Outperformance in Acrylation: Supported D-Glucose-Based Ionic Liquid Phase on MWCNTs for Immobilized Lipase B from Candida antarctica as Catalytic System
Abstract
1. Introduction
2. Materials and Methods
2.1. Materials
2.2. Methods
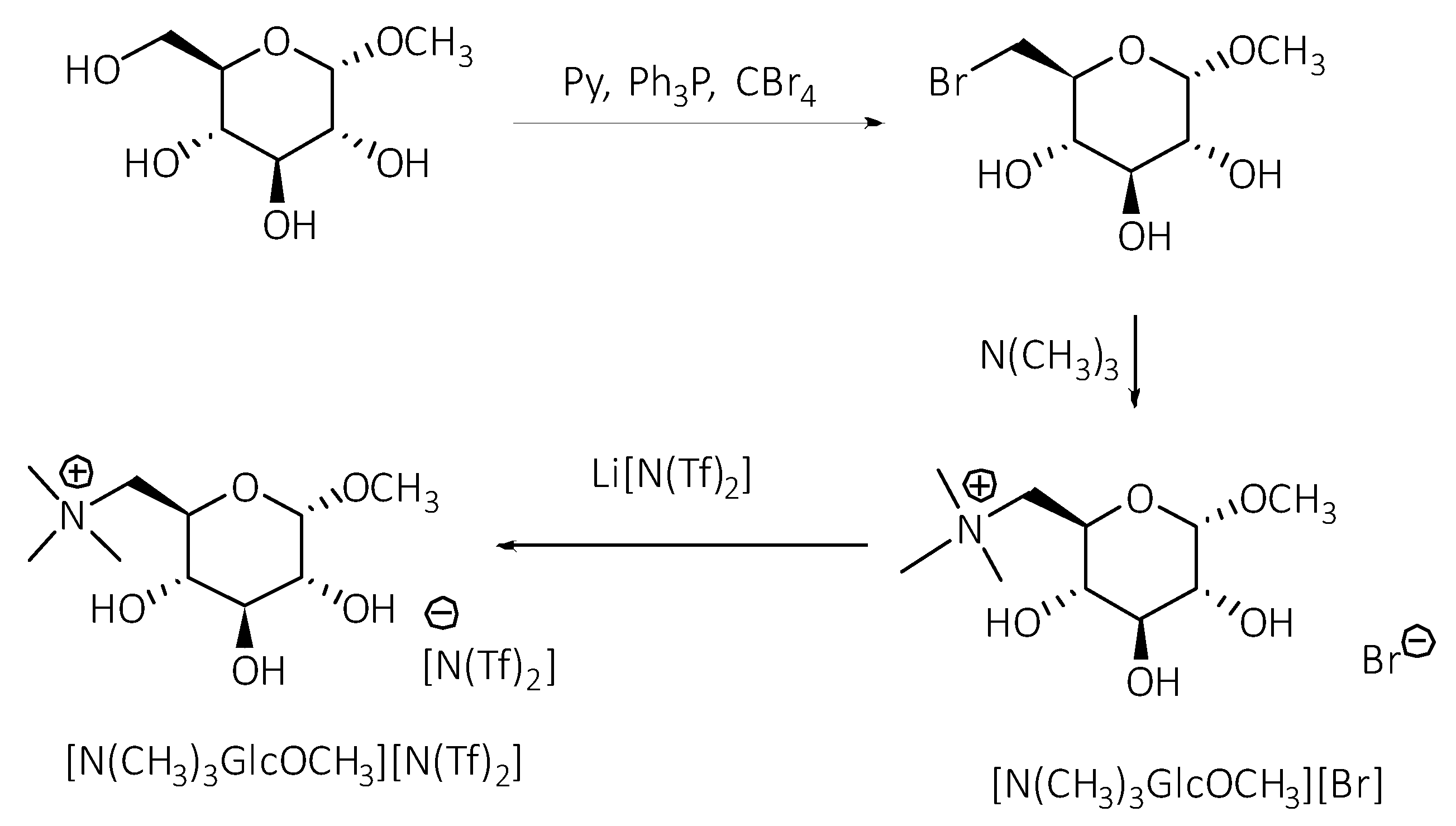
2.3. Synthetic Procedures
3. Results
3.1. Preliminary Studies
3.2. Preparation and Characterisation of Biocatalyst CNTs-IL-CALB
3.3. The Influence of the Selected Parameters on the Synthesis of n-Butyl Acrylate
4. Conclusions
Supplementary Materials
Author Contributions
Funding
Institutional Review Board Statement
Informed Consent Statement
Data Availability Statement
Conflicts of Interest
References
- Ajekwene, K.K. Chapter 3: Properties and Applications of Acrylates. In Acrylate Polymers for Advanced Applications; Intechopen: London, UK, 2020; pp. 35–46. [Google Scholar] [CrossRef]
- Dusselier, M.; van Wouwe, P.; Dewaele, A.; Makshina, E.; Sels, B.F. Lactic acid as a platform chemical in the biobased economy: The role of chemocatalysis. Energ. Environ. Sci. 2013, 6, 1415–1442. [Google Scholar] [CrossRef]
- Fan, Y.; Zhou, C.; Zhu, X. Selective catalysis of lactic acid to produce commodity chemicals. Catal. Rev. 2009, 51, 293–324. [Google Scholar] [CrossRef]
- Makshina, E.V.; Canadell, J.; van Krieken, J.; Peeters, E.; Dusselier, M.; Sels, B.F. Bio-acrylates production: Recent catalytic advances and perspectives of the use of lactic acid and their derivates. ChemCatChem 2019, 11, 180–201. [Google Scholar] [CrossRef]
- Bauer, W. Kirk-Othmer Encyclopedia of Chemical Technology; John Wiley & Sons, Inc.: Hoboken, NJ, USA, 2003; Volume 1, pp. 342–369. [Google Scholar]
- Sun, H.B.; Hua, R.; Yin, Y. ZrOCl2·8H2O: An efficient, cheap and reusable catalyst for the esterification of acrylic acid and other carboxylic acids with equimolar amounts of alcohols. Molecules 2006, 11, 263–271. [Google Scholar] [CrossRef] [PubMed]
- Hajjar, A.B.; Nicks, P.F.; Knowles, C.J. Preparation of monomeric acrylic ester intermediates using lipase catalysed transesterifications in organic solvents. Biotechnol. Lett. 1990, 12, 825–830. [Google Scholar] [CrossRef]
- Warwel, S.; Steinke, G.; Klaas, M.R. An efficient method for lipase-catalysed preparation of acrylic and methacrylic acid esters. Biotechnol Tech. 1996, 10, 283–286. [Google Scholar] [CrossRef]
- Nordblad, M.; Aldercreutz, P. Efficient enzymatic acrylation through transesterification at controlled water activity. Biotechnol. Bioeng. 2008, 99, 1518–1524. [Google Scholar] [CrossRef] [PubMed]
