Multi-Technique Investigation of Grave Robes from 17th and 18th Century Crypts Using Combined Spectroscopic, Spectrometric Techniques, and New-Generation Sequencing
Abstract
:1. Introduction
2. Materials and Methods
2.1. Chemicals
2.2. Equipment
2.3. Next-Generation Sequencing
2.3.1. DNA Extraction
2.3.2. NGS Amplicon Library Preparation, and Bioinformatic Analysis
2.4. Extraction of Dyes
2.5. LC-MS Analysis
3. Results and Discussion
3.1. Surface Morphology and Elemental Composition
3.1.1. SEM
3.1.2. EDS
3.1.3. FT-IR
3.2. Next-Generation Sequencing
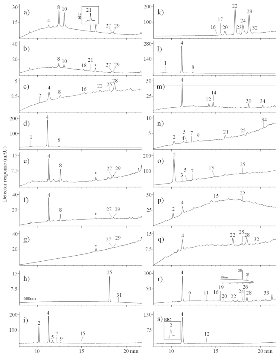
3.3. Identification of the Colourants (HPLC-ESI(-)-MS)
4. Conclusions
Supplementary Materials
Author Contributions
Funding
Institutional Review Board Statement
Informed Consent Statement
Data Availability Statement
Acknowledgments
Conflicts of Interest
References
- Mantzouris, D.; Karapanagiotis, I.; Panayiotou, C. Comparison of extraction methods for the analysis of Indigofera tinctoria and Carthamus tinctorius in textiles by high performance. Microchem. J. 2014, 115, 78–86. [Google Scholar] [CrossRef]
- Sanyova, J.; Reisse, J. Development of a mild method for the extraction of anthraquinones from their aluminum complexes in madder lakes prior to HPLC analysis. J. Cult. Herit. 2006, 7, 229–235. [Google Scholar] [CrossRef]
- Valianou, L.; Karapanagiotis, I.; Chryssoulakis, Y. Comparison of extraction methods for the analysis of natural dyes in historical textiles by high-performance liquid chromatography. Anal. Bioanal. Chem. 2009, 395, 2175–2189. [Google Scholar] [CrossRef]
- Tamburini, D.; Breitung, E.; Mori, C.; Kotajima, T.; Clarke, M.L.; McCarthy, B. Exploring the transition from natural to synthetic dyes in the production of 19th-century Central Asian ikat textiles. Herit. Sci. 2020, 8, 114. [Google Scholar] [CrossRef]
- Degano, I.; Ribechini, E.; Modugno, F.; Colombini, M.P. Analytical methods for the characterization of organic dyes in artworks and in historical textiles. Appl. Spectrosc. Rev. 2009, 44, 363–410. [Google Scholar] [CrossRef]
- Lech, K.; Fornal, E. A Mass Spectrometry-Based Approach for Characterization of Red, Blue, and Purple Natural Dyes. Molecules 2020, 25, 3223. [Google Scholar] [CrossRef]
- Tamburini, D. Investigating Asian colourants in Chinese textiles from Dunhuang (7th-10th century AD) by high performance liquid chromatography tandem mass spectrometry—Towards the creation of a mass spectra database. Dyes Pigm. 2019, 163, 454–474. [Google Scholar] [CrossRef]
- Tamburini, D.; Dyer, J.; Davit, P.; Aceto, M.; Turina, V.; Borla, M.; Vandenbeusch, M.; Gulmini, M. Compositional and Micro-Morphological Characterisation of Red Colourants in Archaeological Textiles from Pharaonic Egypt. Molecules 2019, 24, 3761. [Google Scholar] [CrossRef] [PubMed] [Green Version]
- Petroviciu, I.; Teodorescu, I.; Albu, F.; Virgolici, M.; Nagoda, E.; Medvedovici, A. Dyes and biological sources in nineteenth to twentieth century ethnographic textiles from Transylvania, Romania. Herit. Sci. 2019, 7, 15. [Google Scholar] [CrossRef]
- Otłowska, O.; Ślebioda, M.; Wachowiak, M.; Śliwka-Kaszyńska, M. Identification and characterization of the Indian Yellow dyestuff and its degradation products in historical oil paint tube by liquid chromatography mass spectrometry. RSC Adv. 2015, 5, 48786–48792. [Google Scholar] [CrossRef]
