor activity against human osteogenic sarcoma cells. Inorg. Nano-Metal Chem. 2020, 50, 880–887. [Google Scholar] [CrossRef]
- Thuéry, P.; Atoini, Y.; Harrowfield, J. Structure-Directing Effects of Coordinating Solvents, Ammonium and Phosphonium Counterions in Uranyl Ion Complexes with 1,2-, 1,3-, and 1,4-Phenylenediacetates. Inorg. Chem. 2020, 59, 2503–2518. [Google Scholar] [CrossRef] [PubMed] [Green Version]
- Newsome, W.J.; Ayad, S.; Cordova, J.; Reinheimer, E.W.; Campiglia, A.D.; Harper, J.K.; Hanson, K.; Uribe-Romo, F.J. Solid State Multicolor Emission in Substitutional Solid Solutions of Metal–Organic Frameworks. J. Am. Chem. Soc. 2019, 141, 11298–11303. [Google Scholar] [CrossRef]
- Barsukova, M.O.; Sapchenko, S.A.; Kovalenko, K.A.; Samsonenko, D.G.; Potapov, A.S.; Dybtsev, D.N.; Fedin, V.P. Exploring the multifunctionality in metal–organic framework materials: How do the stilbenedicarboxylate and imidazolyl ligands tune the characteristics of coordination polymers? New J. Chem. 2018, 42, 6408–6415. [Google Scholar] [CrossRef]
- Paz, F.A.A.; Klinowski, J.; Vilela, S.M.F.; Tomé, J.P.C.; Cavaleiro, J.A.S.; Rocha, J. Ligand design for functional metal–organic frameworks. Chem. Soc. Rev. 2012, 41, 1088–1110. [Google Scholar]
- Liu, C.-S.; Sañudo, E.C.; Hu, M.; Zhou, L.-M.; Guo, L.-Q.; Ma, S.-T.; Gao, L.-J.; Fang, S.-M. Metal–organic coordination polymers based on a flexible tetrahydrofuran-2,3,4,5-tetracarboxylate ligand: Syntheses, crystal structures, and magnetic/photoluminescent properties. CrystEngComm 2010, 12, 853–865. [Google Scholar] [CrossRef]
- Liu, J.-Q.; Wu, J.; Wu, T. A Luminescent eight-coordinated 2D Cd(II) framework material with flexible multi-carboxylate ligand. Synth. React. Inorg. Met. Chem. 2010, 40, 231–236. [Google Scholar] [CrossRef]
- Yang, K.-N.; Yuan, K.-D.; Jiang, L.-L.; Zhang, Y. A new Pb(II)-based coordination polymer constructed from a semirigid tricarboxylate ligand: Crystal structure and anti-lung cancer activity. Main Group Met. Chem. 2019, 42, 8–12. [Google Scholar] [CrossRef] [Green Version]
- Łyszczek, R.; Mazur, L. Synthesis, crystal structure, spectroscopic and thermal investigations of neodymium(III) biphenyl-4,4’-dicarboxylate framework. Cent. Eur. J. Chem. 2012, 10, 1165–1174. [Google Scholar] [CrossRef] [Green Version]
- Łyszczek, R. Synthesis, structure, thermal and luminescence behaviors of lanthanide pyridine-3,5-dicarboxylate frameworks series. Thermochim. Acta 2010, 509, 120–127. [Google Scholar] [CrossRef]
- Łyszczek, R.; Rusinek, I.; Sienkiewicz-Gromiuk, J.; Iwan, M.; Pavlyuk, O. 3-D lanthanide coordination polymers with the flexible 1,3-phenylenediacetate linker: Spectroscopic, structural and thermal investigations. Polyhedron 2019, 159, 93–101. [Google Scholar] [CrossRef]
- Łyszczek, R.; Lipke, A. Microwave-assisted synthesis of lanthanide 2,6-naphthalenedicarboxylates: Thermal, luminescent and sorption characterization. Micropor. Mesopor. Mat. 2013, 168, 81–91. [Google Scholar] [CrossRef]
- Łyszczek, R.; Głuchowska, H.; Cristóvão, B.; Tarasiuk, B. New lanthanide biphenyl-4,4′-diacetates − hydrothermal synthesis, spectroscopic, magnetic and thermal investigations. Thermochim. Acta 2016, 645, 16–23. [Google Scholar] [CrossRef]
- Łyszczek, R. Correlation between adsorption and thermal properties of lanthanide(III) dinicotinates. App. Surf. Sci. 2010, 257, 1736–1739. [Google Scholar] [CrossRef]
