Effect of Mechanical Heterogeneity on Strain and Stress Fields at Crack Tips of SCC in Dissimilar Metal Welded Joints
Abstract
:1. Introduction
2. Materials and Methods
2.1. Materials and Specimen Geometry
2.2. FEM Model
3. Results and Discussion
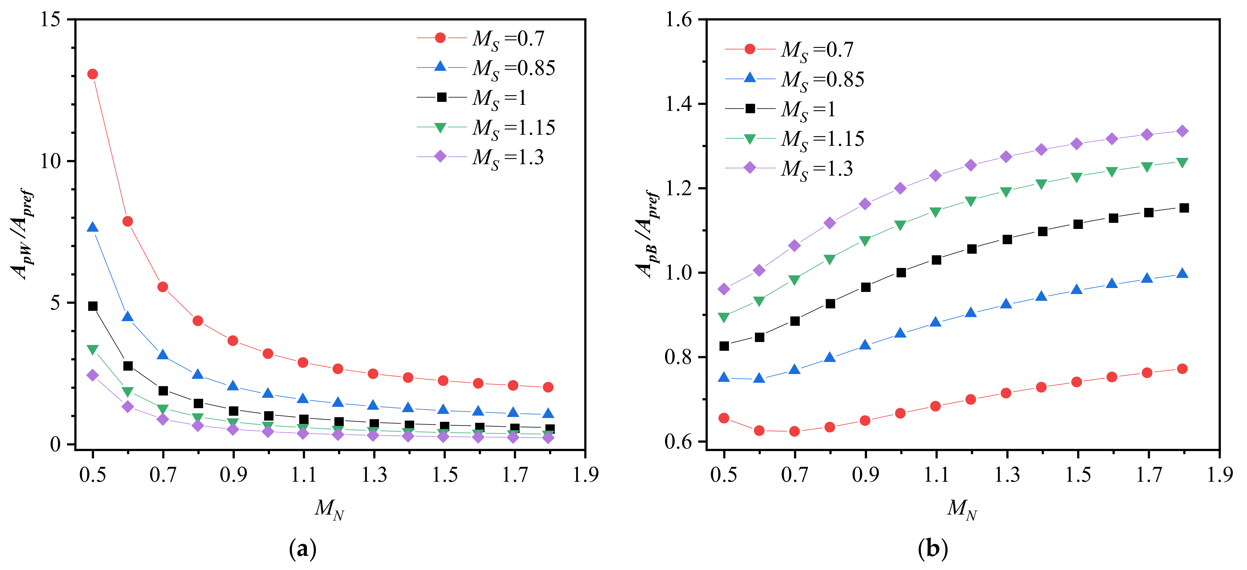
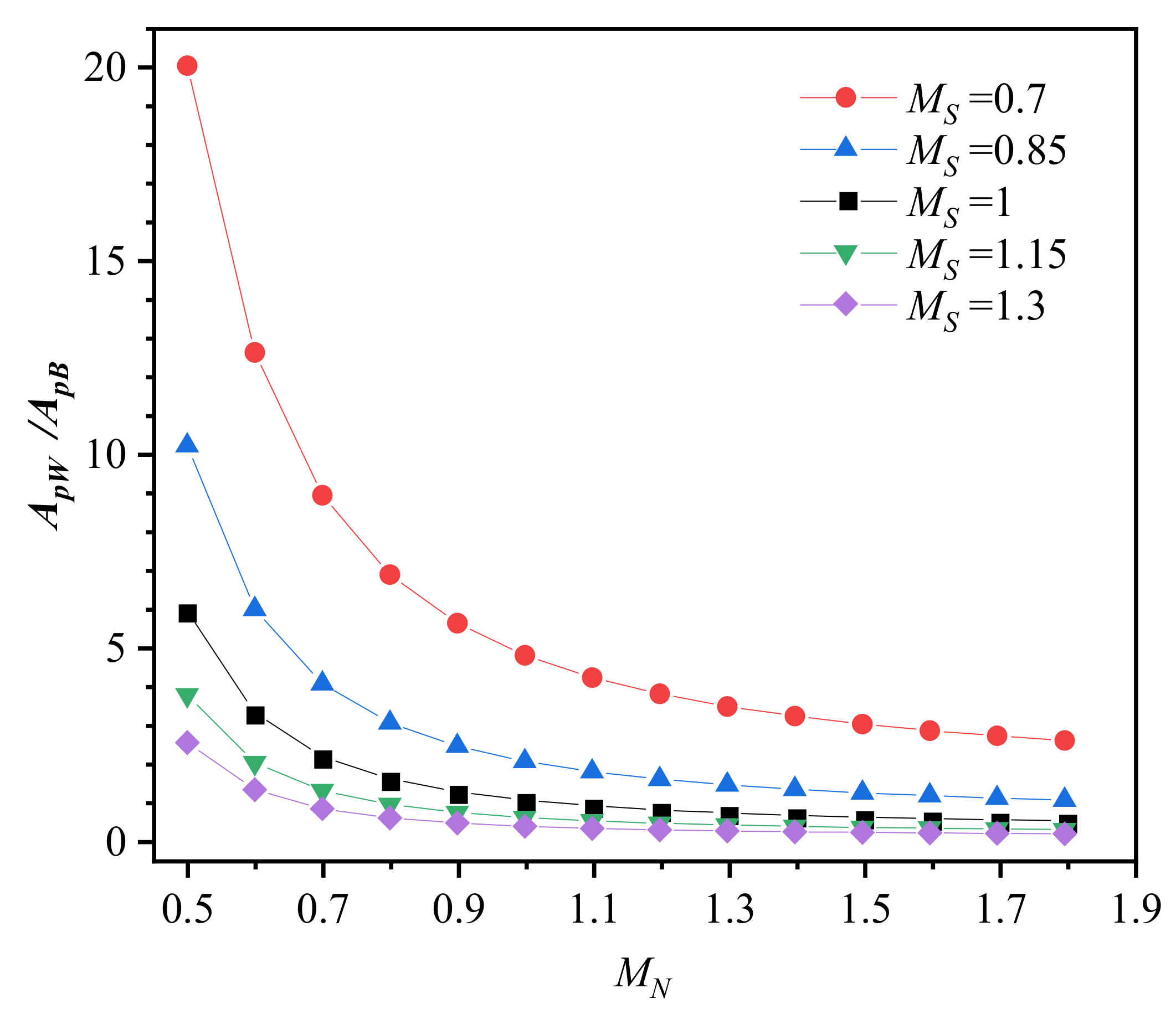
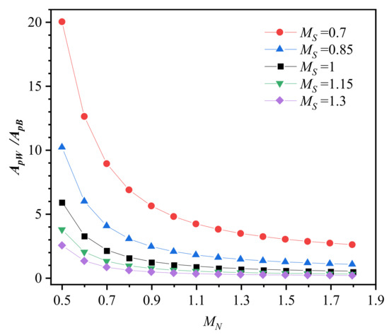
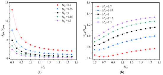
3.1. Plastic Zone
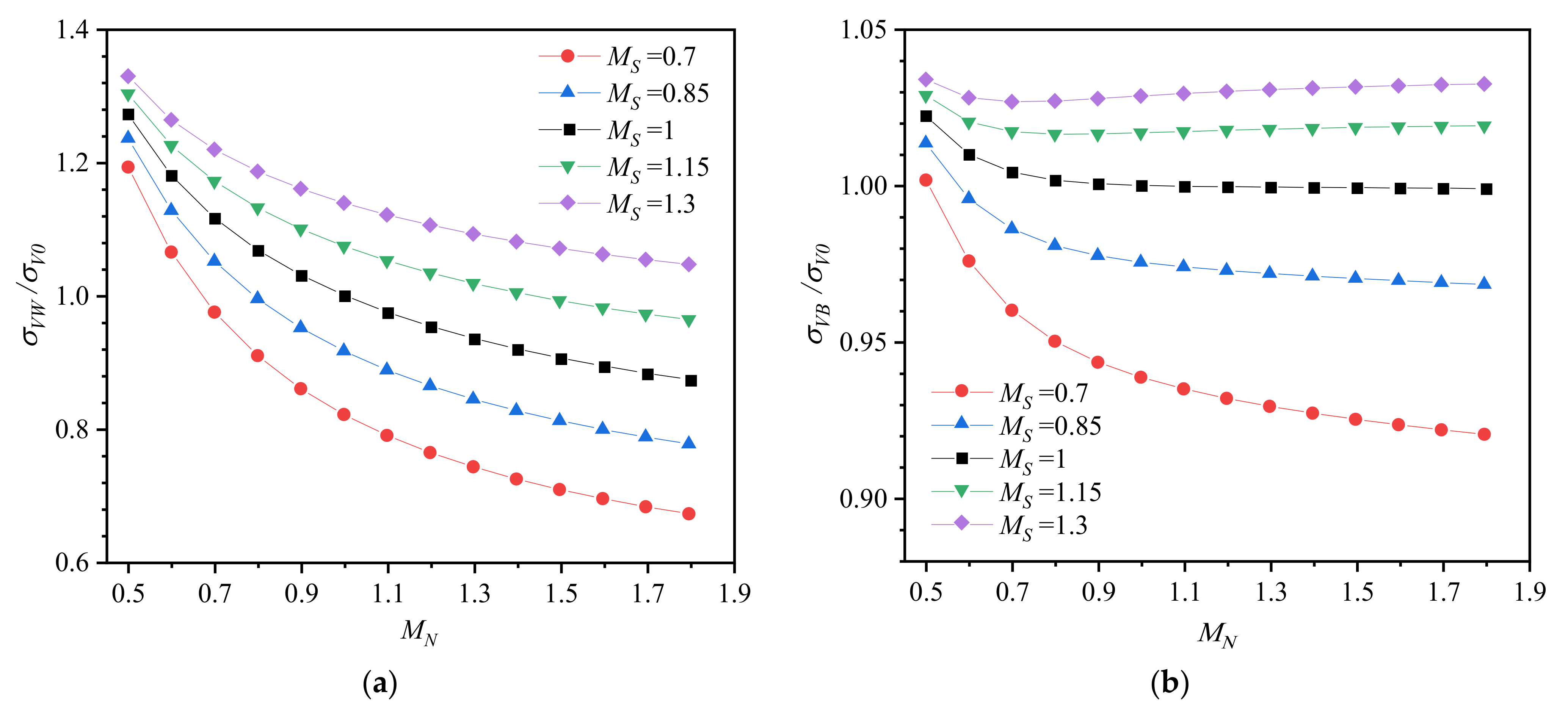
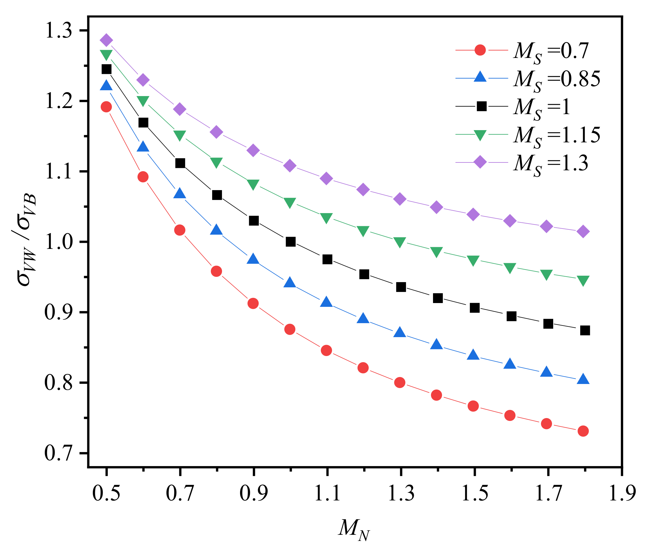
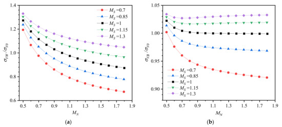
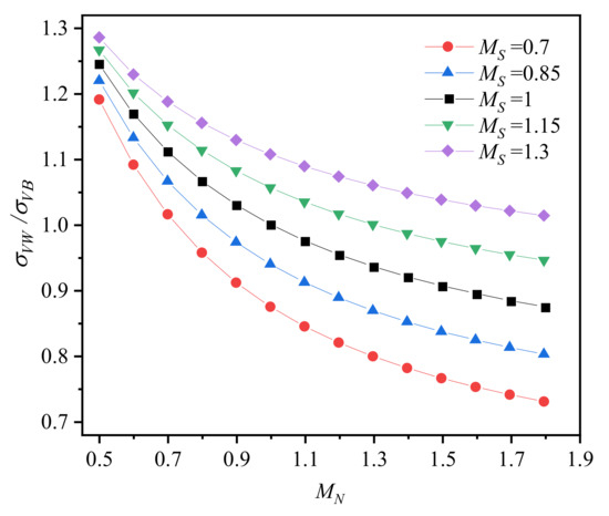
3.2. Stress Distribution
3.3. J-Integral
4. Conclusions
- The effect of strength mismatch and work hardening mismatch on the plastic zone area is negligible in the base metal but significant in the weld metal. The increase in either will inhibit the effect of the other on the plastic zone area of the weld metal. The crack growth direction depends on the synergistic effect of two mismatches;
- The effect of strength mismatch and work hardening mismatch on the stress distribution is negligible in the base metal but significant in the weld metal. The increase in strength mismatch ratio will inhibit the effect of the work hardening mismatch ratio on the stress level of the weld metal. The increase in work hardening mismatch ratio will promote the effect of the strength mismatch ratio on the stress level of the weld metal;
- J-integral decreases with the single increase in either strength mismatch or work hardening mismatch. Either the increase in strength mismatch or work hardening mismatch will inhibit the other’s effect on the J-integral, and this synergistic effect may be expressed by a synthetic mismatch factor M2. Further study of the mismatch factor M2 and its use are currently being carried out;