- Otłowska, O.; Ślebioda, M.; Wachowiak, M.; Śliwka-Kaszyńska, M. A multi-analytical approach to the characterization of natural organic dyestuffs and inorganic substrates present in the 19th-century artistic oil paints manufactured by a French art materials supplier Richard Aines. Anal. Methods 2017, 9, 94–102. [Google Scholar] [CrossRef]
- Otłowska, O.; Ślebioda, M.; Kot-Wasik, A.; Karczewski, J.; Śliwka-Kaszyńska, M. Chromatographic and spectroscopic identification and recognition of natural dyes, uncommon dyestuff components and mordants in 16th century carpet. Molecules 2018, 23, 339. [Google Scholar] [CrossRef] [PubMed] [Green Version]
- Degano, I.; Tognotti, P.; Kunzelman, D.; Modugno, F. HPLC-DAD and HPLC-ESI-Q-ToF characterisation of early 20th century lake and organic pigments from Lefranc archives. Herit. Sci. 2017, 5, 7. [Google Scholar] [CrossRef] [Green Version]
- Sabatini, F.; Bacigalupo, M.; Degano, I.; Javér, A.; Hacke, M. Revealing the organic dye and mordant composition of Paracas textiles by a combined analytical approach. Herit. Sci. 2020, 8, 122. [Google Scholar] [CrossRef]
- Campanella, B.; Degano, I.; Grifoni, E.; Legnaioli, S.; Lorenzetti, G.; Pagnotta, S.; Poggialini, F.; Palleschi, V. Identification of inorganic dyeing mordant in textiles by surfaceenhanced laser-induced breakdown spectroscopy. Microchem. J. 2018, 139, 230–235. [Google Scholar] [CrossRef]
- Joosten, I.; van Bommel, M.R.; Hofmann-de Keijzer, R.; Reschreiter, H. Micro analysis on Hallstatt textiles: Colour and condition. Microchim. Acta 2006, 155, 169–174. [Google Scholar] [CrossRef]
- Manhita, A.; Costa, C.; Ferreira, T.; Mirao, J.; Vargas, H.; Ribeiro, I.; Seruya, I.; Pacheco, T.; Alves, L.; Candeias, A. Rediscovering the materials of Arraiolos tapestries: Fibre and mordant analysis by SEM-EDS and μ-PIXE. Microsc. Microanal. 2008, 14, 91–94. [Google Scholar] [CrossRef] [Green Version]
- Madariaga, J.M. Analytical chemistry in the field of cultural heritage. Anal. Methods 2015, 7, 4848–4876. [Google Scholar] [CrossRef]
- Alcantara-Garcia, J.; Nix, M. Multi-instrumental approach with archival research to study the Norwich textile industry in the late eighteenth and early nineteenth centuries: The example of a Norwich pattern book dated c. 1790–1793. Herit. Sci. 2018, 6, 76. [Google Scholar] [CrossRef]
- Liu, J.; Mouri, C.; Laursen, R.; Zhao, F.; Zhou, Y.; Li, W. Characterization of dyes in ancient textiles from Yingpan, Xinjiang. J. Archaeol. Sci. 2013, 40, 4444–4449. [Google Scholar] [CrossRef]
- Szulc, J.; Karbowska-Berent, J.; Drążkowska, A.; Ruman, T.; Beech, I.; Sunner, J.A.; Gutarowska, B. Metabolomics and metagenomics analysis of 18th century archaeological silk. Int. Biodeterior. Biodegrad. 2021, 156, 105120. [Google Scholar] [CrossRef]
- Cybulska, M.; Jedraszek-Bomba, A.; Kuberski, S.; Wrzosek, H. Methods of Chemical and Physicochemical Analysis in the Identification of Archaeological and Historical Textiles. Fibres Text. East. Eur. 2008, 16, 67–73. [Google Scholar]
- Margariti, C. The application of FTIR microspectroscopy in a non-invasive and non-destructive way to the study and conservation of mineralized excavated textiles. Herit. Sci. 2019, 7, 63. [Google Scholar] [CrossRef]