- Głuchowska, H.; Łyszczek, R.; Jusza, A.; Piramidowicz, R. Effect of N,N′-dimethylformamide solvent on structure and thermal properties of lanthanide(III) complexes with flexible biphenyl-4,4′-dioxydiacetic acid. J. Therm. Anal. Calorim. 2021. [Google Scholar] [CrossRef]
- Łyszczek, R.; Głuchowska, H.; Mazur, L.; Tarasiuk, B.; Kinzhybalo, V.; Kirillov, A.M. Structural diversity of alkali metal coordination polymers driven by flexible biphenyl-4,4′-dioxydiacetic acid. J. Solid State Chem. 2018, 265, 92–99. [Google Scholar] [CrossRef]
- Ji, C.-C.; Li, J.; Li, Y.-Z.; Guo, Z.-J.; Zheng, H.-G. Eight new complexes based on flexible multicarboxylate ligands: Synthesis, structures and properties. CrystEngComm 2010, 12, 3183–3194. [Google Scholar] [CrossRef]
- Groom, C.R.; Bruno, I.J.; Lightfoot, M.P.; Ward, S.C. The Cambridge Structural Database. Acta Cryst. 2016, B72, 171–179. [Google Scholar] [CrossRef]
- Modanlou Juibari, N.; Abbasi, A.; Bourbour Ajdari, H. Synthesis and characterization of new cobalt(II)–pyrazine coordination polymer as precursor for preparation of Co(II) oxide nanoparticles: Surprising coordination, DFT calculation and spectroscopic studies. J. Inorg. Organomet. Polym. 2017, 27, S124–S130. [Google Scholar] [CrossRef]
- Imaduddin, I.S.; Majid, S.R.; Aziz, S.B.; Brevik, I.; Yusuf, S.N.F.; Brza, M.A.; Saeed, S.R.; Kadir, M.F.Z.A. Fabrication of Co3O4 from Cobalt/2,6-Napthalenedicarboxylic Acid Metal-Organic Framework as Electrode for Supercapacitor Application. Materials 2021, 14, 573. [Google Scholar] [CrossRef] [PubMed]
- CrysAlis PRO; Agilent Technologies Ltd.: Oxfordshire, UK, 2013.
- Sheldrick, G.M. Crystal structure refinement with SHELXL. Acta Crystallogr. Sect. C Struct. Chem. 2015, 71, 3–8. [Google Scholar] [CrossRef]
- Blatov, V.A. Multipurpose crystallochemical analysis with the program package TOPOS. IUCr CompComm Newsl. 2006, 7, 4–38. [Google Scholar]
- Blatov, V.A.; Shevchenko, A.P.; Proserpio, D.M. Applied topological analysis of crystal structures with the program package ToposPro. Cryst. Growth Des. 2014, 14, 3576–3586. [Google Scholar] [CrossRef]
- O’Keeffe, M.; Yaghi, O.M. Deconstructing the crystal structures of metal-organic frameworks and related materials into their underlying nets. Chem. Rev. 2012, 112, 675–702. [Google Scholar] [CrossRef] [PubMed]
- Li, M.; Li, D.; O’Keeffe, M.; Yaghi, O.M. Topological analysis of metal–organic frameworks with polytopic linkers and/or multiple building units and the minimal transitivity principle. Chem. Rev. 2014, 114, 1343–1370. [Google Scholar] [CrossRef]
- Muzart, J. N,N’-Dimethylformamide: Much more than a solvent. Tetrahedron 2009, 65, 8313–8323. [Google Scholar] [CrossRef]
- Galstyan, G.; Knapp, E.-W. Computing pKA values of hexa-aqua transition metal complexes. J. Comp. Chem. 2015, 36, 69–78. [Google Scholar] [CrossRef]
- Ramanan, A.; Whittingham, M.S. How molecules turn into solids: The case of self-assembled metal organic-frameworks. Cryst. Growth Des. 2006, 6, 2419–2421. [Google Scholar] [CrossRef]
- Davies, M.B. Cobalt 1992–1993. Coord. Chem. Rev. 1996, 152, 1–85. [Google Scholar] [CrossRef]
- Halcrow, M.A. Jahn–Teller distortions in transition metal compounds, and their importance in functional molecular and inorganic materials. Chem. Soc. Rev. 2013, 42, 1784–1795. [Google Scholar] [CrossRef] [PubMed] [Green Version]
