Powder Reuse Cycles in Electron Beam Powder Bed Fusion—Variation of Powder Characteristics
Abstract
:1. Introduction
1.1. Powder Parameters of Interest for Electron Beam Powder Bed Fusion (EB-PBF) Processes
1.2. Powder Parameter Studies in EB-PBF of Ti-6Al-4V
2. Materials and Methods
3. Results
3.1. Observations of Changes in Powder Properties with Reuse Cycles
3.2. Evaluation of the Relative Performance of Powders
3.2.1. Relative Performance Evaluated via Radar Diagram
3.2.2. Relative Performance Evaluated via Performance Index
4. Conclusions
- (1)
- The SEM micrographs of the various powder types show extensive physical modification to the surface of the particles, with increasing degree of powder reuse. The micrographs depict features such as elongated particles, broken particles, clip-clap, deformed particles, particle with molten specks, and agglomerates. The broke, shattered, clip-clap, and deformed particles are attributed to the powder recovery process (i.e., blasting, sieving) and tumbling process; the particles with molten specks, elongated particles, and agglomerated particles are attributed to the high temperature conditions leading to overheating and smelting of particles and satellites.
- (2)
- The D10, D50, and D90 values increase with increasing degree of powder reuse. Specifically, a 7%, 10%, and 7% increase was observed in the D10, D50, D90 values, respectively, for G3 powder when compared to the G0 powder. This observation is attributed to the agglomeration of powder particles.
- (3)
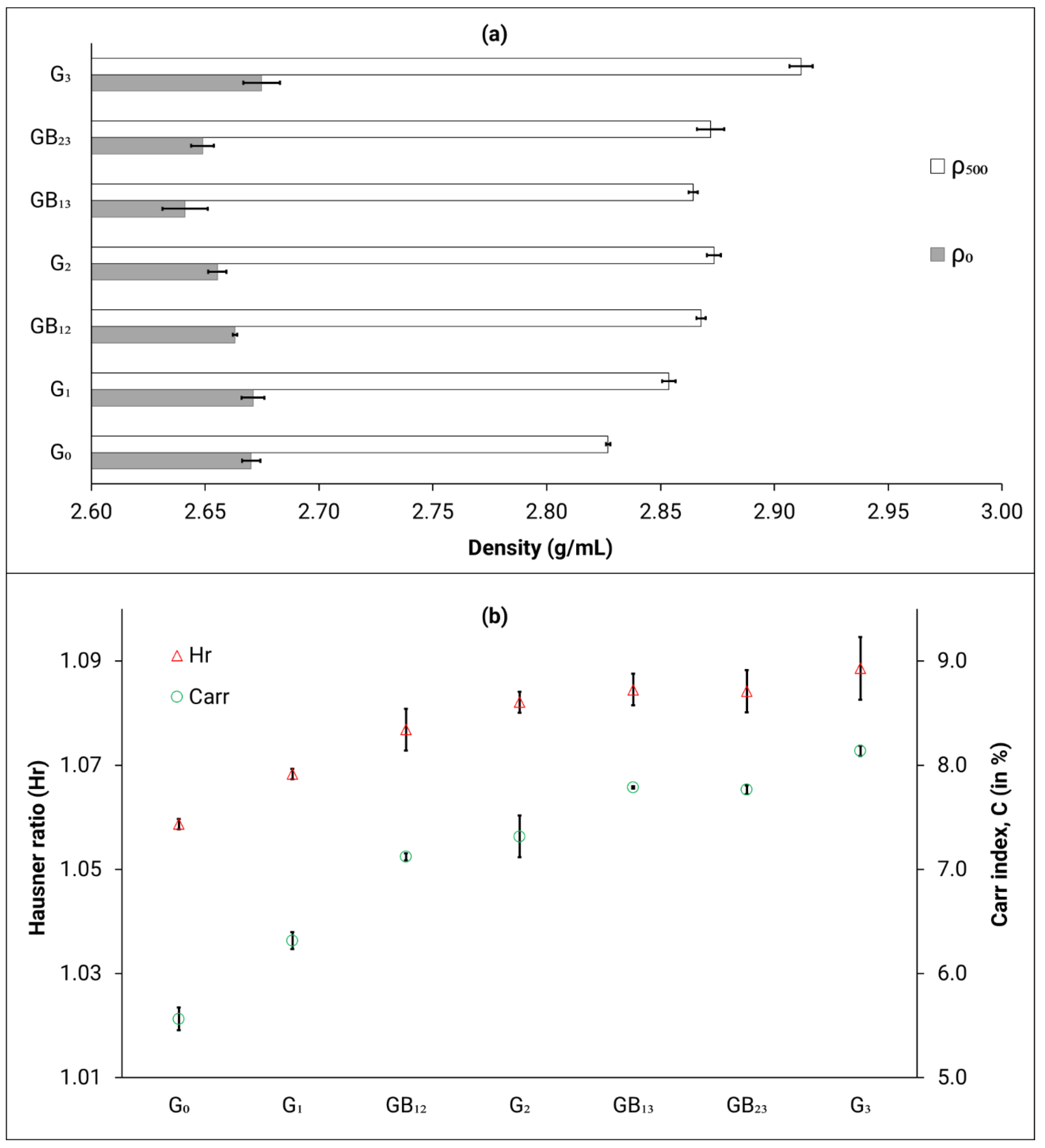
- The ρ0 remained unchanged for all powders, however, the ρ500 increases with increasing degree of powder reuse. Specifically, a 3% increase was observed in the ρ500 value for G3 powder when compared to the G0 powder. The and values show an increase with an increase in number of reuse cycles. Specifically, a 3% and 30% increase was observed in the and values, respectively, for G3 powder when compared to the G0 powder. This trend indicates modification of reused powders from their virgin state. These observations have been attributed to the deviations from spherical morphology, for the reused powder, as observed in the SEM micrographs. Due to these deviations, uneven raking and non-homogenous layers may be obtained.
- (4)
- The BFE and SE values increase with increasing degree of powder reuse. This suggests that the reused powder is more cohesive than the virgin powder. Specifically, an 18% and 15%, increase was observed in