Evolution of Structural and Magnetic Properties of Fe-Co Wire-like Nanochains Caused by Annealing Atmosphere
Abstract
1. Introduction
2. Experimental
2.1. Fabrication of Iron-Cobalt Wire-like Nanostructures
2.2. Characterization of Wire-like Nanostructures
3. Results
3.1. Electron Microscopy Investigations
3.2. Determination of Chemical Composition
3.3. XRD Investigations
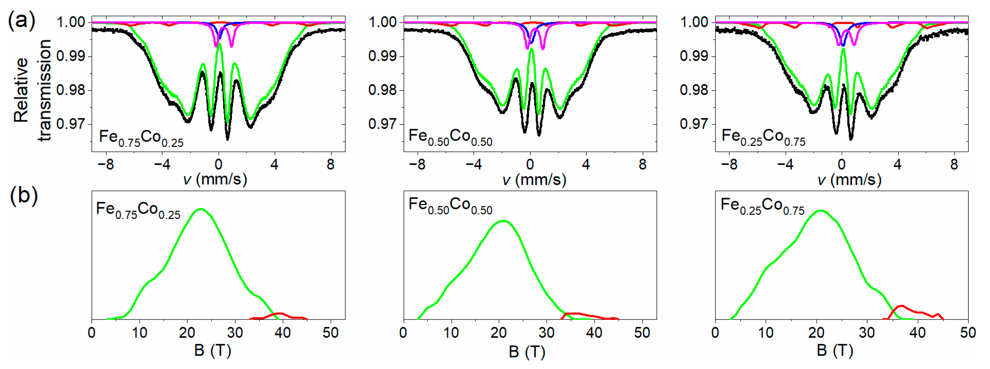
3.4. Mössbauer Spectroscopy Investigations
3.5. Magnetic Investigations
4. Discussion
5. Conclusions
Author Contributions
Funding
Institutional Review Board Statement
Informed Consent Statement
Data Availability Statement
Acknowledgments
Conflicts of Interest
References
- Lewis, A.E. Review of metal sulphide precipitation. Hydrometallurgy 2010, 104, 222–234. [Google Scholar] [CrossRef]
- Abdur Rahman, M.; Radhakrishnan, R.; Gopalakrishnan, R. Structural, optical, magnetic and antibacterial properties of Nd doped NiO nanoparticles prepared by co-precipitation method. J. Alloy. Compd. 2018, 742, 421–429. [Google Scholar] [CrossRef]
- De Souza, C.D.; Nogueira, B.R.; Rostelato, M.E.C.M. Review of the methodologies used in the synthesis gold nanoparticles by chemical reduction. J. Alloy. Compd. 2019, 798, 714–740. [Google Scholar] [CrossRef]
- Xu, Z.C.; Shen, C.M.; Hou, Y.L.; Gao, H.J.; Sun, S.S. Oleylamine as both reducing agent and stabilizer in a facile synthesis of magnetite nanoparticles. Chem. Mat. 2009, 21, 1778–1780. [Google Scholar] [CrossRef]
- Moreno-Trejo, M.B.; Sanchez-Dominguez, M. Mesquite gum as a novel reducing and stabilizing agent for modified tollens synthesis of highly concentrated Ag nanoparticles. Materials 2016, 9, 817. [Google Scholar] [CrossRef]
- Andal, V.; Buvaneswari, G. Effect of reducing agents in the conversion of Cu2O nanocolloid to Cu nanocolloid. Eng. Sci. Technol. 2017, 20, 340–344. [Google Scholar] [CrossRef]
- Meva, F.E.; Ntoumba, A.A.; Kedi, P.B.E.; Tchoumbi, E.; Schmitz, A.; Schmolke, L.; Klopotowski, M.; Moll, B.; Kokcam-Demir, U.; Mpondo, E.A.M.; et al. Silver and palladium nanoparticles produced using a plant extract as reducing agent, stabilized with an ionic liquid: Sizing by X-ray powder diffraction and dynamic light scattering. J. Mater. Res. Technol.-JMRT 2019, 8, 1991–2000. [Google Scholar] [CrossRef]
- Giannis, A.; Sandhoff, K. LiBH4(NaBH4)/Me3SiCl, an unusually strong and versatile reducing agent. Angew. Chem.-Int. Edit. 1989, 28, 218–220. [Google Scholar] [CrossRef]
- Douvalis, A.P.; Zboril, R.; Bourlinos, A.B.; Tucek, J.; Spyridi, S.; Bakas, T. A facile synthetic route toward air-stable magnetic nanoalloys with Fe–Ni/Fe–Co core and iron oxide shell. J. Nanopart. Res. 2012, 14, 1130. [Google Scholar] [CrossRef]
- Vilardi, G.; Verdone, N.; Bubbico, R. Combined production of metallic-iron nanoparticles: Exergy and energy analysis of two alternative processes using hydrazine and NaBH4 as reducing agents. J. Taiwan Inst. Chem. Eng. 2021, 118, 97–111. [Google Scholar] [CrossRef]
- Maneerung, T.; Tokura, S.; Rujiravanit, R. Impregnation of silver nanoparticles into bacterial cellulose for antimicrobial wound dressing. Carbohydr. Polym. 2008, 72, 43–51. [Google Scholar] [CrossRef]
