Investigation of the Near-Tip Stress Field of a Notch Terminating at a Bi-Material Interface
Abstract
1. Introduction
2. Materials and Methods
2.1. Analytical Solutions
- along the interface, for φ = 0 [29];,
- of the upper surface of the V-notch, for φ = γ;
- for
- symmetry conditions (Mode I)
- skew-symmetry conditions (Mode II)
2.2. The Method for Determining Generalised Stress Intensity Factors Kj
2.3. FEM Modelling
- a rectangular plate with a single edge sharp corner under uniaxial tension (Figure 3a);
- a rectangular plate with a double edge sharp corner under uniaxial/biaxial tension (Figure 3b);
- a rectangular plate with a central sharp corner under uniaxial/biaxial tension (Figure 4a);
- a rectangular plate with a central sharp corner under pure shear loading (Figure 4b).
3. Results and Discussion
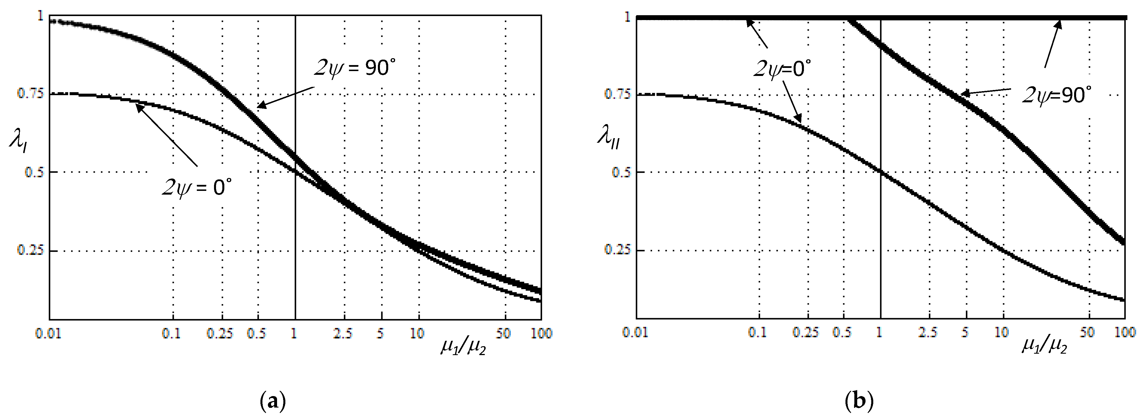
3.1. Rectangular Plate with a Single Edge Sharp Corner under Uniaxial Tension
- an increase in the notch angle 2ψ;
3.2. Rectangular Plate with a Double Edge Sharp Corner under Uniaxial/Biaxial Tension
- the FI value significantly decreases for Γ ≤ 1;
- increases slightly for the case where Γ > 1.