- Pangallo, D.; Krakova, L.; Chovanova, K.; Buckova, M.; Puskarova, A.; Simonovicova, A. Disclosing a crypt: Microbial diversity and degradation activity of the microflora isolated from funeral clothes of Cardinal Peter Pazmany. Microbiol. Res. 2013, 168, 289–299. [Google Scholar] [CrossRef]
- Pinar, G.; Krakova, L.; Pangallo, D.; Piombino-Mascali, D.; Maixner, F.; Zink, A.; Sterflinger, K. Halophilic bacteria are colonizing the exhibition areas of the Capuchin Catacombs in Palermo, Italy. Extremophiles 2014. [Google Scholar] [CrossRef] [Green Version]
- Szostak-Kotowa, J. Biodeterioration of textiles. Int. Biodeterior. Biodegrad. 2004, 53, 165–170. [Google Scholar] [CrossRef]
- Pietrzak, K.; Puchalski, M.; Otlewksa, A.; Wrzosek, H.; Guiamet, P.; Piotrowska, M.; Gutarowska, B. Microbial diversity of pre-Columbian archaeological textiles and the effect of silver nanoparticles misting disinfection. J. Cult. Herit. 2017, 23, 138–147. [Google Scholar] [CrossRef]
- Błyskal, B. Gymnoascus arxii’s potential in deteriorating woollen textiles dyed with natural and synthetic dyes. Int. Biodeterior. Biodegrad. 2014, 86, 349–357. [Google Scholar] [CrossRef]
- Błyskal, B. Fungal deterioration of a woollen textile dyed with cochineal. J. Cult. Herit. 2015, 16, 32–39. [Google Scholar] [CrossRef]
- Joosten, I.; van Bommel, M.R. Critical evaluation of micro-chemical analysis of archaeological materials. Experiences from the Netherlands Institute for Cultural Heritage. Microchim. Acta 2008, 162, 433–446. [Google Scholar] [CrossRef]
- Cooke, B.; Lomas, B. The evidence of wear and damage in ancient textiles. In Textiles in Northern Archaeology. NESAT III: Textile Symposium in York 6–9 May 1987; Walton, P., Wild, J.P., Eds.; Archetype Publications: London, UK, 1987; p. 15. [Google Scholar]
- Delaney, J.K.; Ricciardi, P.; Glinsman, L.; Palmer, M.; Burke, J. Use of near infrared reflectance imaging spectroscopy to map wool and silk fibres in historic tapestries. Anal. Methods 2016, 8, 7886–7890. [Google Scholar] [CrossRef]
- Kaplan, D.; Adams, W.; Farmer, B.; Viney, C. Silk Polymers Materials Science and Biotechnology; Kaplan, D., Adams, W., Farmer, B., Viney, C., Eds.; American Chemical Society: Washington, DC, USA, 1994; pp. 252–269. [Google Scholar]
- Smith, G.J. New trend in photobiology-photodegradation of keratin and other structural proteins. J. Photochem. Photobiol. B Biol. 1995, 27, 187–198. [Google Scholar] [CrossRef]
- Hofenk de Graaff, J.H. The Colourful Past: Origins, Chemistry and Identification of Natural Dyestuffs, 1st ed.; Archetype Publications: London, UK, 2004. [Google Scholar]
- Miyazawa, T.; Blout, E.R. The infrared spectra of polypeptides in various conformations: Amide I and II bands. J. Am. Chem. Soc. 1961, 83, 712–719. [Google Scholar] [CrossRef]
- Bhat, N.V.; Nadiger, G.S. Crystallinity in silk fibers: Partial acid hydrolysis and related studies. J. Appl. Polym. Sci. 1980, 25, 921–932. [Google Scholar] [CrossRef]
- Monti, P.; Freddi, G.; Arosio, C.; Tsukada, M.; Arai, T.; Taddei, P. Vibrational spectroscopic study of sulphated silk proteins. J. Mol. Struct. 2007, 834–836, 202–206. [Google Scholar] [CrossRef]
- Arai, T.; Freddi, G.; Innocenti, R.; Tsukada, M. Biodegradation of Bombyx mori silk fibroin fibers and films. J. Appl. Polym. Sci. 2004, 91, 2383–2390. [Google Scholar] [CrossRef]