- Kang, Y.; Li, Z.; Wang, Y.; Chen, Y.; Yang, X.; Wen, A. An intriguing N-oxide-functionalized 3D flexible microporous MOFexhibiting highly selectivity for CO2 with a gate effect. Polyhedron 2020, 185, 114593. [Google Scholar] [CrossRef]
- Garai, M.; Biradha, K. Water-Resistant and Transparent Plastic Films from Functionalizable Organic Polymers: Coordination Polymers as Templates for Solid-State [2+2]-Photopolymerization. Chem. Eur. J. 2017, 23, 273–277. [Google Scholar] [CrossRef]
- Gu, J.-Z.; Liang, X.; Cui, Y.; Wu, J.; Shi, Z.-F.; Kirillov, A.M. Introducing 2-(2-carboxyphenoxy)terephthalic acid as a new versatile building block for design of diverse coordination polymers: Synthesis, structural features, luminescence sensing, and magnetism. CrystEngComm 2017, 19, 2570–2588. [Google Scholar] [CrossRef]
- Gu, J.-Z.; Wen, M.; Cai, Y.; Shi, Z.; Arol, A.S.; Kirillova, M.V.; Kirillov, A.M. Metal-Organic Architectures Assembled from Multifunctional Polycarboxylates: Hydrothermal Self-Assembly, Structures, and Catalytic Activity in Alkane Oxidation. Inorg. Chem. 2019, 58, 2403–2412. [Google Scholar] [CrossRef]
- Holly, S.; Sohar, P. Absorption Spectra in the Infrared Region; Akademiai Kiado: Budapest, Hungary, 1975. [Google Scholar]
- Silverstein, R.M.; Webster, F.X. Spectrometric Identification of Organic Compounds, 6th ed.; Wiley: New York, NY, USA, 1996. [Google Scholar]
- Fukuda, J.; Shinoda, K. Coordination of water molecules with Na+ cations in a beryl channel as determined by polarized IR spectroscopy. Phys. Chem. Miner. 2008, 35, 347–357. [Google Scholar] [CrossRef]
- Deacon, G.; Huber, F.; Phillips, R. Diagnosis of the nature of carboxylate coordination from the direction of shifts of carbon oxygen stretching frequencies. Inorg. Chim. Acta 1985, 104, 41–45. [Google Scholar] [CrossRef]
- Rzaczyńska, Z.; Bartyzel, A.; Olszewska, E.; Sawka-Dobrowolska, E. Synthesis and characterization of Co(II), Cu(II) and Zn(II) complexes with 1,1-cyclobutanedicarboxylic acid. Polyhedron 2006, 25, 687–694. [Google Scholar] [CrossRef]
- Bartyzel, A. Effect of molar ratios of reagents and solvent on the complexation process of nickel(II) ions by the N2O3-donor Schiff base. Polyhedron 2017, 134, 30–40. [Google Scholar] [CrossRef]
- Gates-Rector, S.; Blanton, T. The Powder Diffraction File: A Quality Materials Characterization Database. Powder Diffr. 2019, 34, 352–360. [Google Scholar] [CrossRef] [Green Version]
- Reva, I.D.; Plokhotnichenko, A.M.; Radchenko, E.D.; Sheina, G.G.; Blagoi, Y.P. The IR spectrum of formic acid in an argon matrix. Spectrochim. Acta 1994, 50A, 1107–1111. [Google Scholar] [CrossRef]
- Reddy, R.C.K.; Lin, J.; Chen, Y.; Zeng, C.; Lin, X.; Cai, Y.; Su, C.Y. Progress of nanostructured metal oxides derived from metal–organic frameworks as anode materials for lithium–ion batteries. Coord. Chem. Rev. 2020, 420, 213434. [Google Scholar] [CrossRef]
- Li, Y.; Xu, Y.; Yang, W.; Shen, W.; Xue, H.; Pang, H. MOF-derived metal oxide composites for advanced electrochemical energy storage. Small 2018, 14, 1704435. [Google Scholar] [CrossRef]
- Das, R.; Pachfule, P.; Banerjee, R.; Poddar, P. Metal and metal oxide nanoparticle synthesis from metal organic frameworks (MOFs): Finding the border of metal and metal oxides. Nanoscale 2012, 4, 591–599. [Google Scholar] [CrossRef] [PubMed]