the BFE and SE values, respectively, for G3 powder when compared to the G0 powder. This behavior is attributed to the mechanical interlocking and friction between particles (caused by the non-spherical morphology).
- (5)
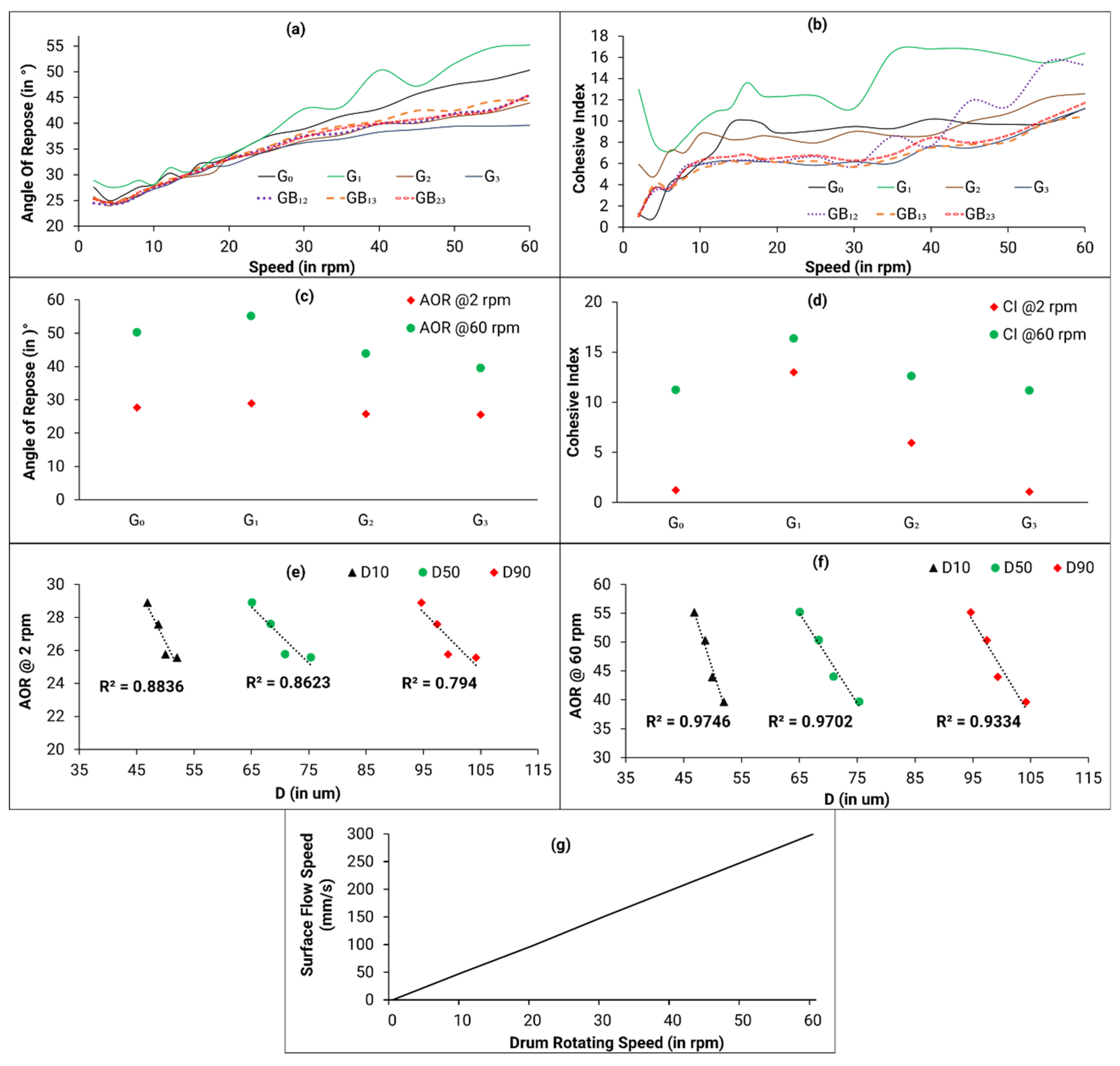
- The dynamic AOR and CI values decrease with an increase in the number of reuse cycles. This behavior is attributed to the agglomeration and increase of the D10, D50, and D90 with the number of reused cycles. The variations of the metrics with drum rotating speed may help identify a range of optimum raking speeds that can be used for these powders when being used in the EB-PBF machine.
- (6)
- The O2 and N2 concentration remain below the limits outlined by ASTM F2924. However, a gradual increase has been observed with increasing degree of powder reuse. Specifically, a 37% and 44% increase was observed in the O2 and N2 concentration, respectively, for G3 powder when compared to the G0 powder. From the logarithmic trendline, it can be deduced that the O2 concentration will exceed the 0.2 wt.% limit by 5–6 reuse cycles.
- (7)
- A unified powder quality score or powder quality metric was established to compare the effect of powder reuse on the various powder performance metrics.