- Silva, N.; Ramirez, S.; Diaz, I.; Garcia, A.; Hassan, N. Easy, quick, and reproducible sonochemical synthesis of CuO nanoparticles. Materials 2019, 12, 804. [Google Scholar] [CrossRef]
- Li, K.K.; Li, H.S.; Xiao, T.F.; Zhang, G.S.; Liang, A.P.; Zhang, P.; Lin, L.H.; Chen, Z.X.; Cao, X.Y.; Long, J.Y. Zero-valent manganese nanoparticles coupled with different strong oxidants for thallium removal from wastewater. Front. Environ. Sci. Eng. 2020, 14, 34. [Google Scholar] [CrossRef]
- Li, M.; Xie, K.A.; Wu, Y.Z.; Yang, Q.X.; Liao, L. Synthesis of cobalt nanowires by template-free method. Mater. Lett. 2013, 111, 185–187. [Google Scholar] [CrossRef]
- Yang, X.Y.; Yang, B.; Li, X.P.; Cao, Y.; Yu, R.H. Structural-controlled chemical synthesis of nanosized amorphous Fe particles and their improved performances. J. Alloy. Compd. 2015, 651, 551–556. [Google Scholar] [CrossRef]
- Krajewski, M.; Tokarczyk, M.; Stefaniuk, T.; Lewińska, S.; Ślawska-Waniewska, A. Thermal treatment of chains of amorphous Fe1–xCox nanoparticles made by magnetic-field-induced coreduction reaction. IEEE Magn. Lett. 2019, 10, 6108405. [Google Scholar] [CrossRef]
- Krajewski, M.; Liou, S.C.; Chiou, W.A.; Tokarczyk, M.; Małolepszy, A.; Płocińska, M.; Witecka, A.; Lewińska, S.; Ślawska-Waniewska, A. Amorphous FexCo1−x Wire-like nanostructures manufactured through surfactant-free magnetic-field-induced synthesis. Cryst. Growth Des. 2020, 20, 3208–3216. [Google Scholar] [CrossRef]
- Ciureanu, M.; Beron, F.; Clime, L.; Ciureanu, P.; Yelon, A.; Ovari, T.A.; Cochrane, R.W.; Normandin, F.; Veres, T. Magnetic properties of electrodeposited CoFeB thin films and nanowire arrays. Electrochim. Acta 2005, 50, 4487–4497. [Google Scholar] [CrossRef]
- Desvaux, C.; Amiens, C.; Fejes, P.; Renaud, P.; Respaud, M.; Lecante, P.; Snoeck, E.; Chaudret, B. Multimillimetre-large superlattices of air-stable iron-cobalt nanoparticles. Nat. Mater. 2005, 4, 750–753. [Google Scholar] [CrossRef] [PubMed]
- Wu, M.Z.; Liu, G.Q.; Li, M.T.; Dai, P.; Ma, Y.Q.; Zhang, L.D. Magnetic field-assisted solvothermal assembly of one-dimensional nanostructures of Ni-Co alloy nanoparticles. J. Alloy. Compd. 2010, 491, 689–693. [Google Scholar] [CrossRef]
- Farkas, B.; Santos-Carballal, D.; Cadi-Essadek, A.; de Leeuw, N.H. A DFT+U study of the oxidation of cobalt nanoparticles: Implications for biomedical applications. Materialia 2019, 7, 100381. [Google Scholar] [CrossRef]
- Zeng, Q.; Baker, I.; McCreary, V.; Yan, Z.C. Soft ferromagnetism in nanostructured mechanical alloying FeCo-based powders. J. Magn. Magn. Mater. 2007, 318, 28–38. [Google Scholar] [CrossRef]
- Abbas, M.; Islam, M.N.; Rao, B.P.; Ogawa, T.; Takahashi, M.; Kim, C. One-pot synthesis of high magnetization air-stable FeCo nanoparticles by modified polyol method. Mater. Lett. 2013, 91, 326–329. [Google Scholar] [CrossRef]
- Sharif, M.J.; Yamauchi, M.; Toh, S.; Matsumura, S.; Noro, S.; Kato, K.; Takata, M.; Tsukuda, T. Enhanced magnetization in highly crystalline and atomically mixed bcc Fe-Co nanoalloys prepared by hydrogen reduction of oxide composites. Nanoscale 2013, 5, 1489–1493. [Google Scholar] [CrossRef][Green Version]