- Kakkar, P.; Madhan, B.; Shanmugamet, G. Extraction and characterization of keratin from bovine hoof: A potential material for biomedical applications. SpringerPlus 2014, 3, 596. [Google Scholar] [CrossRef] [Green Version]
- Ikura, Y.; Kudo, T. Isolation of a microorganism capable of degrading poly-(L-lactide). J. Gen. Appl. Microbiol. 1999, 45, 247–251. [Google Scholar] [CrossRef] [Green Version]
- Tusher, T.R.; Shimizu, T.; Inoue, C.; Chien, M. Isolation and Characterization of Novel Bacteria Capable of Degrading 1,4-Dioxane in the Presence of Diverse Co-Occurring Compounds. Microorganisms 2021, 9, 887. [Google Scholar] [CrossRef]
- Karpova, E.; Vasiliev, V.; Mamatyuk, V.; Polosmak, N.; Kundo, L. Xiongnu burial complex: A study of ancient textiles from the 22nd Noin-Ula barrow (Mongolia, first century AD). J. Archaeol. Sci. 2016, 70, 15–22. [Google Scholar] [CrossRef]
- Degano, I.; Biesaga, M.; Colombini, M.P.; Trojanowicz, M. Historical and archaeological textiles: An insight on degradation products of wool and silk yarns. J. Chromatogr. A 2011, 1218, 5837–5847. [Google Scholar] [CrossRef] [PubMed]
- Degano, I.; Mattonai, M.; Sabatini, F.; Colombini, M.P. A mass spectrometric study on tannin degradation within dyed woolen yarns. Molecules 2019, 24, 2318. [Google Scholar] [CrossRef] [Green Version]
- Calis, A.; Celik, G.Y.; Katircioglu, H. Antimicrobial effect of natural dyes on some pathogenic bacteria. Afr. J. Biotechnol. 2009, 8, 291–293. [Google Scholar]
- Kalyoncu, F.; Cetin, B.; Saglam, H. Antimicrobial activity of common madder (Rubia tinctorum L.). Phytother. Res. 2006, 20, 490–492. [Google Scholar] [CrossRef]
- Solazzo, C.; Dyer, J.M.; Clerens, S.; Plowman, J.; Peacock, E.E.; Collins, M.J. Proteomic evaluation of the biodegradation of wool fabrics in experimental burials. Int. Biodeterior. Biodegrad. 2013, 80, 48–59. [Google Scholar] [CrossRef]
- Lech, K.; Jarosz, M. Identification of Polish cochineal (Porphyrophora polonica L.) in historical textiles by high-performance liquid chromatography coupled with spectrophotometric and tandem mass spectrometric detection. Anal. Bioanal. Chem. 2016, 408, 3349–3358. [Google Scholar] [CrossRef] [Green Version]
- Lech, K.; Witkoś, K.; Wileńska, B.; Jarosz, M. Identification of unknown colorants in pre-Columbian textiles dyed with American cochineal (Dactylopius coccus Costa) using high-performance liquid chromatography and tandem mass spectrometry. Anal. Bioanal. Chem. 2015, 407, 855–867. [Google Scholar] [CrossRef] [Green Version]
- Cuyckens, F.; Claeys, M. Mass spectrometry in the structural analysis of flavonoids. J. Mass Spectrom. 2004, 39, 1–15. [Google Scholar] [CrossRef] [PubMed]
- Peggie, D.A.; Kirby, J.; Poulin, J.; Genuit, W.; Romanuka, J.; Wills, D.F.; De Simone, A.; Hulme, A.N. Historical mystery solved: A multi-analytical approach to the identification of a key marker for the historical use of brazilwood (Caesalpinia spp.) in paintings and textiles. Anal. Methods 2018, 10, 617–623. [Google Scholar] [CrossRef] [Green Version]
- Manhita, A.; Balcaen, L.; Vanhaecke, F.; Ferreira, T.; Candeias, A.; Barrocas Dias, C. Unveiling the colour palette of Arraiolos carpets: Material study of carpets from the 17th to 19th century period by HPLC-DAD-MS and ICP-MS. J. Cult. Herit. 2014, 15, 292–299. [Google Scholar] [CrossRef]