Author Contributions
Funding
Institutional Review Board Statement
Informed Consent Statement
Data Availability Statement
Acknowledgments
Conflicts of Interest
References
- Vock, S.; Klöden, B.; Kirchner, A.; Weißgärber, T.; Kieback, B. Powders for powder bed fusion: A review. Prog. Addit. Manuf. 2019, 4, 383–397. [Google Scholar] [CrossRef] [Green Version]
- Popov, V.V.; Grilli, M.L.; Koptyug, A.; Jaworska, L.; Katz-Demyanetz, A.; Klobčar, D.; Balos, S.; Postolnyi, B.O.; Goel, S. Powder Bed Fusion Additive Manufacturing Using Critical Raw Materials: A Review. Materials 2021, 14, 909. [Google Scholar] [CrossRef] [PubMed]
- German, R.M. Particle Packing Characterisitics; Metal Powder Industries Federation: Princeton, NJ, USA, 1989. [Google Scholar]
- Yang, L.; Hsu, K.; Baughman, B.; Godfrey, D.; Medina, F.; Menon, M.; Wiener, S. Additive Manufacturing of Metals: The Technology, Materials, Design and Production; Springer International Publishing: Cham, Switzerland, 2017; pp. 63–79. [Google Scholar]
- Strondl, A.; Lyckfeldt, O.; Brodin, H.; Ackelid, U. Characterization and Control of Powder Properties for Additive Manufacturing. JOM 2015, 67, 549–554. [Google Scholar] [CrossRef]
- Medina, F. Reducing Metal Alloy Powder Costs for Use in Powder Bed Fusion Additive Manufacturing: Improving The Economics for Production; University of Texas El Paso: El Paso, TX, USA, 2013. [Google Scholar]
- Entezarian, M.; Allaire, F.; Tsantrizos, P.; Drew, R.A.L. Plasma atomization: A new process for the production of fine, spherical powders. JOM 1996, 48, 53–55. [Google Scholar] [CrossRef]
- Simchi, A. The role of particle size on the laser sintering of iron powder. Metall. Mater. Trans. B 2004, 35, 937–948. [Google Scholar] [CrossRef]
- Angelo, P.C.; Subramaniam, R. Powder Metallurgy: Science, Technology and Applications; PHI Learning Pvt. Ltd.: Delhi, India, 2008. [Google Scholar]
- Teferra, T.F. Engineering Properties of Food Materials. In Handbook of Farm, Dairy and Food Machinery Engineering; Elsevier: Norwich, NY, USA, 2019; pp. 45–89. [Google Scholar]
- ASTM F2924-14. Standard Specification for Additive Manufacturing Titanium-6 Aluminum-4 Vanadium with Powder Bed Fusion; ASTM International: West Conshohocken, PA, USA, 2014. [Google Scholar] [CrossRef]
- DebRoy, T.; Mukherjee, T.; Milewski, J.O.; Elmer, J.W.; Ribic, B.; Blecher, J.J.; Zhang, W. Scientific, technological and economic issues in metal printing and their solutions. Nat. Mater. 2019, 18, 1026–1032. [Google Scholar] [CrossRef]
- Hopkinson, N.; Dicknes, P. Analysis of rapid manufacturing—using layer manufacturing processes for production. Proc. Inst. Mech. Eng. Part C J. Mech. Eng. Sci. 2003, 217, 31–39. [Google Scholar] [CrossRef] [Green Version]
- Baumers, M.; Dickens, P.; Tuck, C.; Hague, R. The cost of additive manufacturing: Machine productivity, economies of scale and technology-push. Technol. Forecast. Soc. Chang. 2016, 102, 193–201. Available online: https://econpapers.repec.org/RePEc:eee:tefoso:v:102:y:2016:i:c:p:193-201 (accessed on 11 August 2021). [CrossRef]
- Grell, W.A.; Solis-Ramos, E.; Clark, E.; Lucon, E.; Garboczi, E.J.; Predecki, P.K.; Loftus, Z.; Kumosa, M. Effect of powder oxidation on the impact toughness of electron beam melting Ti-6Al-4V. Addit. Manuf. 2017, 17, 123–134. [Google Scholar] [CrossRef]
