Kansa Method for Unsteady Heat Flow in Nonhomogenous Material with a New Proposal of Finding the Good Value of RBF’s Shape Parameter
Abstract
1. Introduction
2. Materials and Methods
2.1. Pseudospectral Formulation of Kansa Method for Initial-Value Problem of Heat Conduction
- Dirichlet boundary conditionwhere h is boundary temperature function and is the coordinate of the boundary point;
- Neumann boundary conditionwhere is derivative of temperature in the normal direction to the boundary of the considered domain;
- Robin boundary conditionwhere is heat transfer coefficient and is a constant ambient temperature.
- for the Dirichlet boundary condition;
- for the Neumann boundary condition;
- for the Robin boundary condition.
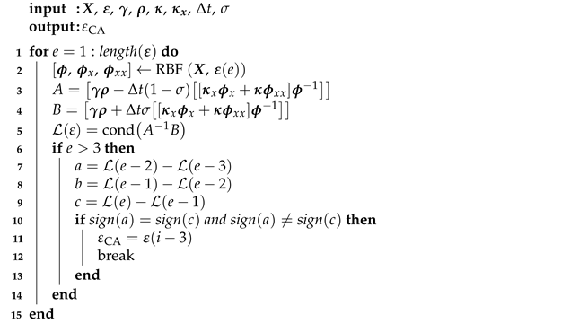
2.2. The Algorithms for Finding the Good Value of Shape Parameter
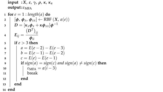
| Algorithm 1. Pseudocode describing the proposed condition algorithm. is the vector of collocation points coordinates, is a vector of the shape parameter values. The range of was selected empirically by trial and error. |
![]() |
| Algorithm 2. Pseudocode describing the proposed modified Fasshauer algorithm. is the vector of collocation points coordinates, is a vector of the shape parameter values. The range of was selected empirically by trial and error. |
![]() |
2.3. Reference Solutions
- The analytical method for the steady-state;
- The finite difference method for the transient analysis.
2.4. Error Measures
- Mean percentage error calculated between the last time step solution of the Kansa method and the analytical steady-state solutionwhere is the steady-state analytical temperature field and is the Kansa method solution temperature field. This measure was used to investigate whether the Kansa method solution converges to the steady-state analytical solution.
- Mean percentage error calculated between the Kansa method solution and the finite-difference method solutionwhere is the finite difference method solution temperature field at k-th time step while is the Kansa method solution temperature field at k-th time step. This measure was used to investigate whether the convergence of the Kansa method solution to the steady-state is correct. The first time step was not taken into account because the system’s state is then the initial condition.
- Mean percentage error calculated between the finite-difference method solution and the steady-state analytical solutionwhere is the analytical steady-state solution temperature field and is the finite-difference method solution temperature field. This measure was used to validate the previous measure by checking if the finite-difference method solution converged to the analytical steady-state solution.
3. Numerical Results and Discussion
3.1. General Insights about Numerical Setup and Thermal Parameters Distributions
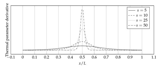
3.2. Discontinuous Distributions of Thermal Parameters, the Influence of Sharpness Parameter
- ;
- ;
- Thermal parameters distribution—discontinuous;
- Number of collocation points—80, 100, and 120;
- Boundary conditions type—Dirichlet & Dirichlet;
- Time step size—;
- Number of time steps—10.
3.3. Influence of Coefficient
- ;
- thermal parameters distribution—harmonic;
- the number of collocation points ;
- applied boundary conditions: Dirichlet on both boundaries;
- the size of the time step, ;
- the number of time steps—20.
- The measure is more important because it describes the quality of the solution in the transient state and not only at the last time step;
- The difference between and is small while the difference between and is significant;
- The value of depends on the numerical setup while does not.
