Effect of Secondary Cold Reduction Rates on Microstructure, Texture and Earing Behavior of Double Reduction Tinplate
Abstract
1. Introduction
2. Materials and Methods
3. Results
3.1. Microstructural Characterization
3.2. Analysis of the Dissolved Carbon Atoms
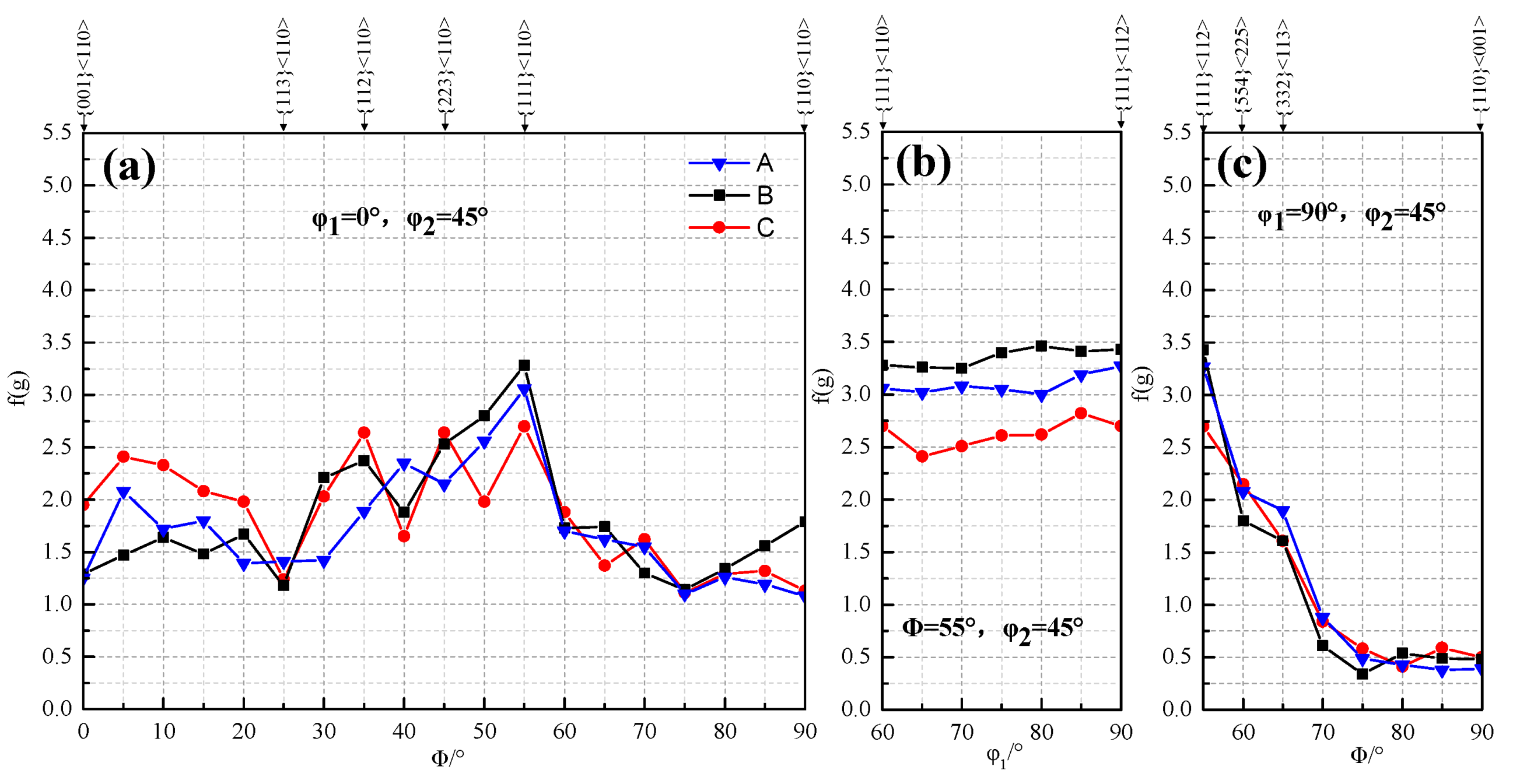
3.3. Texture Analysis by XRD
3.4. Texture Analysis by EBSD
3.5. Earing Behaviors
4. Discussion
- The dissolved carbon and nitrogen atoms would bind dislocation and hinder the rotation and sliding of grains, thus preventing the development of {111} texture [23]. When the steel with a high content of dissolved carbon atoms was cold rolled, the strongest point of texture on RD orientation line tended to appear at {112} <110>~{223} <110>, rather than at the favorable {111} <110> texture;
- The dissolved carbon and nitrogen atoms would result in dynamic strain aging, which not only retained the {001} <110> texture components, but also increased the nucleation rate of the grains with unfavorable orientation [24]. Combined with Figure 2, steel C has the highest dissolved carbon content, the lowest {111} texture strength, and the highest {001} <110> texture strength, which is also in good agreement with the experimental results of reference [5,25]. This was because the content of Mn in steel C was also high; carbon, nitrogen and manganese were easy to form C-Mn or N-Mn-dissolved displacement atomic pairs, which greatly reduced the annealing {111} texture density of the steel sheet. According to Figure 2 and Table 3, with the increase in dissolution carbon content, the earing propensity gradually decreased.