- Brika, S.E.; Letenneur, M.; Dion, C.A.; Brailovski, V. Influence of particle morphology and size distribution on the powder flowability and laser powder bed fusion manufacturability of Ti-6Al-4V alloy. Addit. Manuf. 2020, 31, 100929. [Google Scholar] [CrossRef]
- Moghimian, P.; Poirié, T.; Habibnejad-Korayem, M.; Zavala, J.A.; Kroeger, J.; Marion, F.; Larouche, F. Metal powders in additive manufacturing: A review on reusability and recyclability of common titanium, nickel and aluminum alloys. Addit. Manuf. 2021, 43, 102017. [Google Scholar] [CrossRef]
- Tang, H.P.; Qian, M.; Liu, N.; Zhang, X.Z.; Yang, G.Y.; Wang, J. Effect of Powder Reuse Times on Additive Manufacturing of Ti-6Al-4V by Selective Electron Beam Melting. J. Miner. Met. Mater. Soc. 2015, 67, 555–563. [Google Scholar] [CrossRef]
- Mohammadhosseini, A.; Fraser, D.; Masood, S.H.; Jahedi, M. A Study of Morphology of Titanium Powder Used in Electron Beam Melting. In Engineering and Manufacturing Technologies; Trans Tech Publications Ltd.: Zurich, Switzerland, 2014; Volume 541, pp. 160–163. [Google Scholar] [CrossRef]
- Sun, Y.; Aindow, M.; Hebert, R.J. The effect of recycling on the oxygen distribution in Ti-6Al-4V powder for additive manufacturing. Mater. High Temp. 2018, 35, 217–224. [Google Scholar] [CrossRef]
- Petrovic, V.; Niñerola, R. Powder recyclability in electron beam melting for aeronautical use. Aircr. Eng. Aerosp. Technol. 2015, 87, 147–155. [Google Scholar] [CrossRef]
- Leung, C.L.A.; Marussi, S.; Towrie, M.; Atwood, R.C.; Withers, P.J.; Lee, P.D. The effect of powder oxidation on defect formation in laser additive manufacturing. Acta Mater. 2019, 166, 294–305. [Google Scholar] [CrossRef] [Green Version]
- Shanbhag, G.; Vlasea, M. The effect of reuse cycles on Ti-6Al-4V powder properties processed by electron beam powder bed fusion. Manuf. Lett. 2020, 25, 60–63. [Google Scholar] [CrossRef]
- ISO 13322-2. Particle size analysis—Image analysis methods—Part 2: Dynamic image analysis methods; International Organization for Standardization: Geneva, Switzerland, 2006; Volume 2, Available online: https://www.iso.org/standard/38665.html (accessed on 11 August 2021).
- Freeman, R.; Fu, X. Characterisation of powder bulk, dynamic flow and shear properties in relation to die filling. Powder Metall. 2008, 51, 196–201. [Google Scholar] [CrossRef]
- Popov, V.V.; Katz-Demyanetz, A.; Garkun, A.; Bamberger, M. The effect of powder recycling on the mechanical properties and microstructure of electron beam melted Ti-6Al-4 V specimens. Addit. Manuf. 2018, 22, 834–843. [Google Scholar] [CrossRef]
- Cordova, L.; Campos, M.; Tinga, T. Revealing the Effects of Powder Reuse for Selective Laser Melting by Powder Characterization. JOM 2019, 71, 1062–1072. [Google Scholar] [CrossRef] [Green Version]
- Slotwinski, J.A.; Garboczi, E.J.; Stutzman, P.E.; Ferraris, C.F.; Watson, S.S.; Peltz, M.A. Characterization of Metal Powders Used for Additive Manufacturing. J. Res. Natl. Inst. Stand. Technol. 2014, 119, 460. [Google Scholar] [CrossRef]
- Grainger, L. Investigating the Effects of Multiple Re-Use of Ti6Al4V Powder in Additive Manufacturing (AM). Available online: https://resources.renishaw.com/en/details/white-paper-investigating-the-effects-of-multiple-powder-re-use-in-am--83164 (accessed on 11 August 2021).