- Wu, S.; Liu, J.; Wang, H.; Yan, H. A review of performance optimization of MOF-derived metal oxide as electrode materials for supercapacitors. Int. J. Energy Res. 2019, 43, 697–716. [Google Scholar] [CrossRef]










| Compound | 1 | 2 |
|---|---|---|
| Formula | CoC16H16O8 | NiC16H20O10 |
| Molecular weight | 395.22 | 431.03 |
| T (K) | 100(2) | 100(2) |
| Crystal system | monoclinic | triclinic |
| Space group | P21/c | P-1 |
| a (Å) | 16.114(2) | 4.8801(3) |
| b (Å) | 6.7450(7) | 5.6659(4) |
| c (Å) | 7.5917(8) | 15.1039(9) |
| α (°) | 90 | 87.769(5) |
| β (°) | 99.218(9) | 83.162(5) |
| γ (°) | 90 | 84.038(6) |
| V (Å3) | 814.5(2) | 412.26(5) |
| Z | 2 | 1 |
| dcalc (g cm−3) | 1.612 | 1.736 |
| µ (Mo Kα) (mm−1) | 1.096 | 1.235 |
| Rint | 0.07 | 0.034 |
| Refl. collected / unique | 6838/1861 | 3137/1898 |
| Refl. observed [I > 2σ (I)]/param./restr. | 1265/123/0 | 1674/140/0 |
| Completeness to θmax | 0.999 | 0.998 |
| R1, wR2 [I > 2σ (I)] | 0.0516; 0.0849 | 0.0390; 0.0782 |
| R1, wR2 (all data) | 0.0850; 0.0979 | 0.0476; 0.0826 |
| GOF on F2 | 1.02 | 1.052 |
| Max. and min. residual density [e Å−3] | 0.55/−0.47 | 0.42/−0.40 |
| 1 | 2 | ||
|---|---|---|---|
| Bond Distances(Å) | |||
| C1–O1 | 1.246(3) | C1–O1 | 1.261(3) |
| C1–O2 | 1.264(3) | C1–O2 | 1.259(3) |
| Co1–O1 | 2.078(2) | Ni1–O1 | 2.051(2) |
| Co1–O1W | 2.133(2) | Ni1–O1W | 2.073(2) |
| Co1–O2 a | 2.068(2) | Ni1–O2W | 2.032(2) |
| Bond Angles(°) | |||
| O1–C1–O2 | 124.6(3) | O1–C1–O2 | 126.5(2) |
| O1–Co1–O1W | 85.94(9) | O1–Ni1–O1W | 88.37(6) |
| O2 a–Co1–O1 | 98.10(8) | O2W–Ni1–O1 | 87.35(7) |
| O2 b–Co1–O1 | 81.90(8) | O2W–Ni1–O1W | 90.91(7) |
| O1 c–Co1–O1 | 180.0 | O2Wd–Ni1–O2W | 180.0 |
| O2 b–Co1–O1W | 89.09(9) | O2W–Ni1–O1 d | 92.65(7) |
| O2 a–Co1–O1W | 90.91(9) | O2W–Ni1–O1W d | 89.09(7) |
| O1 c–Co1–O1W | 94.06(9) | O1–Ni1–O1W d | 91.63(6) |
| O1W c–Co1–O1W | 180.0 | O1d–Ni1–O1 | 180.0 |
| O2 a–Co1–O1 b | 180.0 | O1W–Ni1–O1W d | 180.0 |
Publisher’s Note: MDPI stays neutral with regard to jurisdictional claims in published maps and institutional affiliations. |
© 2021 by the authors. Licensee MDPI, Basel, Switzerland. This article is an open access article distributed under the terms and conditions of the Creative Commons Attribution (CC BY) license (https://creativecommons.org/licenses/by/4.0/).
Share and Cite
Głuchowska, H.; Łyszczek, R.; Mazur, L.; Kirillov, A.M. Structural and Thermal Investigations of Co(II) and Ni(II) Coordination Polymers Based on biphenyl-4,4′-dioxydiacetate Linker. Materials 2021, 14, 3545. https://doi.org/10.3390/ma14133545
Głuchowska H, Łyszczek R, Mazur L, Kirillov AM. Structural and Thermal Investigations of Co(II) and Ni(II) Coordination Polymers Based on biphenyl-4,4′-dioxydiacetate Linker. Materials. 2021; 14(13):3545. https://doi.org/10.3390/ma14133545
Chicago/Turabian StyleGłuchowska, Halina, Renata Łyszczek, Liliana Mazur, and Alexander M. Kirillov. 2021. "Structural and Thermal Investigations of Co(II) and Ni(II) Coordination Polymers Based on biphenyl-4,4′-dioxydiacetate Linker" Materials 14, no. 13: 3545. https://doi.org/10.3390/ma14133545
APA StyleGłuchowska, H., Łyszczek, R., Mazur, L., & Kirillov, A. M. (2021). Structural and Thermal Investigations of Co(II) and Ni(II) Coordination Polymers Based on biphenyl-4,4′-dioxydiacetate Linker. Materials, 14(13), 3545. https://doi.org/10.3390/ma14133545