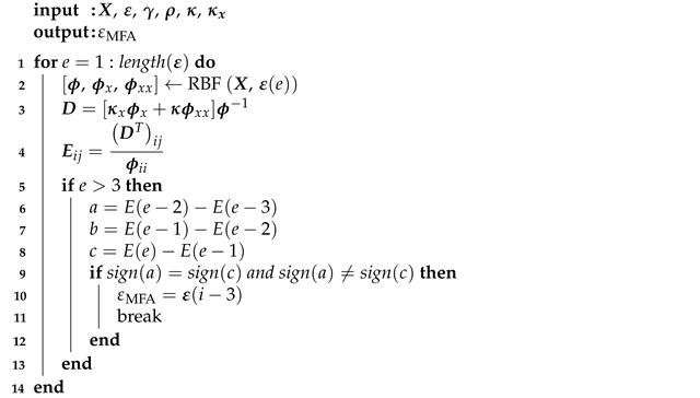
3.4. The Algorithms for Finding the Good Value of the Shape Parameter
4. Conclusions
- The condition algorithm proposed in this work is a very reliable and precise algorithm for choosing a good shape parameter value for the considered class of problems. Particularly noteworthy is its ability to give shape parameter values that do not cause the interpolation matrix to be ill-conditioned. It is worth mentioning that the algorithm is more computationally expensive than classic algorithms such as the Fasshauer algorithm.
- The modified Fasshauer algorithm is an interesting alternative to the classic Fasshauer algorithm. It gives slightly greater reliability than Fasshauer’s algorithm; however, not as good as the condition algorithm. The accuracy of simulation results using it is slightly worse than using Fasshauer’s algorithm and the condition algorithm.
- The suggested value of for the considered class of problems due to the error measures and is 0;
- The selection of the optimal value of the sharpness parameter s is problematic. Based on the performed study, it is not possible to formulate a general selection rule, but some recommendations may be mentioned. The s value should be chosen so that the does not reach a tremendous value. It is worth noting that the higher the number of collocation points, the higher the optimal value of s.
Author Contributions
Funding
Institutional Review Board Statement
Informed Consent Statement
Data Availability Statement
Conflicts of Interest
References
- Vemuri, K.; Canbazoglu, F.; Bandaru, P. Guiding conductive heat flux through thermal metamaterials. Appl. Phys. Lett. 2014, 105, 193904. [Google Scholar] [CrossRef]
- Tschikin, M.; Biehs, S.A.; Ben-Abdallah, P.; Lang, S.; Petrov, A.Y.; Eich, M. Radiative heat flux predictions in hyperbolic metamaterials. J. Quant. Spectrosc. Radiat. Transf. 2015, 158, 17–26. [Google Scholar] [CrossRef]
- Huang, G.; Liu, J.; Fu, T.; Zhao, Y.; Lu, S.; Liu, B. High-temperature thermal manipulator using thermal metamaterials based on transformation thermodynamics. AIP Adv. 2018, 8, 085120. [Google Scholar] [CrossRef]
- Kang, S.; Cha, J.; Seo, K.; Kim, S.; Cha, Y.; Lee, H.; Park, J.; Choi, W. Temperature-responsive thermal metamaterials enabled by modular design of thermally tunable unit cells. Int. J. Heat Mass Transf. 2019, 130, 469–482. [Google Scholar] [CrossRef]
- Narayana, S.; Sato, Y. Heat flux manipulation with engineered thermal materials. Phys. Rev. Lett. 2012, 108, 214303. [Google Scholar] [CrossRef] [PubMed]
- Hoffmann, K.A.; Chiang, S.T. Computational Fluid Dynamics Volume I; Engineering Education System: Wichita, KS, USA, 2000. [Google Scholar]
- Logan, D.L. A First Course in the Finite Element Method; Cengage Learning: Boston, MA, USA, 2011. [Google Scholar]
- Cengel, Y. Fluid Mechanics: Fundamentals and Applications; Tata McGraw Hill Education Private Limited: New York, NY, USA, 2010. [Google Scholar]
- Sadovnikov, A.; Bublikov, K.; Beginin, E.; Nikitov, S. The electrodynamic characteristics of a finite-width metal/dielectric/ ferroelectric/dielectric/metal layer structure. J. Commun. Technol. Electron. 2014, 59, 914–919. [Google Scholar] [CrossRef]