- The minimum RD texture density, the smaller {111} <110> texture density and the minimum {223} <110> texture density;
- The minimum ND texture density, the equal density of {111} <110> texture and {111} <112> texture;
- The {554} <225> texture with certain density. The most ideal texture distribution which was most useful for reducing earing coefficient was not necessarily to obtain a higher {111} texture intensity, but to obtain a higher {111} texture density on the premise of minimizing RD texture.
5. Conclusions
- Microstructure observations of the samples showed that, with the increase in the secondary cold reduction rate and the change of the size and spacing of cementite particles, due to dislocations piled up at the interface of ferrite and cementite resulting in stress concentration, holes appeared preferentially at some weak phase interfaces, and then developed into cracks, so that the formability of the material decreased.
- The existence of dissolved carbon atoms hinders the rotation of grains during the cold rolling process, and the increase in dissolved carbon content weakens the strength of the {111} texture component and enhance the strength of {001} <110> texture component, which will eventually lead to the decrease in earing propensity.
- With the increase in the secondary cold reduction rate, the volume fraction of these {111} and near-{111} textures show a trend of rising first and then decreasing significantly. The higher the secondary cold reduction rate, the more local misorientation increases, the peak value decreases and the mean value increases.
- With the increase in the secondary cold reduction rate, the average height of ear peak, earing, maximum ear height, and earing coefficient increased significantly; meanwhile, the earing direction changed from 0°/60° to 45°, and the earing propensity decreased significantly. Comprehensive consideration showed that 15% of secondary cold reduction rate could obtain a better drawing performance.
Author Contributions
Funding
Institutional Review Board Statement
Informed Consent Statement
Data Availability Statement
Conflicts of Interest
References
- Dey, S.; Agrawal, M.K. Tinplate as a sustainable packaging material: Recent innovation and developments to remain environment friendly and cost effective. Int. J. Res. IT Manag. Eng. 2016, 8, 9–22. [Google Scholar]
- Čižmár, I.M. Analysis of mechanical properties and their comparison against required parameters when producing DR tinplate sheet. Transf. Inovácií 2015, 32, 238–241. [Google Scholar]
- Ray, R.K.; Jonas, J.J.; Hook, R.E. Cold rolling and annealing textures in low carbon and extra low carbon steels. Int. Mater. Rev. 1994, 39, 129–172. [Google Scholar] [CrossRef]
- Hutchinson, W.B. Development and control of annealing textures in low-carbon steels. Int. Mater. Rev. 1984, 29, 25–42. [Google Scholar] [CrossRef]
- Zheng, X.F.; Liao, L.H.; Kang, Y.L.; Liu, W.; Qiu, Q.Q. The effect of chemical composition and processing technology on the microstructure, texture and earing behavior of DR tinplate. JMEPEG 2018, 28, 485–497. [Google Scholar] [CrossRef]
- Fang, Y.; Mo, Z.Y.; Sun, C.F.; Wu, Z.G.; Liu, W.; Song, H. Effect of secondary cold reduction rate on microstructure and properties of tinplate. Iron Steel 2019, 54, 54–58. [Google Scholar]