- Higher yield strength and work hardening coefficient of weld metal will reduce the crack driving force (including plastic zone and J-integral) for interface SCC crack. It is recommended to calculate the strain and stress field and crack driving force of SCC for both strength and hardening mismatch in structural integrity assessment.
Author Contributions
Funding
Institutional Review Board Statement
Informed Consent Statement
Data Availability Statement
Conflicts of Interest
References
- Andresen, P.L. A Brief History of Environmental Cracking in Hot Water. Corrosion 2018, 75, 240–253. [Google Scholar] [CrossRef]
- Xue, H.; Li, Z.; Lu, Z.; Shoji, T. The effect of a single tensile overload on stress corrosion cracking growth of stainless steel in a light water reactor environment. Nucl. Eng. Des. 2011, 241, 731–738. [Google Scholar] [CrossRef]
- Liu, X.; Hwang, W.; Park, J.; Van, D.; Chang, Y.; Lee, S.H.; Kim, S.-Y.; Han, S.; Lee, B. Toward the multiscale nature of stress corrosion cracking. Nucl. Eng. Technol. 2018, 50, 1–17. [Google Scholar] [CrossRef]
- Dong, L.; Peng, Q.; Xue, H.; Han, E.-H.; Ke, W.; Wang, L. Correlation of microstructure and stress corrosion cracking initiation behaviour of the fusion boundary region in a SA508 Cl. 3-Alloy 52M dissimilar weld joint in primary pressurized water reactor environment. Corros. Sci. 2018, 132, 9–20. [Google Scholar] [CrossRef]
- Zhang, Z.L.; Hauge, M.; Thaulow, C. Two-parameter characterization of the near-tip stress fields for a bi-material elastic-plastic interface crack. Int. J. Fract. 1996, 79, 65–83. [Google Scholar] [CrossRef]
- Lee, H. Estimation of crack driving forces on strength-mismatched bimaterial interfaces. Nucl. Eng. Des. 2002, 212, 155–164. [Google Scholar] [CrossRef]