- Sadovnikov, A.V.; Odintsov, S.; Beginin, E.; Grachev, A.; Gubanov, V.A.; Sheshukova, S.; Sharaevskii, Y.P.; Nikitov, S.A. Nonlinear Spin Wave Effects in the System of Lateral Magnonic Structures. JETP Lett. 2018, 107, 29–34. [Google Scholar] [CrossRef]
- Fasshauer, G.E. Meshfree Approximation Methods with MATLAB; World Scientific: Singapore, 2007; Volume 6. [Google Scholar]
- Kansa, E.J. Multiquadrics—A scattered data approximation scheme with applications to computational fluid-dynamics—I surface approximations and partial derivative estimates. Comput. Math. Appl. 1990, 19, 127–145. [Google Scholar] [CrossRef]
- Kansa, E.J. Multiquadrics—A scattered data approximation scheme with applications to computational fluid-dynamics—II solutions to parabolic, hyperbolic and elliptic partial differential equations. Comput. Math. Appl. 1990, 19, 147–161. [Google Scholar] [CrossRef]
- Chen, W.; Hong, Y.; Lin, J. The sample solution approach for determination of the optimal shape parameter in the Multiquadric function of the Kansa method. Comput. Math. Appl. 2018, 75, 2942–2954. [Google Scholar] [CrossRef]
- Dubal, M.; Oliveira, S.; Matzner, R. Solution of elliptic equations in numerical relativity using multiquadrics. In Approaches to Numerical Relativity; Cambridge University Press: Cambridge, UK, 2005. [Google Scholar]
- Moridis, G.; Kansa, E. The Laplace transform multiquadrics method: A highly accurate scheme for the numerical solution of linear partial differential equations. J. Appl. Sci. Comput. 1994, 1, 375–407. [Google Scholar]
- Sharan, M.; Kansa, E.; Gupta, S. Application of the multiquadric method for numerical solution of elliptic partial differential equations. Appl. Math. Comput. 1997, 84, 275–302. [Google Scholar] [CrossRef][Green Version]
- Zerroukat, M.; Djidjeli, K.; Charafi, A. Explicit and implicit meshless methods for linear advection–diffusion-type partial differential equations. Int. J. Numer. Methods Eng. 2000, 48, 19–35. [Google Scholar] [CrossRef]
- Franke, C.; Schaback, R. Solving partial differential equations by collocation using radial basis functions. Appl. Math. Comput. 1998, 93, 73–82. [Google Scholar] [CrossRef]
- Zerroukat, M.; Power, H.; Chen, C. A numerical method for heat transfer problems using collocation and radial basis functions. Int. J. Numer. Methods Eng. 1998, 42, 1263–1278. [Google Scholar] [CrossRef]
- Dong, C.; Lo, S.; Cheung, Y. Numerical solution for elastic inclusion problems by domain integral equation with integration by means of radial basis functions. Eng. Anal. Bound. Elem. 2004, 28, 623–632. [Google Scholar] [CrossRef]
- Chantasiriwan, S. Error and variance of solution to the stochastic heat conduction problem by multiquadric collocation method. Int. Commun. Heat Mass Transf. 2006, 33, 342–349. [Google Scholar] [CrossRef]
- Zheng, Z.; Li, W. Numerical stabilities and boundary conditions in time-domain Eulerian simulations of acoustic wave propagations with and without background flow. Appl. Math. Comput. 2008, 202, 146–161. [Google Scholar] [CrossRef]
- Chen, W.; Ye, L.; Sun, H. Fractional diffusion equations by the Kansa method. Comput. Math. Appl. 2010, 59, 1614–1620. [Google Scholar] [CrossRef]
- Simonenko, S.; Bayona, V.; Kindelan, M. Optimal shape parameter for the solution of elastostatic problems with the RBF method. J. Eng. Math. 2014, 85, 115–129. [Google Scholar] [CrossRef]