- Cui, B.Z.; Marinescu, M.; Liu, J.F. High magnetization Fe-Co and Fe-Ni submicron and nanosize particles by thermal decomposition and hydrogen reduction. J. Appl. Phys. 2014, 115, 17A315. [Google Scholar] [CrossRef]
- Yang, B.; Wu, Y.; Li, X.P.; Yu, R.H. Chemical synthesis of high-stable amorphous FeCo nanoalloys with good magnetic properties. Nanomaterials 2018, 8, 154. [Google Scholar] [CrossRef]
- Zare, Y.; Shams, M.H.; Jazirehpour, M. Tuning microwave permittivity coefficients for enhancing electromagnetic wave absorption properties of FeCo alloy particles by means of sodium stearate surfactant. J. Alloy Compound 2017, 717, 294–302. [Google Scholar] [CrossRef]
- Shen, J.Y.; Yao, Y.T.; Liu, Y.J.; Leng, J.S. Amorphous bimetallic nanowires with high-performance microwave absorption: A case for FeCo nanowires. Nano 2019, 14, 1950041. [Google Scholar] [CrossRef]
- Sorge, K.D.; Klein, K.L.; Melechko, A.V.; Finkel, C.L.; Malkina, O.; Leventouri, T.; Fowlkes, J.D.; Rack, P.D.; Simpson, M.L. Magnetic properties of Fe-Co catalysts used for carbon nanofiber synthesis. J. Appl. Phys. 2008, 104, 033909. [Google Scholar] [CrossRef]
- Calizzi, M.; Mutschler, R.; Patelli, N.; Migliori, A.; Zhao, K.; Pasquini, L.; Zuttel, A. CO2 hydrogenation over unsupported Fe-Co nanoalloy catalysts. Nanomaterials 2020, 10, 1360. [Google Scholar] [CrossRef]
- Murad, E. Properties and behavior of iron oxides as determined by Mössbauer spectroscopy. In Iron in Soils and Clay Minerals; Stucki, J.W., Goodman, B.A., Schwertmann, U., Eds.; NATO ASI Series (Series C: Mathematical and Physical Sciences); Springer: Dordrecht, The Netherlands, 1988; Volume 217. [Google Scholar] [CrossRef]
- Ferreira, T.A.S.; Waerenborgh, J.C.; Mendonca, M.H.R.M.; Nunes, M.R.; Costa, F.M. Structural and morphological characterization of FeCo2O4 and CoFe2O4 spinels prepared by a coprecipitation method. Solid State Sci. 2003, 5, 383–392. [Google Scholar] [CrossRef]
- Lu, M.; Liu, M.; Wang, L.; Xu, S.C.; Zhao, J.L.; Li, H.B. Structural and magnetic properties of CoFe2O4/CoFe2/SiO2 nanocomposites with exchange coupling behavior. J. Alloys Compd. 2017, 690, 27–30. [Google Scholar] [CrossRef]
- Al-Maashani, M.; Gismelseed, A.M.; Khalaf, K.A.M.; Yousif, A.A.; Al-Rawas, A.D.; Widatallah, H.M.; Elzain, M.E. Structural and Mössbauer study of nanoparticles CoFe2O4 prepared by sol-gel auto-combustion and subsequent sintering. Hyperfine Interact. 2018, 239, 15. [Google Scholar] [CrossRef]
- Machala, L.; Zboril, R.; Gedanken, A. Amorphous iron(III) oxide—A review. J. Phys. Chem. B 2007, 111, 4003–4018. [Google Scholar] [CrossRef]
- Cao, X.; Koltypin, Y.; Katabi, G.; Prozorov, R.; Felner, I.; Gedanken, A. Preparation and characterization of amorphous nanometre sized Fe3O4 powder. J. Mater. Chem. 1997, 7, 1007–1009. [Google Scholar] [CrossRef]
- De Mayo, B.; Forester, D.W.; Spooner, S. Effects of atomic configurational changes on hyperfine interactions in concentrated iron-cobalt alloys. J. Appl. Phys. 1970, 41, 1319. [Google Scholar] [CrossRef]