- Spišák, E.; Slota, J.; Kvaškaj, T.; Bobenič, A. The influence of tandem mill reduction on double reduced (DR) tinplates anisotropy. Metalurgija-Sisak 2006, 45, 45–49. [Google Scholar]
- Sun, C.F.; Fang, Y.; Wang, Y.Q.; Liu, W.; Pan, H.W. Effect of coiling temperature on precipitation of secondary phase in ultra-low carbon T-3 CA steel. Iron Steel 2019, 54, 89–93. [Google Scholar]
- Hu, H.; Si, X.; Ma, L. Effects of technological parameters on grain size of hot rolling hard tinplate. Hot Work. Technol. 2014, 43, 55–57, 62. [Google Scholar]
- Sun, Z.H.; Zhang, P.; Chen, W.; Gong, Z.Q. Influence of the cold rolling reduction rate on microstructures and mechanical properties of the continuous annealing MR steel. Steel Roll. 2015, 32, 34–37. [Google Scholar]
- Meng, D.; Wang, C.; Zhong, H.; Yu, G.; Chen, Q. Effect of cold rolling reduction on recrystallization annealing microstructure and properties of ultralow carbon deep drawing Steel. Hot Work. Technol. 2016, 45, 127–129. [Google Scholar]
- Zheng, J.; Hu, Z.; Long, D. Effect of Reduction Ratio in Secondary Cold-rolling on Mechanical Properties and Texture of DCR Strip Steel. Mater. Rep. 2016, 30, 95–99. [Google Scholar]
- Černík, M.; Gburík, R.; Hrabčáková, L.; Vranec, P. Texture analysis of tinplate steel and its application in production of double reduced high strength tinplate grades with controlled earing properties. IOP Conf. Ser. Mater. Sci. Eng. 2015, 28, 1–4. [Google Scholar] [CrossRef]
- Alworth, H.M.; Michalak, J.T.; Shei, S.A. The effects of second cold reduction on the plastic anisotropy, crystallographic texture and earing behavior of DR-9 Tin-Mill product. J. Appl. Metalwork. 1987, 4, 327–330. [Google Scholar] [CrossRef]
- Hu, X.; Xia, J.; Zhou, L.; Wang, L.; Fang, F. Effect of cementite morphology on pearlitic wire drawing deformation. J. Iron Steel Res. 2018, 30, 120–126. [Google Scholar]
- Ji, P.; Zhou, L.; Zhou, X.; Fang, F.; Jiang, J. Study on anisotropic mechanical properties of cold drawn pearlitic steel wire. ACTA Metall. Sin. 2018, 54, 494–500. [Google Scholar]
- Abe, H.; Suzuki, T.; Takagi, K. Effects of the size and morphology of cementite particles on the annealing texture in low-carbon aluminum-killed steel. Trans. Iron Steel Inst. Jpn. 1981, 21, 100–108. [Google Scholar] [CrossRef][Green Version]
- NIST X-ray Photoelectron Spectroscopy Database. Available online: http://srdata.nist.gov/xps (accessed on 10 May 2021).
- Zheng, X.; Yan, Y.; Kang, Y. Comparative study of earing behavior in cold rolled-batch annealed and cold rolled-continuous annealed of double reduced (DR) tinplate steels. J. Harbin Inst. Technol. 2019, 26, 48–54. [Google Scholar]
- Liao, L.; Zheng, X.; Kang, Y.; Liu, W.; Yan, Y.; Mo, Z. Crystallographic texture and earing behavior analysis for different second cold reductions of double-reduction tinplate. Int. J. Miner. Metall. Mater. 2018, 25, 652–662. [Google Scholar] [CrossRef]
- Li, S.; Zhang, X. A new method for predicting earing tendency of texture sheets. Acta Met. Sin. 1996, 32, 884–890. [Google Scholar]
- Inagaki, H. Basic earing behaviour of fcc and bcc metals in cup drawing. Z. Fuer Met. Mater. Res. Adv. Tech. 1991, 82, 361–372. [Google Scholar]