- Syrn, P.O.; Hult, K. Substrate conformations set the rate of enzymatic acrylation by lipases. ChemBioChem 2010, 11, 802–810. [Google Scholar] [CrossRef] [PubMed]
- Bauwelinck, J.; Cornet, I.; Wijnants, M.; Dams, R.; Tavernier, S. Investigation of the enzyme-catalysed transesterification of methyl acrylate and sterically hindered alcohol substrates. ChemistrySelect 2018, 3, 5169–5175. [Google Scholar] [CrossRef]
- Nordblad, M.; Adlercreutz, P. Effects of acid concentration and solvent choice on enzymatic acrylation by Candida antarctica lipase B. J. Biotechnol. 2008, 133, 127–133. [Google Scholar] [CrossRef]
- Park, D.W.; Haam, S.; Ahn, I.S.; Tai, G.L.; Kim, H.S.; Kim, W.S. Enzymatic esterification of β-methylglucoside with acrylic/methacrylic acid in organic solvents. J. Biotechnol. 2004, 107, 151–160. [Google Scholar] [CrossRef] [PubMed]
- Thum, O.; Hilterhaus, L.; Liese, A. Process for Enzymatically Preparing Carboxylic Esters (Evonik Goldschmidt GmbH). US 8216813 B2, 10 July 2012. [Google Scholar]
- Haering, D.; Meisenburg, U.; Hauer, B.; Dietsche, F. Enzymatic production of (meth)acrylic acid esters (BASF). US 8278077 B2, 2 October 2012. [Google Scholar]
- Fauconet, M.; Roundy, R.; Denis, S.; Daniel, S. Method for continuous production of light acrylates by esterification of a raw ester-grade acrylic acid (DOW Global Technologies Inc.). WO 2015/015100, 4 April 2016. [Google Scholar]
- Tretjak, S.; Denis, S.; Delais, L.; Moreliere, A. Process for producing light (meth)acrylic esters (Arkema France). US 0272570, 22 September 2016. [Google Scholar]
- Zhao, H. Methods for stabilizing and activating enzymes in ionic liquids—A review. J. Chem. Technol. Biotechnol. 2010, 85, 891–907. [Google Scholar] [CrossRef]
- Lozano, P. Enzymes in neoteric solvents: From one-phase to multiphase systems. Green Chem. 2010, 12, 555–569. [Google Scholar] [CrossRef]
- Cipolatti, E.P.; Valerio, A.; Henriques, R.O.; Moritz, D.E.; Ninow, J.L.; Freire, D.M.G.; Manoel, E.A.; Fernandez-Lafuente, R.; de Oliveira, D. Nanomaterials for biocatalyst immobilization—State of the art and future trends. RSC Adv. 2016, 6, 104675–104692. [Google Scholar] [CrossRef]
- Sheldon, R.A.; van Pelt, S. Enzyme immobilisation in biocatalysis: Why, what and how. Chem. Soc. Rev. 2013, 42, 6223–6235. [Google Scholar] [CrossRef]
- Rodrigues, R.C.; Ortiz, C.; Berenguer-Murcia, A.; Torres, R.; Fernandes-Lafuente, R. Modifying enzyme activity and selectivity by immobilization. Chem. Soc. Rev. 2013, 42, 6290–6307. [Google Scholar] [CrossRef]