- Petrov, Y.I.; Shafranovsky, E.A. Structure and magnetic properties of aerosol nanoparticles of Fe and its alloys. Int. J. Inorg. Chem. 2012, 2012, 610305. [Google Scholar] [CrossRef]
- Doludenko, I.M.; Zagorskii, D.L.; Frolov, K.V.; Perunov, I.V.; Chuev, M.A.; Kanevskii, V.M.; Erokhina, N.S.; Bedin, S.A. Nanowires made of FeNi and FeCo alloys: Synthesis, structure, and Mössbauer measurements. Phys. Solid State 2020, 62, 1639–1646. [Google Scholar] [CrossRef]
- Bharuth-Ram, K.; Naicker, V.V.; Fish, M. The hyperfine fields and isomer shift at Fe-Co metal inclusions in synthetic diamond grains. Hyperfine Interact. 1994, 93, 1795–1799. [Google Scholar] [CrossRef]
- Gangwar, A.; Singh, G.; Shaw, S.K.; Mandal, R.K.; Sharma, A.; Meena, S.S.; Prajapat, C.L.; Prasad, N.K. Synthesis and structural characterization of CoxFe3−xC (0 ≤ x ≤ 0.3) magnetic nanoparticles for biomedical applications. New J. Chem. 2019, 43, 3536–3544. [Google Scholar] [CrossRef]
- Petrov, Y.I.; Shafranovsky, E.A. Specific features of the hyperfine field at iron nuclei in aerosol nanoparticles of FeCo alloy. Doklady Phys. Chem. 2011, 440, 178–182. [Google Scholar] [CrossRef]
- Rechenberg, H.R.; Tourinho, F.A. Mössbauer spectroscopic characterization of manganese and cobalt ferrite ferrofluids. Hyperfine Interact. 1991, 67, 627–631. [Google Scholar] [CrossRef]
- Glavee, G.N.; Klabunde, K.J.; Sorensen, C.M.; Hadjipanayis, G.C. Borohydride reduction of cobalt ions in water. Chemistry leading to nanoscale metal, boride, or borate particles. Langmuir 1993, 9, 162–169. [Google Scholar] [CrossRef]
- Cai, P.J.; Wang, H.; Liu, L.H.; Zhang, L. Low temperature synthesis of nanocrystalline Co2B. J. Ceram. Soc. Japan 2010, 118, 1102–1104. [Google Scholar] [CrossRef][Green Version]
- Glavee, G.N.; Klabunde, K.J.; Sorensen, C.M.; Hadjipanayis, G.C. Chemistry of borohydride reduction of iron(II) and iron(III) in aqueous media and nonaqueous media—Formation of nanoscale Fe, FeB, and Fe2B powders. Inorg. Chem. 1995, 34, 28–35. [Google Scholar] [CrossRef]
- Nurmi, J.T.; Tratnyek, P.G.; Sarathy, V.; Baer, D.R.; Amonette, J.E.; Pecher, K.; Wang, C.M.; Linehan, J.C.; Matson, D.E.; Penn, R.L.; et al. Characterization and properties of metallic iron nanoparticles: Spectroscopy, electrochemistry, and kinetics. Environ. Sci. Technol. 2005, 39, 1221–1230. [Google Scholar] [CrossRef] [PubMed]
- Altintas, Z.; Khoshsima, S.; Schmidt, M.; Bobnar, M.; Burkhardt, U.; Somer, M.; Balci, O. Evolution of magnetic properties of crystalline cobalt-iron boride nanoparticles via optimization of synthesis conditions using hydrous metal chlorides. J. Magn. Magn. Mater. 2021, 523, 167634. [Google Scholar] [CrossRef]
- Krajewski, M.; Tokarczyk, M.; Stefaniuk, T.; Słomińska, H.; Małolepszy, A.; Kowalski, G.; Lewińska, S.; Ślawska-Waniewska, A. Magnetic-field-induced synthesis of amorphous iron-nickel Wire-like nanostructures. Mater. Chem. Phys. 2020, 246, 122812. [Google Scholar] [CrossRef]






| Element | Percentage | Fe0.75Co0.25 | Fe0.50Co0.50 | Fe0.25Co0.75 | Carbon Tape |
|---|---|---|---|---|---|
| B | weight | 2.1 | 3.3 | 1.2 | 0.30 |
| atomic | 7.4 | 11.2 | 4.6 | 0.30 | |
| C | weight | 5.2 | 2.4 | 1.0 | 94.60 |
| atomic | 16.7 | 7.4 | 3.4 | 95.80 | |