- Castelluccio, G.M.; Cravero, S.; Bravo, R.; Ernst, H. Mismatch effect on fracture driving force in mismatched girth welded pipes. In Proceedings of the ASME 2011 Pressure Vessels and Piping Conference, Baltimore, MA, USA, 17–21 July 2011. [Google Scholar] [CrossRef]
- Koo, J.-M.; Huh, Y.; Seok, C.-S. Plastic η factor considering strength mismatch and crack location in narrow gap weldments. Nucl. Eng. Des. 2012, 247, 34–41. [Google Scholar] [CrossRef]
- Su, L.; Xu, J.; Song, W.; Chu, L.; Gao, H.; Li, P.; Berto, F. Numerical Investigation of Strength Mismatch Effect on Ductile Crack Growth Resistance in Welding Pipe. Appl. Sci. 2020, 10, 1374. [Google Scholar] [CrossRef] [Green Version]
- Min, Z.; Shi, Y.; Zhang, X. Influence of strength mis-matching on crack driving force and failure assessment curve of weldment. Int. J. Press. Vessels Pip. 1997, 70, 33–41. [Google Scholar] [CrossRef]
- Østby, E.; Zhang, Z.; Thaulow, C. Constraint effect on the near tip stress fields due to difference in plastic work hardening for bi-material interface cracks in small scale yielding. Int. J. Fract. 2001, 111, 87–103. [Google Scholar] [CrossRef]
- Lee, H.; Kim, Y.-J. Interfacial crack-tip constraints and J-integral for bi-materials with plastic hardening mismatch. Int. J. Fract. 2007, 143, 231–243. [Google Scholar] [CrossRef]
- Herold, H.; Zinke, M.; Hübner, A. Investigations on the use of Nitrogen Shielding Gas in Welding and its Influence on the Hot Crack Behaviour of High-Temperature Resistant Fully Austenitic Ni- and Fe-Base Alloys. Weld. World 2005, 49, 50–63. [Google Scholar] [CrossRef]
- Wang, H.; Wang, G.; Xuan, F.; Tu, S. An experimental investigation of local fracture resistance and crack growth paths in a dissimilar metal welded joint. Mater. Des. 2013, 44, 179–189. [Google Scholar] [CrossRef]
- Zerbst, U.; Ainsworth, R.; Beier, H.; Pisarski, H.; Zhang, Z.; Nikbin, K.; Nitschke-Pagel, T.; Münstermann, S.; Kucharczyk, P.; Klingbeil, D. Review on fracture and crack propagation in weldments—A fracture mechanics perspective. Eng. Fract. Mech. 2014, 132, 200–276. [Google Scholar] [CrossRef]