3.3. Rectangular Plate with a Central Sharp Corner under Uniaxial/Biaxial Tension
3.4. Rectangular Plate with a Central Sharp Corner under Pure Shear Loading
4. Conclusions
Author Contributions
Funding
Institutional Review Board Statement
Informed Consent Statement
Data Availability Statement
Acknowledgments
Conflicts of Interest
References
- Griffits, A.A. The phenomena of rupture and flow in solids. Philos. Trans. R. Soc. London Ser. A Contain. Pap. A Math. Phys. Character 1921, 221, 163–198. [Google Scholar]
- Sih, G.C. Strain-energy-density factor applied to mixed mode crack problems. Int. J. Fract. 1974, 10, 305–321. [Google Scholar] [CrossRef]
- McClintock, F.A. Ductile fracture instability in shear. J. Appl. Mech. 1958, 25, 582–588. [Google Scholar] [CrossRef]
- Yosibash, Z.; Priel, E.; Leguillon, D. A failure criterion for brittle elastic materials under mixed-mode loading. Int. J. Fract. 2006, 141, 291–312. [Google Scholar] [CrossRef]
- Sih, G.C.; Chen, E.P.; Sih, G.C.; Chen, E.P. Cracks in materials possessing homogeneous anisotropy. In Cracks in Composite Materials; Springer: Dordrecht, The Netherlands, 1981; pp. 1–101. [Google Scholar]
- Sun, C.T.; Jih, C.J. On strain energy release rates for interfacial cracks in bi–material media. Eng. Fract. Mech. 1987, 28, 13–20. [Google Scholar] [CrossRef]
- Krishnan, A.; Roy Xu, L. An experimental study on the crack initiation from notches connected to interfaces of bonded bi-materials. Eng. Fract. Mech. 2013, 111, 65–76. [Google Scholar] [CrossRef]
- Mieczkowski, G. Stress fields and fracture prediction for an adhesively bonded bimaterial structure with a sharp notch located on the interface. Mech. Compos. Mater. 2017, 53, 305–320. [Google Scholar] [CrossRef]
- Ballarini, R. A rigid line inclusion at a bimaterial interface. Eng. Fract. Mech. 1990, 37, 1–5. [Google Scholar] [CrossRef]
- Mieczkowski, G. Description of stress fields and displacements at the tip of a rigid, flat inclusion located at interface using modified stress intensity factors. Mechanika 2015, 21, 91–98. [Google Scholar] [CrossRef][Green Version]
- Mieczkowski, G. Stress fields at the tip of a sharp inclusion on the interface of a bimaterial. Mech. Compos. Mater. 2016, 52, 601–610. [Google Scholar] [CrossRef]
- Carpinteri, A.; Paggi, M.; Pugno, N. Numerical evaluation of generalised stress-intensity factors in multi-layered composites. Int. J. Solids Struct. 2006, 43, 627–641. [Google Scholar] [CrossRef]
- Sisodia, S.M.; Bull, D.J.; George, A.R.; Gamstedt, E.K.; Mavrogordato, M.N.; Fullwood, D.T.; Spearing, S.M. The effects of voids in quasi-static indentation of resin-infused reinforced polymers. J. Compos. Mater. 2019, 53, 4399–4410. [Google Scholar] [CrossRef]
- Mehdikhani, M.; Gorbatikh, L.; Verpoest, I.; Lomov, S.V. Voids in fiber-reinforced polymer composites: A review on their formation, characteristics, and effects on mechanical performance. J. Compos. Mater. 2019, 53, 1579–1669. [Google Scholar] [CrossRef]
