Mode I Crack Propagation Experimental Analysis of Adhesive Bonded Joints Comprising Glass Fibre Composite Material under Impact and Constant Amplitude Fatigue Loading
Abstract
:1. Introduction
2. Materials and Methods
3. Results
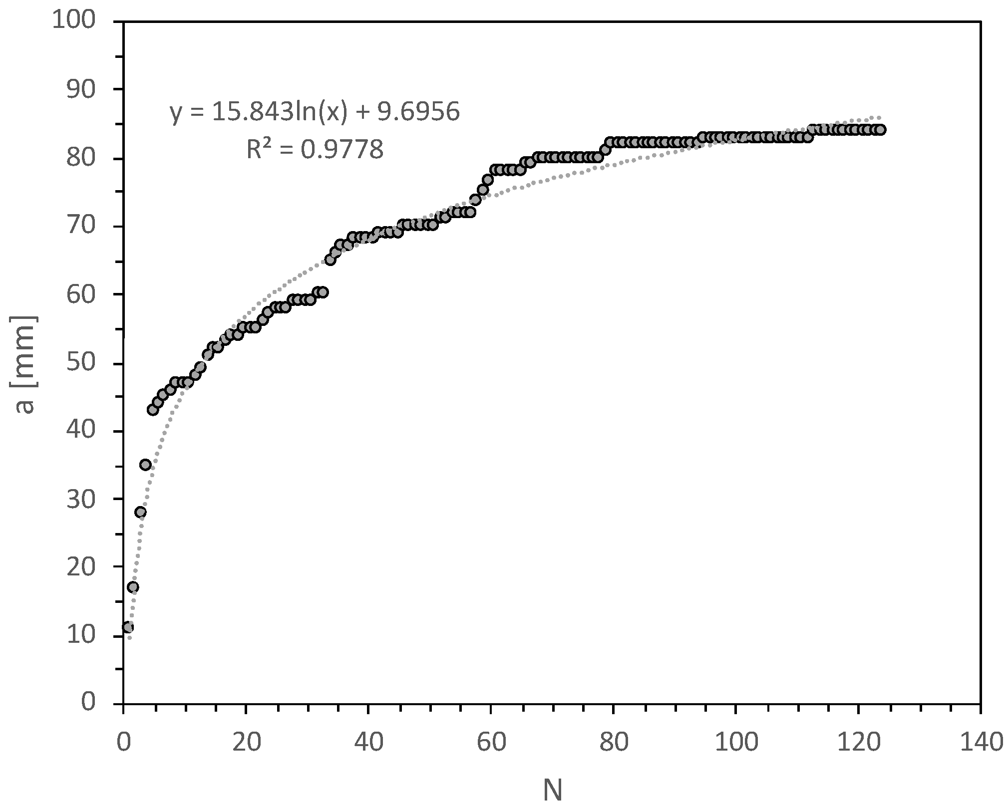
3.1. Mode I Critical Strain Energy Release Rate Determination
3.2. Crack Propagation Rate Test under Dynamic Loading Conditions
4. Discussion
5. Conclusions
Author Contributions
Funding
Institutional Review Board Statement
Informed Consent Statement
Data Availability Statement
Acknowledgments
Conflicts of Interest
References
- Riccio, A. Delamination in the context of composite structural design. In Delamination Behaviour of Composites; Woodhead Publishing: Sawston, UK, 2008. [Google Scholar]
- Scarselli, G.; Corcione, C.; Nicassio, F.; Maffezzoli, A. Adhesive joints with improved mechanical properties for aerospace applications. Int. J. Adhes. Adhes. 2017, 75, 174–180. [Google Scholar] [CrossRef]
- Banea, M.D.; Da Silva, L.F.M. Adhesively bonded joints in composite materials: An overview. In Proceedings of the Institution of Mechanical Engineers, Part L: Journal of Materials: Design and Applications; SAGE Publishing: New York, NY, USA, 2009; Volume 223, pp. 1–18. [Google Scholar]
- Campbell, F.C. Adhesive bonding and integrally cocured structure: A way to reduce assembly costs through parts integration. In Manufacturing Processes for Advanced Composite; Elsevier Science: London, UK, 2004; pp. 241–301. [Google Scholar]
- Sartor, P.; Becker, W.; Worden, K.; Schmidt, R.K.; Bond, D. Bayesian Sensitivity Analysis of Flight Parameters in a Hard-Landing Analysis Process. J. Aircr. 2016, 53, 1317–1331. [Google Scholar] [CrossRef] [Green Version]
- Goud, K.; Wani, T.P. Stress analysis of the landing gear well beams and damage calculation due to landing cycles. Int. J. Res. Aeronaut. Mech. Eng. 2015, 2, 61–69. [Google Scholar]
- Bautista, A.; Casas-Rodriguez, J.P.; Silva, M.; Porras, A. A dynamic response analysis of adhesive—Bonded single lap joints used in military aircrafts made of glass fiber composite material under cyclic impact loading. Int. J. Adhes. Adhes. 2020, 102, 102644. [Google Scholar] [CrossRef]
- Mall, S.; Ramamurthy, G. Effect of bond thickness on fracture and fatigue strength of adhesively bonded composite joints. Int. J. Adhes. Adhes. 1989, 9, 33–37. [Google Scholar] [CrossRef]
- Ranade, S.R.; Guan, Y.; Ohanehi, D.C.; Dillard, J.G.; Batra, R.C.; Dillard, D. A tapered bondline thickness double cantilever beam (DCB) specimen geometry for combinatorial fracture studies of adhesive bonds. Int. J. Adhes. Adhes. 2014, 55, 155–160. [Google Scholar] [CrossRef]