- Tanguy, B.; Besson, J.; Piques, R.; Pineau, A. Ductile to brittle transition of an A508 steel characterized by Charpy impact test: Part I: Experimental results. Eng. Fract. Mech. 2005, 72, 49–72. [Google Scholar] [CrossRef] [Green Version]
- Rudland, D.; Brust, F.; Shim, D.J.; Zhang, T. Further welding residual stress and flaw tolerance assessment of dissimilar metal welds with alloy 52 inlays. In Proceedings of the ASME 2010 Pressure Vessels and Piping Division/K-PVP Conference, Bellevue, WA, USA, 18–22 July 2010. [Google Scholar] [CrossRef]
- Kim, J.W.; Lee, K.; Kim, J.S.; Byun, T.S. Local mechanical properties of Alloy 82/182 dissimilar weld joint between SA508 Gr.1a and F316 SS at RT and 320 °C. J. Nucl. Mater. 2009, 384, 212–221. [Google Scholar] [CrossRef]
- Wang, H.T.; Wang, G.Z.; Xuan, F.Z.; Liu, C.J.; Tu, S.T. Local Mechanical Properties and Microstructures of Alloy52M Dissimilar Metal Welded Joint between A508 Ferritic Steel and 316L Stainless Steel. Adv. Mater. Res. 2012, 509, 103–110. [Google Scholar] [CrossRef]
- Horsten, M.G.; Belcher, W.P. Fracture toughness and tensile properties of irradiated reactor pressure vessel cladding material. In Proceedings of the Radiation on Materials: 20th International Symposium, West Conshohocken, PY, USA, 12–16 January 2001. [Google Scholar]
- Duan, C.; Zhang, S. Two-parameter J-A estimation for weld centerline cracks of welded SE(T) specimen under tensile loading. Theor. Appl. Fract. Mech. 2020, 107, 102435. [Google Scholar] [CrossRef]
- Fan, K.; Wang, G.; Xuan, F.; Tu, S. Effects of work hardening mismatch on fracture resistance behavior of bi-material interface regions. Mater. Des. 2015, 68, 186–194. [Google Scholar] [CrossRef]