- Goyal, A.; Sharma, V.; Sihag, M.K.; Tomar, S.K.; Arora, S.; Sabikhi, L.; Singh, A.K. Development and physico-chemical characterization of microencapsulated flaxseed oil powder: A functional ingredient for omega-3 fortification. Powder Technol. 2015, 286, 527–537. [Google Scholar] [CrossRef]
- Gong, X.; Anderson, T.; Chou, K. Review on powder-based electron beam additive manufacturing technology. Manuf. Rev. 2014, 1, 2. [Google Scholar] [CrossRef]
- Neira-Arce, A. Thermal Modeling and Simulation of Electron Beam Melting for Rapid Prototyping on Ti6Al4V Alloys; North Carolina State University: Raleigh, NC, USA, 2012. [Google Scholar]
- Clayton, J.; Millington-Smith, D.; Armstrong, B. The Application of Powder Rheology in Additive Manufacturing. JOM 2015, 67, 544–548. [Google Scholar] [CrossRef]
- Granutools. Linking Powder Rheology Characterization to Spreadability in Powder Bed-Based AM. AZO Mater. 2020. Available online: https://www.azom.com/article.aspx?ArticleID=19335 (accessed on 23 April 2021).
- Granutools. Effect of Recycling on the Spreadability of Metallic Powder. AZO Mater. 2020. Available online: https://www.azom.com/article.aspx?ArticleID=19313 (accessed on 23 April 2021).
- Ghods, S.; Schultz, E.; Wisdom, C.; Schur, R.; Pahuja, R.; Montelione, A.; Arola, D.; Ramulu, M. Electron beam additive manufacturing of Ti6Al4V: Evolution of powder morphology and part microstructure with powder reuse. Materialia 2020, 9, 100631. [Google Scholar] [CrossRef]
- Nandwana, P.; Peter, W.H.; Dehoff, R.R.; Lowe, L.E.; Kirka, M.M.; Medina, F.; Babu, S.S. Recyclability Study on Inconel 718 and Ti-6Al-4V Powders for Use in Electron Beam Melting. Metall. Mater. Trans. B 2016, 47, 754–762. [Google Scholar] [CrossRef]
- Vluttert, N. The Absorption of Moisture by Metal Powder in A Humid Environment and the Effects on Its Composition. Bachelor’s Thesis, University of Twente, Enschede, The Netherlands, 2016. Available online: http://essay.utwente.nl/71620/ (accessed on 23 April 2021).
- Montelione, A.; Ghods, S.; Schur, R.; Wisdom, C.; Arola, D.; Ramulu, M. Powder Reuse in Electron Beam Melting Additive Manufacturing of Ti6Al4V: Particle Microstructure, Oxygen Content and Mechanical Properties. Addit. Manuf. 2020, 35, 101216. [Google Scholar] [CrossRef]
- Shvab, R.; Hryha, E.; Nyborg, L. Surface chemistry of the titanium powder studied by XPS using internal standard reference. Powder Metall. 2017, 60, 42–48. [Google Scholar] [CrossRef]
- Tan, J.H.; Wong, W.L.E.; Dalgarno, K.W. An overview of powder granulometry on feedstock and part performance in the selective laser melting process. Addit. Manuf. 2017, 18, 228–255. [Google Scholar] [CrossRef] [Green Version]
- Mizuno, Y.; King, F.K.; Yamauchi, Y.; Homma, T.; Tanaka, A.; Takakuwa, Y.; Momose, T. Temperature dependence of oxide decomposition on titanium surfaces in ultrahigh vacuum. J. Vac. Sci. Technol. A Vacuum Surfaces Film 2002, 20, 1716–1721. [Google Scholar] [CrossRef]
- Attalla, A.; Bowman, R.C.J.; Craft, B.D.; Love, C.M.; Yauger, R.L. Investigation of Moisture in Titanium Metal Powder by Pulsed NMR; Mound Lab.: Miamisburg, OH, USA, 1977. [Google Scholar] [CrossRef] [Green Version]
- Sims, C.T.; Stoloff, N.S.; Hagel, W.C. Superalloys II: High-Temperature Materials for Aerospace and Industrial Power; Wiley: Hoboken, NJ, USA, 1987. [Google Scholar]
- Donachie, M.J. Titanium: A Technical Guide, 2nd ed.; ASM International: Materials Park, OH, USA, 2000. [Google Scholar]
- Mehat, N.M.; Kamaruddin, S.; Othman, A.R. Hybrid Integration of Taguchi Parametric Design, Grey Relational Analysis, and Principal Component Analysis Optimization for Plastic Gear Production. Chin. J. Eng. 2014, 2014, 351206. [Google Scholar] [CrossRef] [Green Version]