- Karapanagiotis, I.; Minopoulou, E.; Valianou, L.; Daniilia, S.; Chryssoulakis, Y. Investigation of the colourants used in icons of the Cretan School of iconography. Anal. Chim. Acta 2009, 647, 231–242. [Google Scholar] [CrossRef] [PubMed]
- Mueller-Harvey, I. Analysis of hydrolysable tannins. Anim. Feed Sci. Technol. 2001, 9, 3–20. [Google Scholar] [CrossRef]
- Li, R.; Liu, F.; Yang, X.; Chen, L.; Wang, F.; Zhang, G.; Zhang, Q.; Zhang, L.; He, Y.; Li, Y.; et al. Analysis of bisabolocurcumin ether (a terpene-conjugated curcuminoid) and three curcuminoids in Curcuma species from different regions by UPLC-ESI MS/MS and their in vitro anti-inflammatory activities. J. Funct. Foods 2019, 52, 186–195. [Google Scholar] [CrossRef]
- Jiang, H.; Timmermann, B.N.; Gang, D.R. Use of liquid chromatography-electrospray ionization tandem mass spectrometry to identify diarylheptanoids in turmeric (Curcuma longa L.) rhizome. J. Chromatogr. A 2006, 1111, 21–31. [Google Scholar] [CrossRef] [PubMed]
- Kotha, R.R.; Luthria, D.L. Curcumin: Biological, Pharmaceutical, Nutraceutical, and Analytical Aspects. Molecules 2019, 24, 2930. [Google Scholar] [CrossRef] [PubMed] [Green Version]
- Prasad, S.; Gupta, S.C.; Tyagi, A.K.; Aggarwal, B.B. Curcumin, a component of golden spice: From bedside to bench and back. Biotechnol. Adv. 2014, 32, 1053–1064. [Google Scholar] [CrossRef]
- Shibayama, N.; Wypyski, M.; Gagliardi-Mangilli, E. Analysis of natural dyes and metal threads used in 16th-18th century Persian/Safavid and Indian/Mughal velvets by HPLC-PDA and SEM-EDS to investigate the system to differentiate velvets of these two cultures. Herit. Sci. 2015, 3, 12. [Google Scholar] [CrossRef] [Green Version]
- Gulmini, M.; Idone, A.; Diana, E.; Gastaldi, D.; Vaudan, D.; Aceto, M. Identification of dyestuffs in historical textiles: Strong and weak points of a non-invasive approach. Dyes Pigm. 2013, 98, 136–145. [Google Scholar] [CrossRef]
- Zhang, X.; Corrigan, K.; MacLaren, B.; Leveque, M.; Laursen, R. Characterization of Yellow Dyes in Nineteenth-Century Chinese Textiles. Stud. Conserv. 2007, 50, 211–220. [Google Scholar] [CrossRef]
- Böhmer, H.; Enez, N.; Karadagg, R.; Kwon, C. Koekboya: Natural Dyes and Textiles: A Colour Journey from Turkey to India and Beyond; REMHOB: Ganderkesee, Germany, 2002; ISBN 3936713014. [Google Scholar]
- O’Neill, C.A. Dictionary of Dyeing and Calico Printing: Containing a Brief Account of All the Substances and Processes in Use in the Arts of Dyeing and Printing Textile Fabrics, London. 1862. Available online: https://archive.org/details/dictionaryofcali00onei/page/20 (accessed on 6 April 2021).
- Asian Textile Studies, Natural Black Dyes. 2016. Available online: http://www.asiantextilestudies.com/black.html (accessed on 6 April 2021).






| Element (at%) | C | O | Na | Mg | Al | Si | P | S | Cl | K | Ca | Fe | Cu | Ag | Zn | Thread Diameter(μm) | Thread Type |
|---|---|---|---|---|---|---|---|---|---|---|---|---|---|---|---|---|---|
| Sample Code | |||||||||||||||||
| C2/b4-1 | 72.5 | 27.0 | 0.5 | * | * | * | * | * | * | 0.5 | 1.0 | 0.5 | * | 8–9 | silk | ||
| C2/b4-2 | 71.0 | 28.0 | 0.5 | * | * | * | * | * | * | * | 0.5 | * | * | 7–8 | silk | ||
| C3/b7 | 56.5 | 38.0 | * | * | 0.5 | * | 1.0 | * | * | 0.5 | 1.5 | 0.5 | * | * | 7–10 | silk | |