- Ding, P.; Wang, X. Solutions of the second elastic–plastic fracture mechanics parameter in test specimens under biaxial loading. Int. J. Press. Vessels Pip. 2013, 111–112, 279–294. [Google Scholar] [CrossRef]
- ASTM Standard E399-17. Standard Test Method for Linear-Elastic Plane Strain Fracture Toughness of Metallic Materials; Annual Book of ASTM Standards; ASTM International: West Conshohocken, PY, USA, 2017. [Google Scholar]
- Zhu, R.; Wang, J.; Zhang, Z.; Han, E.-H. Stress corrosion cracking of fusion boundary for 316L/52M dissimilar metal weld joints in borated and lithiated high temperature water. Corros. Sci. 2017, 120, 219–230. [Google Scholar] [CrossRef]
- Andresen, P.L.; Morra, M.M. Stress Corrosion Cracking of Stainless Steels and Nickel Alloys in High-Temperature Water. Corrosion 2008, 64, 15–29. [Google Scholar] [CrossRef]
- Jenks, A.R.; White, G.A.; Crooker, P. Crack growth rates for evaluating PWSCC of thick-wall alloy 690 material and alloy 52, 152, and variant welds. In Proceedings of the Pressure Vessels and Piping Conference, Waikoloa, HI, USA, 16–20 July 2017. [Google Scholar] [CrossRef]
- Lu, Z.; Shoji, T. Unified Interpretation of Crack Growth Rates of Ni-base Alloys in LWR Environments. J. Press. Vessel Technol. 2005, 128, 318–327. [Google Scholar] [CrossRef]
- Xue, H.; Shoji, T. Quantitative Prediction of EAC Crack Growth Rate of Sensitized Type 304 Stainless Steel in Boiling Water Reactor Environments Based on EPFEM. J. Press. Vessel Technol. 2006, 129, 460–467. [Google Scholar] [CrossRef]
- Lee, H.; Kim, Y.-J. Interfacial crack-tip constraints and J-integrals in plastically mismatched bi-materials. Eng. Fract. Mech. 2001, 68, 1013–1031. [Google Scholar] [CrossRef]
- Yang, S.; Chao, Y.; Sutton, M. Higher order asymptotic crack tip fields in a power-law hardening material. Eng. Fract. Mech. 1993, 45, 1–20. [Google Scholar] [CrossRef]