| Powder Characteristic | Requirements | What Other Characteristics does This Property Have an Influence on | Performance Metrics That can Help Assess The Powder Property | Should This Performance Metric be Maximized (↑), Minimized (↓) or Kept Constant (↔) |
|---|---|---|---|---|
| Morphology | Spherical and equiaxed to increase flowability and avoid interparticle friction and mechanical interlocking | Powder bed packing density and the final component density, surface finish | Sphericity | ↑ |
| Apparent density | Should be high for improved heat conduction in the EB-PBF process | Heat conduction, sample swelling and overheating | ρ0 | ↑ |
| Compressibility | High compressibility is desirable to be able to achieve higher packing density in the powder bed | Powder bed packing density, layer thickness, heat conduction | Carr index () | ↓ |
| Particle Size distribution (PSD) | Stay within the manufacturer’s size range and not drastically increase in order to obtain small feature sizes and thinner powder layers | Minimum layer thickness, minimum achievable feature size, build quality, surface finish | D10, D50 and D90 values | ↔ |
| Chemical composition | The oxygen and nitrogen concentration should stay within allowable concentration limits | Mechanical properties such as toughness, ductility of final parts, embrittlement | Oxygen (in wt.%) and nitrogen (in wt.%) | ↓ |
| Spreadability | A dynamic cohesive index closer to zero corresponds to a non-cohesive powder. A cohesive powder leads to a sporadic or intermittent flow while a non-cohesive powder leads to a regular flow | Powder bed packing density, powder layer uniformity, rake-ability, easy flow in the hoppers (i.e., powder storage). Decreased spreadability and flowability may contribute to more defects in the final part | Cohesive index (CI) | ↓ |
| Flowability | Highly flowable powder minimizes the risk of mechanical interlocking and friction between particles and allows for smooth operation while raking and for uniform and homogenous distribution over the build plate | ) | ↓ | |
| Basic flow energy (BFE) | ↓ | |||
| Specific energy (SE) | ↓ | |||
| Angle of repose (AOR) | ↓ |
| Powder Type | Description |
|---|---|
| G0 | Virgin powder |
| G1 | Powder that was used 1 time |
| G2 | Powder that was used 2 times |
| G3 | Powder that was used 3 times |
| GB12 | 50% G1 + 50% G2 |
| GB13 | 50% G1 + 50% G3 |
| GB23 | 50% G2 + 50% G3 |
Publisher’s Note: MDPI stays neutral with regard to jurisdictional claims in published maps and institutional affiliations. |
© 2021 by the authors. Licensee MDPI, Basel, Switzerland. This article is an open access article distributed under the terms and conditions of the Creative Commons Attribution (CC BY) license (https://creativecommons.org/licenses/by/4.0/).
Share and Cite
Shanbhag, G.; Vlasea, M. Powder Reuse Cycles in Electron Beam Powder Bed Fusion—Variation of Powder Characteristics. Materials 2021, 14, 4602. https://doi.org/10.3390/ma14164602
Shanbhag G, Vlasea M. Powder Reuse Cycles in Electron Beam Powder Bed Fusion—Variation of Powder Characteristics. Materials. 2021; 14(16):4602. https://doi.org/10.3390/ma14164602
Chicago/Turabian StyleShanbhag, Gitanjali, and Mihaela Vlasea. 2021. "Powder Reuse Cycles in Electron Beam Powder Bed Fusion—Variation of Powder Characteristics" Materials 14, no. 16: 4602. https://doi.org/10.3390/ma14164602
APA StyleShanbhag, G., & Vlasea, M. (2021). Powder Reuse Cycles in Electron Beam Powder Bed Fusion—Variation of Powder Characteristics. Materials, 14(16), 4602. https://doi.org/10.3390/ma14164602