- Zak, A.R.; Williams, M.L. Crack point stress singularities at a bi–material interface. J. Appl. Mech. Trans. ASME 1960, 30, 142–143. [Google Scholar] [CrossRef]
- Cook, T.S.; Erdogan, F. Stresses in bonded materials with a crack perpendicular to the interface. Int. J. Eng. Sci. 1972, 10, 677–697. [Google Scholar] [CrossRef]
- Wang, W.C.; Chen, J.T. Theoretical and experimental re-examination of a crack perpendicular to and terminating at the bimaterial interface. J. Strain Anal. Eng. Des. 1993, 28, 53–61. [Google Scholar] [CrossRef]
- Lin, K.Y.; Mar, J.W. Finite element analysis of stress intensity factors for cracks at a bi–material interface. Int. J. Fract. 1976, 12, 521–531. [Google Scholar] [CrossRef]
- Meguid, S.A.; Tan, M.; Zhu, Z.H. Analysis of cracks perpendicular to bimaterial interfaces using a novel finite element. Int. J. Fract. 1985, 73, 1–23. [Google Scholar] [CrossRef]
- Dai-Heng, C. A crack normal to and terminating at a bimaterial interface. Eng. Fract. Mech. 1994, 49, 517–532. [Google Scholar] [CrossRef]
- Keikhaie, M.; Keikhaie, N.; Keikhaie, R.; Kaykha, M.M. Stress Intensity Factors in Two Bonded Elastic Layers Containing Crack Perpendicular on the Interface with Different Elastic Properties. J. Mod. Phys. 2015, 6, 640–647. [Google Scholar] [CrossRef]
- Bogy, D.B. On the plane elastostatic problem of a loaded crack terminating at a material interface. J. Appl. Mech. Trans. ASME 1971, 38, 911–918. [Google Scholar] [CrossRef]
- Chang, J.; Xu, J.Q. The singular stress field and stress intensity factors of a crack terminating at a bimaterial interface. Int. J. Mech. Sci. 2007, 49, 888–897. [Google Scholar] [CrossRef]
- Náhlík, L.; Knésl, Z.; Klusák, J. Crack initiation criteria for singular stress concentrations Part III: An Application to a Crack Touching a Bimaterial Interface. Eng. Mech. 2008, 15, 99–114. [Google Scholar]
- Selvarathinam, A.S.; Weitsman, Y.J. Fracture in angle-ply ceramic matrix composites. Int. J. Fract. 2000, 102, 71–84. [Google Scholar] [CrossRef]
- Li, Y.; Song, M. Method to calculate stress intensity factor of V-notch in bi-materials. Acta Mech. Solida Sin. 2008, 21, 337–346. [Google Scholar] [CrossRef]
- Williams, M.L. Stress Singularities Resulting from Various Boundary Conditions in Angular Corners of Plates in Extension. J. Appl. Mech. 1952, 19, 526–528. [Google Scholar] [CrossRef]
- Parton, V.Z.; Perlin, P.I. Mathematical Methods of the Theory of Elasticity; Mir Publishers: Moscow, Russia, 1984. [Google Scholar]
- Hein, V.L.; Erdogan, F. Stress singularities in a two-material wedge. Int. J. Fract. Mech. 1971, 7, 317–330. [Google Scholar] [CrossRef]
- Mieczkowski, G. Determination of stress intensity factors for elements with sharp corner located on the interface of a bi–material structure or homogeneous material. Acta. Mech. 2021, 232, 709–724. [Google Scholar] [CrossRef]
- Borawski, A.; Szpica, D.; Mieczkowski, G. Verification tests of frictional heat modelling results. Mechanika 2020, 26, 260–264. [Google Scholar] [CrossRef]