| C5/b5-1 | 72.0 | 27.0 | - | 0.5 | * | * | * | * | 0.5 | * | - | * | - | 0.5 | 7–8 | silk | |
| C5/b5-2 | 70.0 | 27.0 | 0.5 | * | 0.5 | * | * | 0.5 | * | 0.5 | 0.5 | * | * | - | 20–25 | wool | |
| C5/b9-1 | 57.0 | 39.0 | 0.5 | * | * | * | 0.5 | * | * | 0.5 | 1.5 | 0.5 | - | - | * | 10–12 | silk |
| C5/b9-2 | 63.0 | 34.0 | - | * | * | * | 1.0 | * | - | * | 0.5 | 0.5 | * | - | - | 10–14 | silk |
| C5/b11 | 72.0 | 26.0 | - | * | - | * | * | - | - | 0.5 | * | * | - | * | 10–11 | silk | |
| C5/b14 | 21.0 | 15.5 | - | 1.0 | 1.0 | - | 1.0 | 30.0 | - | - | - | 0.5 | 30.0 | * | 11–12 150 | silk silver | |
| C5/b19 | 72.0 | 27.0 | - | * | * | 0.5 | * | 0.5 | - | * | 0.5 | * | * | - | - | 7–8 | silk |
| C5/b25 | 75.0 | 25.0 | - | * | * | * | * | * | - | - | * | - | * | - | * | 10–11 | silk |
| C6/b1 | 52.5 | 40.5 | - | - | 0.5 | * | 2.0 | * | * | 0.5 | 1.5 | 2.0 | * | - | * | 10–13 | silk |
| C6/b2 | 63.5 | 32.5 | * | * | 0.5 | 1.0 | * | 1.0 | * | * | 1.0 | 2.5 | - | - | - | 15–30 | wool |
| C6/b5 | 61.5 | 32.0 | - | * | 0.5 | 0.5 | * | 2.0 | * | 2.0 | 1.0 | * | - | - | 20–21 | wool | |
| C7/b2 | 61.5 | 35.0 | 0.5 | * | 0.5 | * | 0.5 | * | * | * | 1.0 | * | * | - | * | 8–9 | silk |
| C7/b4-1 | 72.0 | 26.0 | - | * | * | * | * | 0.5 | * | * | 0.5 | * | * | - | - | 13–14 | silk |
| C7/b4-2 | 72.0 | 27.0 | - | * | * | - | * | - | - | * | * | * | * | - | 9–10 | silk | |
| C8/b6 | 66.0 | 30.0 | - | * | * | * | * | * | * | 0.5 | 1.5 | * | * | - | - | 9–11 | silk |
| C8/b7 | 73.0 | 24.0 | - | - | * | * | * | 1.5 | - | * | * | 0.5 | * | - | * | 20–30 | wool |
| C9/b1-1 | 75.0 | 22.5 | 0.5 | * | * | * | * | 0.5 | * | * | * | * | * | - | - | 9–12 | silk |
| C9/b1-2 | 48.0 | 40.0 | - | - | 0.5 | * | 0.5 | 0.5 | * | * | 1.0 | 9.0 | * | - | - | 10–14 | silk |
| C9/b1-3 | 63.0 | 30.0 | 0.5 | - | * | * | 1.0 | 0.5 | * | 1.5 | 1.0 | 1.5 | * | - | * | 12–13 | silk |
| C9/b7 | 69.0 | 29.5 | * | * | * | * | * | * | * | * | 0.5 | * | - | - | 10–15 | silk |
| Niche | Human Pathogens | Human Microbiota | Animal Microbiota | Environment |
|---|---|---|---|---|
| Species | Serratia marcescens | Escherichia coli | Piscicoccus intestinalis | - |
| - | - | Propionibacterium acnes | Clostridium intestinale | - |
| Genus | Mycobacterium | Anaerococcus | Corynebacterium | Dokdonella |
| - | - | Prevotella | - | Leuconostoc |
| - | - | Streptococcus | - | Amycolatopsis |
| - | - | Staphylococcus | - | Stenotrophomonas |
| - | - | - | - | Terracoccus |
| - | - | - | - | Tsukamurrela |
| - | - | - | - | Cellulosimicrobium |
| - | - | - | - | Bacillus |
| - | - | - | - | Terriglobus |
| - | - | - | - | Ochrobactrum |
| - | - | - | - | Pseudonocardia |
| Sample Code | Identified Compounds | Biological Source |
|---|---|---|
| C2/b4-1 | Curcumin, dihydrodemethoxycurcumin, ellagic acid, xantholaccaic acid B, dehydrated xantholaccaic acid B, unidentified 346 | Turmeric, tannin plant, lac dye |
| C2/b4-2 | Curcumin, dihydrodemethoxycurcumin, ellagic acid, xantholaccaic acid B, dehydrated xantholaccaic acid B, dehydrated xantholaccaic acid A, unidentified 346 | Turmeric, tannin plant, lac dye |
| C3/b7 | Indigotin, carminic acid, alizarin, purpurin, hystazarin, ellagic acid, unidentified 346 | Indigo, cochineal, madder, tannin plant |
| C5/b5-1 | Carminic acid, dc IV, dc VII, dehydrated carminic acid, ellagic acid, kermesic acid | Cochineal, tannin plant |