- Ortiz, C.; Ferreira, M.L.; Barbosa, O.; dos Santos, J.C.S.; Rodrigues, R.C.; Berenguer-Murcia, A.; Briand, L.R.; Fernandez-Lafuente, R. Novozym 435: The “perfect” lipase immobilized biocatalyst? Catal. Sci. Technol. 2019, 9, 2380–2420. [Google Scholar] [CrossRef]
- Cheng, C.; Jiang, T.; Wu, Y.; Cui, L.; Quin, S.; He, B. Elucidation of lid open and orientation of lipase activated in interfacial activation by amphiphilic environment. Int. J. Biol. Macromol. 2018, 119, 1211–1217. [Google Scholar] [CrossRef]
- Szelwicka, A.; Kolanowska, A.; Latos, P.; Jurczyk, S.; Boncel, S.; Chrobok, A. Carbon nanotube/PTFE as a hybrid platform for lipase B from Candida antarctica in transformation of α-angelica lactone into alkyl levulinates. Catal. Sci. Technol. 2020, 10, 3255–3264. [Google Scholar] [CrossRef]
- Szelwicka, A.; Siewniak, A.; Kolanowska, A.; Boncel, S.; Chrobok, A. PTFE-carbon nanotubes and lipase B from Candida antarctica-long-lasting marriage for ultra-fast and fully selective synthesis of levulinate esters. Materials 2021, 14, 1518. [Google Scholar] [CrossRef] [PubMed]
- Markiton, M.; Boncel, S.; Janas, S.; Chrobok, A. Highly active nanobiocatalyst from lipase noncovalently immobilized on multiwalled carbon nanotubes for Baeyer–Villiger synthesis of lactones. ACS Sustain. Chem. Eng. 2017, 5, 1685–1691. [Google Scholar] [CrossRef]
- Szelwicka, A.; Zawadzki, P.; Sitko, M.; Boncel, S.; Czardybon, W.; Chrobok, A. Continuous flow chemo-enzymatic Baeyer–Villiger oxidation with superactive and extra-stable enzyme/carbon nanotube catalyst: An efficient upgrade from batch to flow. Org. Process Res. Dev. 2019, 23, 1386–1395. [Google Scholar] [CrossRef]
- Szelwicka, A.; Boncel, S.; Jurczyk, S.; Chrobok, A. Exceptionally active and reusable nanobiocatalyst comprising lipase non-covalently immobilized on multi-wall carbon nanotubes for the synthesis of diester plasticizers. Appl. Catal. A Gen. 2019, 574, 41–47. [Google Scholar] [CrossRef]
- Garcia-Verdugo, E.; Lozano, P.; Lui, S.V. Biocatalytic Processes Based on Supported Ionic Liquids. In Supported Ionic Liquids: Fundamentals and Applications; Wiley-VCH Verlag GmbH & Co. KGaA: Weinheim, Germany, 2014; pp. 351–368. [Google Scholar] [CrossRef]
- Lee, J.K.; Kim, M.J. Ionic liquid-coated enzyme for biocatalysis in organic solvent. J. Org. Chem. 2002, 67, 6845–6847. [Google Scholar] [CrossRef] [PubMed]
- Itoh, T.; Han, S.; Matsushita, Y.; Hayase, S. Enhanced enantioselectivity and remarkable acceleration on the lipase-catalyzed transesterification using novel ionic liquids. Green Chem. 2004, 6, 437–439. [Google Scholar] [CrossRef]