- Lee, D.-B.; Ikeda, T.; Miyazaki, N.; Choi, N.-S. Fracture behavior around a crack tip in rubber-modified epoxy adhesive joint with various bond thicknesses. J. Mater. Sci. Lett. 2003, 22, 229–233. [Google Scholar] [CrossRef]
- Banea, M.D.; da Silva, L.; Campilho, R. The Effect of Adhesive Thickness on the Mechanical Behavior of a Structural Polyurethane Adhesive. J. Adhes. 2015, 91, 331–346. [Google Scholar] [CrossRef]
- Pascoe, J.; Zavatta, N.; Troiani, E.; Alderliesten, R. The effect of bond-line thickness on fatigue crack growth rate in adhesively bonded joints. Eng. Fract. Mech. 2020, 229, 106959. [Google Scholar] [CrossRef] [Green Version]
- Silberschmidt, V.V.; Casas-Rodriguez, J.P.; Ashcroft, A.I. Impact fatigue in adhesive joints. Proc. Inst. Mech. Eng. Part C J. Mech. Eng. Sci. 2008, 222, 1981–1994. [Google Scholar] [CrossRef] [Green Version]
- Meola, C.; Boccardi, S.; Carlomagno, G.M. Infrared Thermography in the Evaluation of Aerospace Composite Materials: Infrared Thermography to Composites; Woodhead Publishing: New York, NY, USA, 2016. [Google Scholar]
- Wahab, M.M.A. Fatigue in Adhesively Bonded Joints: A Review. ISRN Mater. Sci. 2012, 2012, 1–25. [Google Scholar] [CrossRef]
- Ashcroft, I.A.; Casas-Rodriguez, J.P.; Silberschmidt, V.V. Mixed-mode crack growth in bonded composite joints under standard and impact-fatigue loading. J. Mater. Sci. 2008, 43, 6704–6713. [Google Scholar] [CrossRef]
- Ashcroft, I.A.; Silberschmidt, V.V.; Echard, B.; Rodriguez, J.P.C. Crack Propagation in a Toughened Epoxy Adhesive under Repeated Impacts. Shock. Vib. 2011, 18, 157–170. [Google Scholar] [CrossRef]
- Casas-Rodriguez, J.P.; Ashcroft, I.A.; Silberschmidt, V.V. Propagation of delamination zones in bonded joints. Proc. Est. Acad. Sci. Physics Math. 2007, 56, 2. [Google Scholar]
- Casas-Rodriguez, J.; Ashcroft, I.; Silberschmidt, V.V. Delamination in adhesively bonded CFRP joints: Standard fatigue, impact-fatigue and intermittent impact. Compos. Sci. Technol. 2008, 68, 2401–2409. [Google Scholar] [CrossRef] [Green Version]
- Ashcroft, I.A.; Casas-Rodriguez, J.P.; Silberschmidt, V.V. Fatigue Crack Growth in Adhesively Bonded Joints with Intermittent Impacts. Key Eng. Mater. 2011, 452, 5–8. [Google Scholar] [CrossRef]
- Carvajal, D.R.A.; Correa, R.A.M.; Casas-Rodríguez, J.P. Durability study of adhesive joints used in high-speed crafts manu-factured with composite materials subjected to impact fatigue. Eng. Fract. Mech. 2019, 225, 106393. [Google Scholar] [CrossRef]
- Yamagata, Y.; Lu, X.; Sekiguchi, Y.; Sato, C. Experimental investigation of mode I fracture energy of adhesively bonded joints under impact loading conditions. Appl. Adhes. Sci. 2017, 5, 5. [Google Scholar] [CrossRef] [Green Version]