| C5/b5-2 | Alizarin, anthragallol, purpurin, hystazarin, xanthopurpurin, munjistin, lucidin, rubiadin | Madder |
| C5/b9-1 | Protosappanin B, ellagic acid, unidentified 346 | Redwood, tannin plant |
| C5/b9-2 | Indigotin, dihydrodemethoxycurcumin, ellagic acid, curcumin, unidentified 346 | Indigo, tannin plant, turmeric |
| C5/b11 | Ellagic acid, dihydrodemethoxycurcumin, curcumin, unidentified 346 | Tannin plant, turmeric |
| C5/b14 | Indigotin, curcumin, dihydrodemethoxycurcumin | Indigo, turmeric |
| C5/b19 | Indigotin, curcumin, dihydrodemethoxycurcumin | Indigo, turmeric |
| C5/b25 | Indigotin, indirubin (traces) | Indigo |
| C6/b1 | Protosappanin B, ellagic acid, unidentified 346 | Redwood, tannin plant |
| C6/b2 | Ellagic acid, deoxyerythrolaccin, erythrolaccin, fisetin, sulfuretin | Tannin plant, cochineal, young fustic |
| C6/b5 | Indigotin, ellagic acid | Indigo, tannin plant |
| C7/b2 | Carminic acid, dc IV, dc VII, dehydrated carminic acid, erythrolaccin, dehydrated xantholaccaic acid B, ellagic acid, indigotin | Cochineal, tannin plant, indigo, lac dye |
| C7/b4-1 | Carminic acid, dc IV, dc VII, flavokermesic acid, 5-aminokermesic acid, indigotin | Cochineal, indigo |
| C7/b4-2 | Ellagic acid, carminic acid, kermesic acid (traces), indigotin | Tannin plant, indigo, cochineal |
| C8/b6 | Ellagic acid, indigotin, alizarin, purpurin, rubiadin | Tannin plant, indigo, madder |
| C8/b7 | Ellagic acid, indigotin, indirubin, alizarin, purpurin, xanthopurpurin, hystazarin, anthragallol, rhamnazin, chrysoeriol, emodin, quercetin, quercitrin | Tannin plant, indigo, madder, undefined flavone producing plant |
| C9/b1-1 | Ellagic acid, alizarin, indigotin (traces) | Tannin plant, madder, indigo |
| C9/b1-2 | Ellagic acid, alizarin, munjistin, rubiadin, indigotin | Tannin plant, madder, indigo |
| C9/b1-3 | Carminic acid, ellagic acid, fisetin | Tannin plant, cochineal, young fustic |
| C9/b7 | Ellagic acid | Tannin plant |
| Peak No. | tR (min) | [M–H]− (m/z) | Fragment Ions (m/z) | Proposed Identification | Colour | λmax (nm) |
|---|---|---|---|---|---|---|
| 1 | 9.3 | 303 | 273, 229 | protosappanin B | red | 287, 390 |
| 2 | 10.1 | 491 | 447, 473, 357, 327, 299, 285 | carminic acid | red | 276, 490 |
| 3 | 11.2 | 490 | 446, 356 | 5-aminokermesic acid | red | - |
| 4 | 11.3 | 301 | 245, 183, 169, 139, 124 | ellagic acid | cream | 275, 365 |
| 5 | 11.6 | 491 | 447, 357, 327, 299 | kermesic acid 7-C-glucofuranoside (dc IV) | red | 276, 490 |
| 6 | 12.2 | 447 | 301, 211, 151 | quercitrin | yellow | 257, 349 |
| 7 | 12.3 | 491 | 447, 357, 327, 299 | kermesic acid 7-C-glucofuranoside (dc VII) | red | 276, 490 |
| 8 | 12.5 | 346 | 302, 285, 257, 229, 201, 173 | unidentified | - | 260, 365 |
| 9 | 12.6 | 473 | 429, 401, 339, 309, 285, 243 | dehydrated carminic acid | red | 245, 380 |
| 10 | 13.0 | 479 | 461, 435, 417, 391, 373 | xantholaccaic acid B | red | 260, 365 |
| 11 | 14.0 | 301 | 232, 151, 121 | quercetin | yellow | 255, 360 |
| 12 | 14.2 | 285 | 241, 229, 149, 135, 121 | fisetin | yellow | 355, 360 |
| 13 | 14.4 | 313 | 285, 269, 241, 197 | flavokermesic acid | red | 280, 430 |
| 14 | 14.7 | 269 | 241, 225, 213, 195, 135, 133 | sulfuretin | yellow | 256, 396 |
| 15 | 14.9 | 329 | 285, 257, 269, 213, 185, 169 | kermesic acid | red | 270, 490 |