- Łukaszewicz, A. Nonlinear Numerical Model of Friction Heating during Rotary Friction Welding. J. Frict. Wear 2018, 39, 476–482. [Google Scholar] [CrossRef]
- Borawski, A.; Szpica, D.; Mieczkowski, G.; Borawska, E.; Awad, M.M.; Shalaby, R.M.; Sallah, M. Theoretical Analysis of the Motorcycle Front Brake Heating Process during High Initial Speed Emergency Braking. J. Appl. Comput. Mech. 2020, 6, 1431–1437. [Google Scholar]
- Yevtushenko, A.A.; Kuciej, M.; Grzes, P.; Wasilewski, P. Temperature in the railway disc brake at a repetitive short-term mode of braking. Int. Commun. Heat Mass Transf. 2017, 84, 102–109. [Google Scholar] [CrossRef]
- Mieczkowski, G.; Borawski, A.; Szpica, D. Static electromechanical characteristic of a three-layer circular piezoelectric transducer. Sensors 2020, 20, 222. [Google Scholar] [CrossRef] [PubMed]
- Liu, Z.; Chen, J.; Zou, X. Modeling the piezoelectric cantilever resonator with different width layers. Sensors 2021, 21, 87. [Google Scholar] [CrossRef] [PubMed]
- Asadi Dereshgi, H.; Dal, H.; Yildiz, M.Z. Piezoelectric micropumps: State of the art review. Microsyst. Technol. 2021, 1–29. [Google Scholar] [CrossRef]
- Treifi, M.; Oyadiji, S.O. Bi–material V-notch stress intensity factors by the fractal-like finite element method. Eng. Fract. Mech. 2013, 105, 221–237. [Google Scholar] [CrossRef]
- Dunn, M.L.; Suwito, W.; Cunningham, S. Stress intensities at notch singularities. Eng. Fract. Mech. 1997, 57, 417–430. [Google Scholar] [CrossRef]












| 2ψ [°] | γ [°] | λI | ||||||
|---|---|---|---|---|---|---|---|---|
| Γ = 0.1 | Γ = 0.2 | Γ = 0.5 | Γ = 1 | Γ = 2 | Γ = 5 | Γ = 10 | ||
| 0 | 90 | 0.68145 | 0.64075 | 0.56383/0.56383 * | 0.5 | 0.42944/0.42944 * | 0.32579 | 0.25150 |
| 30 | 75 | 0.72936 | 0.67111 | 0.57386 | 0.50145 | 0.43042 | 0.33514 | 0.26647 |
| 60 | 60 | 0.79536 | 0.72026 | 0.59975 | 0.51222 | 0.43166 | 0.33627 | 0.27426 |
| 90 | 45 | 0.86612 | 0.78694 | 0.64984 | 0.54448 | 0.44639 | 0.33606 | 0.27385 |
| 2ψ [°] | γ [°] | λII | ||||||
|---|---|---|---|---|---|---|---|---|
| Γ = 0.1 | Γ = 0.2 | Γ = 0.5 | Γ = 1 | Γ = 2 | Γ = 5 | Γ = 10 | ||
| 0 | 90 | 0.68145 | 0.64075 | 0.56383 | 0.5 | 0.42944 | 0.32579 | 0.25150 |
| 30 | 75 | 0.77821 | 0.73773 | 0.66074 | 0.59819 | 0.52828 | 0.41805 | 0.33128 |
| 60 | 60 | 0.92776 | 0.88173 | 0.79616 | 0.73090 | 0.66201 | 0.55226 | 0.45604 |
| 90 | 45 | 1 | 1 | 0.99105 | 0.90853 | 0.83206 | 0.73052 | 0.64428 |
| Γ | FI | |||
|---|---|---|---|---|
| 2ψ = 0° | 2ψ = 30° | 2ψ = 60° | 2ψ = 90° | |
| 0.1 | 4.317 | 6.070 | 8.765 | 11.990 |
| 0.2 | 3.076 | 3.722 | 4.713 | 5.991 |
| 0.5 | 1.908 | 2.019 | 2.236 | 2.609 |
| 1 | 1.361 | 1.375 | 1.431/2.220 ** | 1.579/2.471 ** |
| 1.367 * | 2.230 * | 2.478 * | ||
| 2 | 0.983 | 0.983 | 0.989 | 1.042 |
| 5 | 0.636 | 0.659 | 0.659 | 0.659 |
| 10 | 0.452 | 0.490 | 0.502 | 0.504 |
| Γ | FI | |||||||
|---|---|---|---|---|---|---|---|---|
| 2ψ = 0° | 2ψ = 30° | 2ψ = 60° | 2ψ = 90° | |||||
| σx = 0 | σx/σy1 = 2 | σx = 0 | σx/σy1 = 2 | σx = 0 | σx/σy1 = 2 | σx = 0 | σx/σy1 = 2 | |