- Tomoyuki, F.; Keiichiro, T.; Naohiro, I.; Yoshinobu, S.; Gen, N. Derivation of J integral for evaluation of stress corrosion cracking behavior in a plastic deformation field. Corros. Eng. 2012, 61, 30. [Google Scholar] [CrossRef]
- Souza, R.F.; Ruggieri, C. Fracture assessments of clad pipe girth welds incorporating improved crack driving force solutions. Eng. Fract. Mech. 2015, 148, 383–405. [Google Scholar] [CrossRef]










Publisher’s Note: MDPI stays neutral with regard to jurisdictional claims in published maps and institutional affiliations. |
© 2021 by the authors. Licensee MDPI, Basel, Switzerland. This article is an open access article distributed under the terms and conditions of the Creative Commons Attribution (CC BY) license (https://creativecommons.org/licenses/by/4.0/).
Share and Cite
Zhang, S.; Xue, H.; Wang, S.; Sun, Y.; Yang, F.; Zhang, Y. Effect of Mechanical Heterogeneity on Strain and Stress Fields at Crack Tips of SCC in Dissimilar Metal Welded Joints. Materials 2021, 14, 4450. https://doi.org/10.3390/ma14164450
Zhang S, Xue H, Wang S, Sun Y, Yang F, Zhang Y. Effect of Mechanical Heterogeneity on Strain and Stress Fields at Crack Tips of SCC in Dissimilar Metal Welded Joints. Materials. 2021; 14(16):4450. https://doi.org/10.3390/ma14164450
Chicago/Turabian StyleZhang, Shun, He Xue, Shuai Wang, Yuman Sun, Fuqiang Yang, and Yubiao Zhang. 2021. "Effect of Mechanical Heterogeneity on Strain and Stress Fields at Crack Tips of SCC in Dissimilar Metal Welded Joints" Materials 14, no. 16: 4450. https://doi.org/10.3390/ma14164450
APA StyleZhang, S., Xue, H., Wang, S., Sun, Y., Yang, F., & Zhang, Y. (2021). Effect of Mechanical Heterogeneity on Strain and Stress Fields at Crack Tips of SCC in Dissimilar Metal Welded Joints. Materials, 14(16), 4450. https://doi.org/10.3390/ma14164450