| 16 | 15.2 | 239 | 211, 195, 183, 167 | hystazarin | red | 282, 413 |
| 17 | 15.4 | 283 | 239, 211 | munjistin | red | 287, 492 |
| 18 | 15.4 | 502 | 484, 458, 440, 414, 386 | dehydrated xantholaccaic acid A | red | - |
| 19 | 15.5 | 299 | 284, 256, 243, 227, 199 | chryoseriol | yellow | 270, 350 |
| 20 | 15.9 | 255 | 239, 227, 183 | anthragallol | red | 279, 405 |
| 21 | 16.0 | 461 | 443, 417, 391, 373, 345 | dehydrated xantholaccaic acid B | red | 210, 245 |
| 22 | 16.8 | 239 | 211, 183, 167, 151 | alizarin | red | 280, 430 |
| 23 | 17.5 | 269 | 251, 239, 223, 211, 195 | lucidin | red | 280, 420 |
| 24 | 18.0 | 239 | 211, 195, 167 | xanthopurpurin | red | 250, 420 |
| 25 | 18.1 | 261 | 233, 217 | indigotin | blue | 288, 620 |
| 26 | 18.2 | 329 | 314, 301, 299, 286, 271, 258 | rhamnazin | yellow | 256, 371 |
| 27 | 18.3 | 339 | 337, 219, 175, 149 | dihydrodemethoxycurcumin | yellow | 260, 400 |
| 28 | 18.3 | 255 | 227, 183 | purpurin | red | 255, 480 |
| 29 | 18.5 | 367 | 217, 173, 158, 149, 134 | curcumin | yellow | 250, 415 |
| 30 | 18.7 | 269 | 241, 225, 213, 197 | deoxyerythrolaccin | red | 260, 440 |
| 31 | 19.2 | 261 | 233, 217 | indirubin | blue | 290, 550 |
| 32 | 19.8 | 253 | 225, 197 | rubiadin | red | 245, 410 |
| 33 | 20.1 | 269 | 241, 225, 197 | emodin | orange | 250, 290 |
| 34 | 20.2 | 285 | 257, 241, 229, 213, 185 | erythrolaccin | red | 265 |
Publisher’s Note: MDPI stays neutral with regard to jurisdictional claims in published maps and institutional affiliations. |
© 2021 by the authors. Licensee MDPI, Basel, Switzerland. This article is an open access article distributed under the terms and conditions of the Creative Commons Attribution (CC BY) license (https://creativecommons.org/licenses/by/4.0/).
Share and Cite
Śliwka-Kaszyńska, M.; Ślebioda, M.; Brillowska-Dąbrowska, A.; Mroczyńska, M.; Karczewski, J.; Marzec, A.; Rybiński, P.; Drążkowska, A. Multi-Technique Investigation of Grave Robes from 17th and 18th Century Crypts Using Combined Spectroscopic, Spectrometric Techniques, and New-Generation Sequencing. Materials 2021, 14, 3535. https://doi.org/10.3390/ma14133535
Śliwka-Kaszyńska M, Ślebioda M, Brillowska-Dąbrowska A, Mroczyńska M, Karczewski J, Marzec A, Rybiński P, Drążkowska A. Multi-Technique Investigation of Grave Robes from 17th and 18th Century Crypts Using Combined Spectroscopic, Spectrometric Techniques, and New-Generation Sequencing. Materials. 2021; 14(13):3535. https://doi.org/10.3390/ma14133535
Chicago/Turabian StyleŚliwka-Kaszyńska, Magdalena, Marek Ślebioda, Anna Brillowska-Dąbrowska, Martyna Mroczyńska, Jakub Karczewski, Anna Marzec, Przemysław Rybiński, and Anna Drążkowska. 2021. "Multi-Technique Investigation of Grave Robes from 17th and 18th Century Crypts Using Combined Spectroscopic, Spectrometric Techniques, and New-Generation Sequencing" Materials 14, no. 13: 3535. https://doi.org/10.3390/ma14133535
APA StyleŚliwka-Kaszyńska, M., Ślebioda, M., Brillowska-Dąbrowska, A., Mroczyńska, M., Karczewski, J., Marzec, A., Rybiński, P., & Drążkowska, A. (2021). Multi-Technique Investigation of Grave Robes from 17th and 18th Century Crypts Using Combined Spectroscopic, Spectrometric Techniques, and New-Generation Sequencing. Materials, 14(13), 3535. https://doi.org/10.3390/ma14133535