| 0.1 | 4.332 | 3.488 | 5.847 | 3.68 | 8.469 | 4.086 | 11.498 | 4.600 |
| 0.2 | 2.950 | 2.430 | 3.489 | 3.00 | 4.412 | 2.424 | 5.580 | 2.578 |
| 0.5 | 1.685 | 1.525 | 1.767 | 1.40 | 1.958 | 1.318 | 2.281 | 1.343 |
| 1 | 1.132 | 1.132 | 1.140 | 1.03 | 1.189 | 0.950 | 1.324 | 0.969 |
| 2 | 0.772 | 0.806 | 0.777 | 0.778 | 0.781 | 0.783 | 0.821 | 0.832 |
| 5 | 0.480 | 0.493 | 0.497 | 0.51 | 0.496 | 0.509 | 0.517 | 0.518 |
| 10 | 0.344 | 0.346 | 0.368 | 0.38 | 0.376 | 0.395 | 0.381 | 0.406 |
| Γ | FI | |||||||
|---|---|---|---|---|---|---|---|---|
| 2ψ = 0° | 2ψ = 30° | 2ψ = 60° | 2ψ = 90° | |||||
| σx = 0 | σx/σy1 = 2 | σx = 0 | σx/σy1 = 2 | σx = 0 | σx/σy1 = 2 | σx = 0 | σx/σy1 = 2 | |
| 0.1 | 4.146 | 3.395 | 5.818 | 3.766 | 8.740 | 3.793 | 12.36 | 2.415 |
| 0.2 | 2.742 | 2.410 | 3.497 | 2.460 | 4.600 | 2.300 | 6.12 | 1.270 |
| 0.5 | 1.620 | 1.500 | 1.767 | 1.464 | 2.067 | 1.304 | 2.56 | 0.710 |
| 1 | 1.109 1.004 * | 1.109 | 1.146 1.027 * | 1.076 | 1.254 1.112 * | 0.953 | 1.47 1.263 * | 0.596 |
| 0.996 ** | 1.028 ** | 1.115 ** | 1.267 ** | |||||
| 2 | 0.771 | 0.803 | 0.782 | 0.797 | 0.818 | 0.821 | 0.91 | 0.512 |
| 5 | 0.482 | 0.505 | 0.498 | 0.526 | 0.502 | 0.508 | 0.53 | 0.406 |
| 10 | 0.345 | 0.353 | 0.366 | 0.381 | 0.379 | 0.385 | 0.39 | 0.337 |
| Γ | FII | |||
|---|---|---|---|---|
| 2ψ = 0° | 2ψ = 30° | 2ψ = 60° | 2ψ = 90° | |
| 0.1 | 13.739 | 16.146 | 19.152 | - |
| 0.2 | 6.501 | 7.796 | 9.387 | - |
| 0.5 | 2.279 | 2.845 | 3.530 | 4.669 |
| 1 | 1.034 | 1.345 | 1.731 | 2.124 |
| 2 | 0.451 | 0.613 | 0.836 | 1.074 |
| 5 | 0.139 | 0.197 | 0.293 | 0.425 |
| 10 | 0.062 | 0.088 | 0.135 | 0.218 |
Publisher’s Note: MDPI stays neutral with regard to jurisdictional claims in published maps and institutional affiliations. |
© 2021 by the authors. Licensee MDPI, Basel, Switzerland. This article is an open access article distributed under the terms and conditions of the Creative Commons Attribution (CC BY) license (https://creativecommons.org/licenses/by/4.0/).
Share and Cite
Mieczkowski, G.; Szpica, D.; Borawski, A.; Awad, M.M.; Elgarayhi, A.; Sallah, M. Investigation of the Near-Tip Stress Field of a Notch Terminating at a Bi-Material Interface. Materials 2021, 14, 4466. https://doi.org/10.3390/ma14164466
Mieczkowski G, Szpica D, Borawski A, Awad MM, Elgarayhi A, Sallah M. Investigation of the Near-Tip Stress Field of a Notch Terminating at a Bi-Material Interface. Materials. 2021; 14(16):4466. https://doi.org/10.3390/ma14164466
Chicago/Turabian StyleMieczkowski, Grzegorz, Dariusz Szpica, Andrzej Borawski, Mohamed M. Awad, Ahmed Elgarayhi, and Mohammed Sallah. 2021. "Investigation of the Near-Tip Stress Field of a Notch Terminating at a Bi-Material Interface" Materials 14, no. 16: 4466. https://doi.org/10.3390/ma14164466
APA StyleMieczkowski, G., Szpica, D., Borawski, A., Awad, M. M., Elgarayhi, A., & Sallah, M. (2021). Investigation of the Near-Tip Stress Field of a Notch Terminating at a Bi-Material Interface. Materials, 14(16), 4466. https://doi.org/10.3390/ma14164466