- Welton, T. Ionic liquids: A brief history. Biophys. Rev. 2018, 10, 691–706. [Google Scholar] [CrossRef]
- Tampucci, S.; Guazzelli, L.; Burgalassi, S.; Carpi, S.; Chetoni, P.; Mezzetta, A.; Nieri, P.; Polini, B.; Pomelli, C.S.; Terreni, E.; et al. pH-Responsive Nanostructures Based on Surface Active Fatty Acid-Protic Ionic Liquids for Imiquimod Delivery in Skin Cancer Topical Therapy. Pharmaceutics 2020, 12, 1078. [Google Scholar] [CrossRef]
- Sureshkumar, M.; Lee, C.K.J. Biocatalytic reactions in hydrophobic ionic liquids. J. Mol. Catal. B Enzym. 2009, 60, 1–12. [Google Scholar] [CrossRef]
- Lozano, P.; Alvarez, E.; Bernal, J.M.; Nieto, S.; Gomez, C.; Sanchez-Gomez, G. Ionic Liquids for Clean Biocatalytic Processes. Curr. Org. Chem. 2017, 4, 116–129. [Google Scholar] [CrossRef]
- Kim, H.S.; Eom, D.; Koo, Y.M.; Yingling, Y.G. The effect of imidazolium cations on the structure and activity of the Candida antarctica Lipase B enzyme in ionic liquids. Phys. Chem. Chem. Phys. 2016, 18, 22062–22069. [Google Scholar] [CrossRef]
- Itoh, T. Ionic liquids as tool to improve enzymatic organic synthesis. Chem. Rev. 2017, 117, 10567–10607. [Google Scholar] [CrossRef]
- Drozdz, A.; Erfurt, K.; Bielas, R.; Chrobok, A. Chemo-enzymatic Baeyer–Villiger oxidation in the presence of Candida antarctica lipase B and ionic liquids. New J. Chem. 2015, 39, 1315–1321. [Google Scholar] [CrossRef]
- Lai, J.Q.; Li, Z.; Lu, Y.H.; Yang, Z. Specific ion effects of ionic liquids on enzyme activity and stability. Green Chem. 2011, 13, 1860–1868. [Google Scholar] [CrossRef]
- Lau, R.M.; Sorgedrager, M.J.; Carrea, G.; van Rantwijk, F.; Secundo, F.; Sheldon, R.A. Dissolution of Candida antarctica lipase B in ionic liquids: Effects on structure and activity. Green Chem. 2004, 6, 483–487. [Google Scholar] [CrossRef]
- Wan, X.; Xiang, X.; Tang, S.; Yu, D.; Huang, H.; Hu, Y. Immobilization of Candida antarctica lipase B on MWNTs modified by ionic liquids with different functional groups. Colloids Surf. B Biointerfaces 2017, 160, 416–422. [Google Scholar] [CrossRef]
- Wan, X.; Tang, S.; Xiang, X.; Huang, H.; Hu, Y. Immobilization of Candida antarctica Lipase B on functionalized ionic liquid modified MWNTs. Appl. Biochem. Biotechnol. 2017, 183, 807–819. [Google Scholar] [CrossRef]
- Erfurt, K.; Markiewicz, M.; Siewniak, A.; Lisicki, D.; Zalewski, M.; Stolte, S.; Chrobok, A. Biodegradable surface active D-glucose based quaternary ammonium ionic liquids in the solventless synthesis of chloroprene. ACS Sustain. Chem. Eng. 2020, 8, 10911–10919. [Google Scholar] [CrossRef]