| O | weight | 6.5 | 10.5 | 10.4 | 5.10 |
| atomic | 15.7 | 24.0 | 26.5 | 3.80 | |
| Na | weight | 1.4 | 3.6 | 3.5 | - |
| atomic | 2.4 | 5.7 | 6.3 | - | |
| Fe | weight | 65.7 | 45.9 | 23.9 | - |
| atomic | 45.4 | 30.0 | 17.6 | - | |
| Co | weight | 19.0 | 33.7 | 59.9 | - |
| atomic | 12.4 | 20.9 | 41.6 | - | |
| Fe | normalized weight 1 | 77.6 | 57.7 | 28.5 | - |
| normalized atomic 1 | 78.5 | 58.9 | 29.7 | - | |
| Co | normalized weight 1 | 22.4 | 42.3 | 71.5 | - |
| normalized atomic 1 | 21.5 | 41.1 | 70.3 | - |
| Component 1 | Component 2 | Component 3 | Mean HMF | |||
|---|---|---|---|---|---|---|
| p (%) | <B> (T) | p (%) | <B> (T) | p (%) | <B>sample (T) | |
| Fe0.75Co0.25 | 93 | 22.4 | 2 | 39.1 | 5 | 21.6 |
| Fe0.50Co0.50 | 90 | 19.4 | 2 | 37.4 | 8 | 18.4 |
| Fe0.25Co0.75 | 88 | 19.9 | 4 | 38.6 | 8 | 19.0 |
| Component I | Component II | Component III | Component IV | Mean HMF | Mean HMF | |
|---|---|---|---|---|---|---|
| p (%) | p (%) | p (%) | p (%) | <B>Fe-Co (T) | <B>sample (T) | |
| Fe0.75Co0.25 H2 | 74 | 6 | 14 | 6 | 36 | 30 |
| Fe0.50Co0.50 H2 | 75 | 7 | 18 | 0 | 35 | 29 |
| Fe0.25Co0.75 H2 | 76 | 4 | 20 | 0 | 33 | 27 |
| Fe0.75Co0.25 Ar | 57 | 15 | 17 | 11 | 35 | 28 |
| Fe0.50Co0.50 Ar | 38 | 25 | 33 | 4 | 36 | 27 |
| Fe0.25Co0.75 Ar | 43 | 22 | 31 | 4 | 33 | 25 |
| Sample | HC (Oe) | MS (Am2·kg−1) |
|---|---|---|
| Fe0.75Co0.25 | 273 | 112 |
| Fe0.75Co0.25 H2 | 528 | 139 |
| Fe0.75Co0.25 Ar | 416 | 109 |
| Fe0.50Co0.50 | 246 | 88 |
| Fe0.50Co0.50 H2 | 735 | 141 |
| Fe0.50Co0.50 Ar | 808 | 80 |
| Fe0.25Co0.75 | 215 | 59 |
| Fe0.25Co0.75 H2 | 757 | 118 |
| Fe0.25Co0.75 Ar | 651 | 94 |
Publisher’s Note: MDPI stays neutral with regard to jurisdictional claims in published maps and institutional affiliations. |
© 2021 by the authors. Licensee MDPI, Basel, Switzerland. This article is an open access article distributed under the terms and conditions of the Creative Commons Attribution (CC BY) license (https://creativecommons.org/licenses/by/4.0/).
Share and Cite
Krajewski, M.; Tokarczyk, M.; Lewińska, S.; Brzózka, K.; Bochenek, K.; Ślawska-Waniewska, A. Evolution of Structural and Magnetic Properties of Fe-Co Wire-like Nanochains Caused by Annealing Atmosphere. Materials 2021, 14, 4748. https://doi.org/10.3390/ma14164748
Krajewski M, Tokarczyk M, Lewińska S, Brzózka K, Bochenek K, Ślawska-Waniewska A. Evolution of Structural and Magnetic Properties of Fe-Co Wire-like Nanochains Caused by Annealing Atmosphere. Materials. 2021; 14(16):4748. https://doi.org/10.3390/ma14164748
Chicago/Turabian StyleKrajewski, Marcin, Mateusz Tokarczyk, Sabina Lewińska, Katarzyna Brzózka, Kamil Bochenek, and Anna Ślawska-Waniewska. 2021. "Evolution of Structural and Magnetic Properties of Fe-Co Wire-like Nanochains Caused by Annealing Atmosphere" Materials 14, no. 16: 4748. https://doi.org/10.3390/ma14164748
APA StyleKrajewski, M., Tokarczyk, M., Lewińska, S., Brzózka, K., Bochenek, K., & Ślawska-Waniewska, A. (2021). Evolution of Structural and Magnetic Properties of Fe-Co Wire-like Nanochains Caused by Annealing Atmosphere. Materials, 14(16), 4748. https://doi.org/10.3390/ma14164748