- Machado, J.; Marques, E.; Da Silva, L.F.M. Adhesives and adhesive joints under impact loadings: An overview. J. Adhes. 2017, 94, 421–452. [Google Scholar] [CrossRef]
- Galliot, C.; Rousseau, J.J.; Verchery, G. Drop weight tensile impact testing of adhesively bonded carbon/epoxy laminate joints. Int. J. Adhes. Adhes. 2012, 35, 68–75. [Google Scholar] [CrossRef]
- Hosur, M.; Adbullah, M.; Jeelani, S. Studies on the low-velocity impact response of woven hybrid composites. Compos. Struct. 2005, 67, 253–262. [Google Scholar] [CrossRef]
- Lifshitz, J.; Leber, H. Response of fiber-reinforced polymers to high strain-rate loading in interlaminar tension and combined tension/shear. Compos. Sci. Technol. 1998, 58, 987–996. [Google Scholar] [CrossRef]
- Sankar, H.R.; Adamvalli, M.; Kulkarni, P.P.; Parameswaran, V. Dynamic strength of single lap joints with similar and dissimilar adherends. Int. J. Adhes. Adhes. 2015, 56, 46–52. [Google Scholar] [CrossRef]
- Reis, P.; Ferreira, J.; Antunes, F. Effect of adherend’s rigidity on the shear strength of single lap adhesive joints. Int. J. Adhes. Adhes. 2011, 31, 193–201. [Google Scholar] [CrossRef]
- Arzoumanidis, A.; Silberstein, M.; Amirkhizi, A. Challenges in Mechanics of Time Dependent Materials, 1st ed.; Springer International Publishing: Cham, Switzerland, 2018; Volume 2. [Google Scholar]
- ASTM International. ASTM D5528-01(07), Standard Test Method for Mode I Interlaminar Fracture Toughness of Unidirectional Fiber-Reinforced Polymer Matrix Composites; ASTM International: West Conshohocken, PA, USA, 2007. [Google Scholar]
- ASTM International. D5573-99(2005), Standard Practice for Classifying Failure Modes in Fiber-Reinforced-Plastic (FRP) Joints; ASTM International: West Conshohocken, PA, USA, 2005. [Google Scholar]
- Fernandes, R.L.; de Freitas, S.T.; Budzik, M.K.; Poulis, J.A.; Benedictus, R. From thin to extra-thick adhesive layer thicknesses: Fracture of bonded joints under mode I loading conditions. Eng. Fract. Mech. 2019, 218, 106607. [Google Scholar] [CrossRef]
- Galvez, P.; Abenojar, J.; Martinez, M.A. Effect of moisture and temperature on the thermal and mechanical properties of a ductile epoxy adhesive for use in steel structures reinforced with CFRP. Compos. Part B Eng. 2019, 176. [Google Scholar] [CrossRef]
- Ashcroft, I.; Shaw, S.; Ashcroft, I.; Shaw, S. Mode I fracture of epoxy bonded composite joints 2. Fatigue loading. Int. J. Adhes. Adhes. 2002, 22, 151–167. [Google Scholar] [CrossRef]
- Hwang, J.-F.; Manson, J.A.; Hertzberg, R.W.; Miller, G.A.; Sperling, L.H. Fatigue crack propagation of rubber-toughened epoxies. Polym. Eng. Sci. 1989, 29, 1477–1487. [Google Scholar] [CrossRef]