- Brzeczek-Szafran, A.; Wiecek, P.; Guzik, M.; Chrobok, A. Combining amino acids and carbohydrates into readily biodegradable, task specific ionic liquids. RSC Adv. 2020, 10, 18355–18359. [Google Scholar] [CrossRef]
- Krukiewicz, K.; Kobus, D.; Turczyn, R.; Erfurt, K.; Chrobok, A.; Biggs, M.J.P. Low resistance, highly corrugated structures based on poly(3,4-ethylenedioxythiophene) doped with a d-glucopyranoside-derived ionic liquid. Electrochem. Commun. 2020, 110, 106616. [Google Scholar] [CrossRef]
- Pernak, J.; Czerniak, K.; Biedziak, A.; Marcinkowska, K.; Praczyk, T.; Erfurt, K.; Chrobok, A. Herbicidal ionic liquids derived from renewable sources. RSC Adv. 2016, 6, 52781–52789. [Google Scholar] [CrossRef]
- Erfurt, K.; Wandzik, I.; Walczak, K.; Matuszek, K.; Chrobok, A. Hydrogen-bond-rich ionic liquids as effective organocatalysts for Diels–Alder reactions. Green Chem. 2014, 16, 3508–3514. [Google Scholar] [CrossRef]
- Brzeczek-Szafran, A.; Erfurt, K.; Blacha-Grzechnik, A.; Krzywiecki, M.; Boncel, S.; Chrobok, A. Carbohydrate ionic liquids and salts as all-in-one precursors for N-doped carbon. ACS Sustain. Chem. Eng. 2019, 7, 19880–19888. [Google Scholar] [CrossRef]
- Sheldon, R.A.; Woodley, J.M. Role of biocatalysis in sustainable chemistry. Chem. Rev. 2018, 118, 801–838. [Google Scholar] [CrossRef] [PubMed]
- Zullo, V.; Iuliano, A.; Guazelli, L. Sugar-based ionic liquids: Multifaceted challenges and intriguing potential. Molecules 2021, 26, 2052. [Google Scholar] [CrossRef]
- Kashem, A.; Anisuzzaman, M.; Whistler, R.L. Selective replacement of primary hydroxyl groups in carbohydrates: Preparation of some carbohydrate derivatives containing halomethyl groups. Carbohydr. Res. 1978, 61, 511–518. [Google Scholar] [CrossRef]
- Itoh, T.; Matsushita, Y.; Abe, Y.; Han, S.; Wada, S.; Hayase, S.; Kawatsura, M.; Takai, S.; Morimoto, M.; Hirose, Y. Increased enantioselectivity and remarkable acceleration of lipase-catalyzed transesterification by using an imidazolium PEG–alkyl sulfate ionic liquid. Chem. Eur. J. 2006, 12, 9228–9237. [Google Scholar] [CrossRef] [PubMed]






| CNTs:IL (g/g) | Solvent 1 | IL Content in CNTs-IL (wt.%) 2 | CALB Content in CNTs-IL-CALB (wt.%) 2 | Yield of n-Butyl Acrylate (%) 3 |
|---|---|---|---|---|
| 1:0.5 | acetonitrile | 1.8 | 4.2 | 99 |
| 1:0.5 | methanol | 1.1 | 4.3 | 84 |
| 1:0.5 | THF | 2.4 | 3.1 | 54 |
| 1:1.0 | acetonitrile | 3.0 | 1.2 | 97 |