- Xiang, Z.; Seki, F.; Ito, K.; Yoshinada, N. Influence of dissolved carbonic content for (111) fiber texture in high purity and ultra-low carbonic 08Al deep drawing steel sheet. Iron Steel 1995, 1, 53–59. [Google Scholar]
- Toge, T.; Muraki, M.; Komatsubara, M.; Obara, T. Origin of recrystallization texture evolution and active slip systems in cold rolled 3% Si–Fe (100)[011] single crystal. ISIJ Int. 1998, 38, 524–530. [Google Scholar] [CrossRef]
- Yan, Y.; Kang, Y.; Mo, Z.; Zheng, X.; Shen, Y. Correlation between texture, earing behaviour and dissolved carbon and nitrogen. Mater. Sci. Technol. 2017, 33, 311–316. [Google Scholar] [CrossRef]











| Steel | C | Si | Mn | P | S | Al | N | Fe |
|---|---|---|---|---|---|---|---|---|
| DR8 | 0.04–0.08 | ≤0.03 | 0.2–0.4 | ≤0.020 | ≤0.010 | 0.03–0.06 | ≤0.008 | balance |
| A | 0.045 | 0.017 | 0.26 | 0.013 | 0.006 | 0.044 | 0.0046 | balance |
| B | 0.042 | 0.010 | 0.22 | 0.011 | 0.007 | 0.050 | 0.0055 | balance |
| C | 0.063 | 0.011 | 0.31 | 0.015 | 0.001 | 0.040 | 0.0053 | balance |
| Steel | FDT (°C) | CT (°C) | t0 (mm) | ε1 (%) | CAT (°C) | t1 (mm) | ε2 (%) | t2 (mm) |
|---|---|---|---|---|---|---|---|---|
| A | 880 | 680 | 2 | 90 | 680 | 0.2 | 15 | 0.17 |
| B | 880 | 680 | 2 | 90 | 680 | 0.2 | 20 | 0.16 |
| C | 880 | 680 | 2 | 90 | 680 | 0.2 | 25 | 0.15 |
| Steel | t (mm) | v (mm) | e (mm) | hmax (mm) | Ze (%) | Earing Direction (°) |
|---|---|---|---|---|---|---|
| A | 18.54 | 17.96 | 0.58 | 0.75 | 3.2 | 0/60 |
| B | 19.30 | 18.26 | 1.03 | 1.48 | 5.6 | 0/60 |
| C | 19.37 | 17.80 | 1.57 | 1.97 | 8.8 | 45 |
| Texture Component | rm | Δr | Earing Direction (°) |
|---|---|---|---|
| {001}<110> | 0.4 | −0.8 | 45 |
| {114}<110> | 1.2 | −2.1 | 45 |
| {113}<110> | 1.0 | −1.7 | 45 |
| {112}<110> | 2.1 | −2.7 | 45 |
| {223}<110> | 2.5 | −2.0 | 45 |
| {111}<110> | 2.6 | 0.0 | 30/90 |
| {111}<112> | 2.6 | 0.0 | 0/60 |
| {554}<225> | 2.6 | 1.1 | 0/60 |
| {332}<113> | 2.7 | 1.9 | 0/60 |
Publisher’s Note: MDPI stays neutral with regard to jurisdictional claims in published maps and institutional affiliations. |
© 2021 by the authors. Licensee MDPI, Basel, Switzerland. This article is an open access article distributed under the terms and conditions of the Creative Commons Attribution (CC BY) license (https://creativecommons.org/licenses/by/4.0/).
Share and Cite
Tian, P.; Liao, L.; Zhu, G.; Kang, Y. Effect of Secondary Cold Reduction Rates on Microstructure, Texture and Earing Behavior of Double Reduction Tinplate. Materials 2021, 14, 4040. https://doi.org/10.3390/ma14144040
Tian P, Liao L, Zhu G, Kang Y. Effect of Secondary Cold Reduction Rates on Microstructure, Texture and Earing Behavior of Double Reduction Tinplate. Materials. 2021; 14(14):4040. https://doi.org/10.3390/ma14144040
Chicago/Turabian StyleTian, Peng, Luhai Liao, Guoming Zhu, and Yonglin Kang. 2021. "Effect of Secondary Cold Reduction Rates on Microstructure, Texture and Earing Behavior of Double Reduction Tinplate" Materials 14, no. 14: 4040. https://doi.org/10.3390/ma14144040
APA StyleTian, P., Liao, L., Zhu, G., & Kang, Y. (2021). Effect of Secondary Cold Reduction Rates on Microstructure, Texture and Earing Behavior of Double Reduction Tinplate. Materials, 14(14), 4040. https://doi.org/10.3390/ma14144040