- Broberg, K.B. Cracks and fracture. In Cracks and Fracture; Academic Press: San Diego, CA, USA, 1999. [Google Scholar]
- Casas-Rodriguez, J.P.; Ashcroft, I.A.; Silberschmidt, V.V. Damage in adhesively bonded CFRP joints: Sinusoidal and impact-fatigue. Compos. Sci. Technol. 2008, 68, 2663–2670. [Google Scholar] [CrossRef] [Green Version]
- Mangalgiri, P.D.; Johnson, W.S.; Everett, R.A. Effect of Adherend Thickness and Mixed Mode Loading on Debond Growth in Adhesively Bonded Composite Joints. J. Adhes. 1987, 23, 263–288. [Google Scholar] [CrossRef]
- Turon, A.; Costa, J.; Camanho, P.; Dávila, C. Simulation of delamination in composites under high-cycle fatigue. Compos. Part A Appl. Sci. Manuf. 2007, 38, 2270–2282. [Google Scholar] [CrossRef]
- Obaid, N.; Kortschot, M.T.; Sain, M. Predicting the stress relaxation behavior of glass-fiber reinforced polypropylene compo-sites. Compos. Sci. Technol. 2018, 161, 85–91. [Google Scholar] [CrossRef]




















Publisher’s Note: MDPI stays neutral with regard to jurisdictional claims in published maps and institutional affiliations. |
© 2021 by the authors. Licensee MDPI, Basel, Switzerland. This article is an open access article distributed under the terms and conditions of the Creative Commons Attribution (CC BY) license (https://creativecommons.org/licenses/by/4.0/).
Share and Cite
Bautista Villamil, A.A.; Casas-Rodriguez, J.P.; Porras Holguin, A.; Silva Barrera, M. Mode I Crack Propagation Experimental Analysis of Adhesive Bonded Joints Comprising Glass Fibre Composite Material under Impact and Constant Amplitude Fatigue Loading. Materials 2021, 14, 4380. https://doi.org/10.3390/ma14164380
Bautista Villamil AA, Casas-Rodriguez JP, Porras Holguin A, Silva Barrera M. Mode I Crack Propagation Experimental Analysis of Adhesive Bonded Joints Comprising Glass Fibre Composite Material under Impact and Constant Amplitude Fatigue Loading. Materials. 2021; 14(16):4380. https://doi.org/10.3390/ma14164380
Chicago/Turabian StyleBautista Villamil, Alirio Andres, Juan Pablo Casas-Rodriguez, Alicia Porras Holguin, and Maribel Silva Barrera. 2021. "Mode I Crack Propagation Experimental Analysis of Adhesive Bonded Joints Comprising Glass Fibre Composite Material under Impact and Constant Amplitude Fatigue Loading" Materials 14, no. 16: 4380. https://doi.org/10.3390/ma14164380
APA StyleBautista Villamil, A. A., Casas-Rodriguez, J. P., Porras Holguin, A., & Silva Barrera, M. (2021). Mode I Crack Propagation Experimental Analysis of Adhesive Bonded Joints Comprising Glass Fibre Composite Material under Impact and Constant Amplitude Fatigue Loading. Materials, 14(16), 4380. https://doi.org/10.3390/ma14164380