- Pang, G.; Chen, W.; Fu, Z. Space-fractional advection–dispersion equations by the Kansa method. J. Comput. Phys. 2015, 293, 280–296. [Google Scholar] [CrossRef]
- Dehghan, M.; Shirzadi, M. Numerical solution of stochastic elliptic partial differential equations using the meshless method of radial basis functions. Eng. Anal. Bound. Elem. 2015, 50, 291–303. [Google Scholar] [CrossRef]
- Reutskiy, S. A meshless radial basis function method for 2D steady-state heat conduction problems in anisotropic and inhomogeneous media. Eng. Anal. Bound. Elem. 2016, 66, 1–11. [Google Scholar] [CrossRef]
- Fallah, A.; Jabbari, E.; Babaee, R. Development of the Kansa method for solving seepage problems using a new algorithm for the shape parameter optimization. Comput. Math. Appl. 2019, 77, 815–829. [Google Scholar] [CrossRef]
- Haq, S.; Hussain, M. The meshless Kansa method for time-fractional higher order partial differential equations with constant and variable coefficients. Rev. Real Acad. Cienc. Exactas Físicas Y Nat. Ser. A. Matemáticas 2019, 113, 1935–1954. [Google Scholar] [CrossRef]
- Jankowska, M.A.; Karageorghis, A. Variable shape parameter Kansa RBF method for the solution of nonlinear boundary value problems. Eng. Anal. Bound. Elem. 2019, 103, 32–40. [Google Scholar] [CrossRef]
- Liu, C.S.; Chang, C.W. An energy regularization of the MQ-RBF method for solving the Cauchy problems of diffusion-convection-reaction equations. Commun. Nonlinear Sci. Numer. Simul. 2019, 67, 375–390. [Google Scholar] [CrossRef]
- Wertz, J.; Kansa, E.J.; Ling, L. The role of the multiquadric shape parameters in solving elliptic partial differential equations. Comput. Math. Appl. 2006, 51, 1335–1348. [Google Scholar] [CrossRef]
- Hardy, R.L. Multiquadric equations of topography and other irregular surfaces. J. Geophys. Res. 1971, 76, 1905–1915. [Google Scholar] [CrossRef]
- Franke, R. Scattered data interpolation: Tests of some methods. Math. Comput. 1982, 38, 181–200. [Google Scholar]
- Carlson, R.E.; Foley, T.A. The parameter R2 in multiquadric interpolation. Comput. Math. Appl. 1991, 21, 29–42. [Google Scholar] [CrossRef]
- Rippa, S. An algorithm for selecting a good value for the parameter c in radial basis function interpolation. Adv. Comput. Math. 1999, 11, 193–210. [Google Scholar] [CrossRef]
- Fasshauer, G.E.; Zhang, J.G. On choosing “optimal” shape parameters for RBF approximation. Numer. Algorithms 2007, 45, 345–368. [Google Scholar] [CrossRef]
- Huang, C.S.; Lee, C.F.; Cheng, A.D. Error estimate, optimal shape factor, and high precision computation of multiquadric collocation method. Eng. Anal. Bound. Elem. 2007, 31, 614–623. [Google Scholar] [CrossRef]
- Bayona, V.; Moscoso, M.; Kindelan, M. Optimal constant shape parameter for multiquadric based RBF-FD method. J. Comput. Phys. 2011, 230, 7384–7399. [Google Scholar] [CrossRef]
- Bayona, V.; Moscoso, M.; Kindelan, M. Optimal variable shape parameter for multiquadric based RBF-FD method. J. Comput. Phys. 2012, 231, 2466–2481. [Google Scholar] [CrossRef]
- Tsai, C.; Kolibal, J.; Li, M. The golden section search algorithm for finding a good shape parameter for meshless collocation methods. Eng. Anal. Bound. Elem. 2010, 34, 738–746. [Google Scholar] [CrossRef]
- Esmaeilbeigi, M.; Hosseini, M. A new approach based on the genetic algorithm for finding a good shape parameter in solving partial differential equations by Kansa’s method. Appl. Math. Comput. 2014, 249, 419–428. [Google Scholar] [CrossRef]
- Iurlaro, L.; Gherlone, M.; Di Sciuva, M. Energy based approach for shape parameter selection in radial basis functions collocation method. Compos. Struct. 2014, 107, 70–78. [Google Scholar] [CrossRef]
- Cengel, Y. Heat and Mass Transfer: Fundamentals and Applications; McGraw-Hill Higher Education: New York, NY, USA, 2014. [Google Scholar]
- Butcher, J.C.; Goodwin, N. Numerical Methods for Ordinary Differential Equations; Wiley Online Library: Hoboken, NJ, USA, 2008; Volume 2. [Google Scholar]
- Crank, J.; Nicolson, P. A practical method for numerical evaluation of solutions of partial differential equations of the heat-conduction type. In Mathematical Proceedings of the Cambridge Philosophical Society; Cambridge University Press: Cambridge, UK, 1947; Volume 43, pp. 50–67. [Google Scholar]
- Belsley, D.A.; Kuh, E.; Welsch, R.E. The condition number. Regres. Diagn. Identifying Influ. Data Sources Collinearity 1980, 100, 104. [Google Scholar]
- Larsson, E.; Fornberg, B. A numerical study of some radial basis function based solution methods for elliptic PDEs. Comput. Math. Appl. 2003, 46, 891–902. [Google Scholar] [CrossRef]
- Larsson, E.; Fornberg, B. Theoretical and computational aspects of multivariate interpolation with increasingly flat radial basis functions. Comput. Math. Appl. 2005, 49, 103–130. [Google Scholar] [CrossRef]
- Verhulst, P.F. Notice sur la loi que la population suit dans son accroissement. Corresp. Math. Phys. 1838, 10, 113–126. [Google Scholar]



















| Test Case | 1 | 2 | 3 | 4 |
|---|---|---|---|---|
| p | 0.5 | 0.4 | 0.3 | −0.5 |
| Parameters distribution | Discontinuous | Harmonic | Exponential | Linear |
| Collocation points number | 240 | 200 | 160 | 120 |
| BC at left edge | Robin | Neumann | Dirichlet | Neumann |
| BC at right edge | Robin | Robin | Robin | Dirichlet |
| Time step size | 0.1 s | 0.5 s | 1 s | 2 s |
Publisher’s Note: MDPI stays neutral with regard to jurisdictional claims in published maps and institutional affiliations. |
© 2021 by the authors. Licensee MDPI, Basel, Switzerland. This article is an open access article distributed under the terms and conditions of the Creative Commons Attribution (CC BY) license (https://creativecommons.org/licenses/by/4.0/).
Share and Cite
Popczyk, O.; Dziatkiewicz, G. Kansa Method for Unsteady Heat Flow in Nonhomogenous Material with a New Proposal of Finding the Good Value of RBF’s Shape Parameter. Materials 2021, 14, 4178. https://doi.org/10.3390/ma14154178
Popczyk O, Dziatkiewicz G. Kansa Method for Unsteady Heat Flow in Nonhomogenous Material with a New Proposal of Finding the Good Value of RBF’s Shape Parameter. Materials. 2021; 14(15):4178. https://doi.org/10.3390/ma14154178
Chicago/Turabian StylePopczyk, Olaf, and Grzegorz Dziatkiewicz. 2021. "Kansa Method for Unsteady Heat Flow in Nonhomogenous Material with a New Proposal of Finding the Good Value of RBF’s Shape Parameter" Materials 14, no. 15: 4178. https://doi.org/10.3390/ma14154178
APA StylePopczyk, O., & Dziatkiewicz, G. (2021). Kansa Method for Unsteady Heat Flow in Nonhomogenous Material with a New Proposal of Finding the Good Value of RBF’s Shape Parameter. Materials, 14(15), 4178. https://doi.org/10.3390/ma14154178