| 1:0.2 | acetonitrile | 0.8 | 5.4 | 91 |
| 1:0.1 | acetonitrile | 0.6 | 4.4 | 76 |
| Structure of the IL/Biocatalyst Name | IL Content in CNTs-IL (wt. %) 1 | IL Content in CNTs-IL (µmol per 1 g of Support) 1 | CALB Content in CNTs-IL-CALB (wt.%) 1 | Yield of n-Butyl Acrylate (%) 2 |
|---|---|---|---|---|
![]() CNTs-[N(CH3)3GlcOCH3][N(Tf)2]-CALB | 1.8 | 34.4 | 4.2 | 99 |
![]() CNTs-[N(CH3)2(C4H9)GlcOCH3][N(Tf)2]-CALB | 1.6 | 28.8 | 4.2 | 98 |
![]() CNTs-[bmim][N(Tf)2]-CALB | 1.2 | 28.6 | 1.2 | 95 |
![]() CNTs-[empyrr][N(Tf)2]-CALB | 0.8 | 20.3 | 1.7 | 95 |
![]() CNTs-[bmim][N(CN)2]-CALB | 4.0 | 195.1 | 0.2 | 90 |
![]() CNTs-[bmim][OcSO4]-CALB | 2.6 | 77.8 | 0.9 | 99 |
![]() CNTs-[emim][OcSO4]-CALB | 2.6 | 81.2 | 1.6 | 99 |
![]() CNTs-[emim][MeSO4]-CALB | 1.0 | 45.0 | 1.4 | 42 |
![]() CNTs-[emim][Oc2PO4]-CALB | 1.1 | 25.5 | 2.1 | 99 |
![]() CNTs-[emim][Me2PO4]-CALB | 1.7 | 72.0 | 0.7 | 89 |
![]() CNTs-[bmim][Oc2PO4]-CALB | 2.9 | 59.7 | 0.9 | 99 |
![]() CNTs-[bmim][BF4]-CALB | 1.1 | 50.0 | 1.7 | 41 |
![]() CNTs-[bmim]Cl-CALB | 3.3 | 187.5 | 0.3 | 63 |
| CNTs-CALB | - | - | 16.5 | 71 |
| Novozyme 435 | - | - | N/A | 74 |
| Amount of CNTs-IL-CALB (g) | AA:n-BuOH Molar Ratio | Temp. (°C) | Yield of n-Butyl Acrylate (%) 1 |
|---|---|---|---|
| 0.020 | 1:2 | 25 | 9 |
| 0.050 | 1:2 | 25 | 21 |
| 0.100 | 1:2 | 25 | 63 |
| 0.150 | 1:2 | 25 | 99 |
| 0.200 | 1:2 | 25 | 90 |
| 0.150 | 1:1 | 25 | 92 |
| 0.150 | 1:4 | 25 | 42 |
| 0.150 | 1:8 | 25 | 23 |
| 0.150 | 1:10 2 | 25 | 17 |
| 0.150 | 1:2 | 15 | 78 |
| 0.150 | 1:2 | 45 | 62 |
| Biocatalyst | Reaction | Yield of the Products (%) | Recycle | Ref. |
|---|---|---|---|---|
| CNTs-[N(CH3)3GlcOCH3][N(Tf)2]-CALB | Esterification of Acrylic Acid with n-Butanol | 99 in 24 h | 3 Cycles over 90% of Yield of the Product | This Work |
| Lipase from Chromobacterium viscosum | Transesterification of ethyl acrylate with diols (C3–C6) | 26–91 in 2–14 days | n/a | 7 |
| Novozyme 435 (CALB immobilized) | Transesterification of methyl acrylate with unsaturated fatty alcohols (C11–C18) | 65–94 in 24 h | n/a | 8 |
| Novozyme 435 (CALB immobilized) | Transesterification of ethyl acrylate with n-octanol | 70 | n/a | 9 |
| Novozyme 435 (CALB immobilized) | Transesterification of methyl acrylate with bulky alcohols | n/a | n/a | 11 |
| Novozyme 435 (CALB immobilized) | Esterification of acrylic acid with n-octanol | n/a | n/a | 12 |
| Novozyme 435 (CALB immobilized) | Esterification of acrylic acid with β-methylglucoside | n/a | n/a | 13 |
Publisher’s Note: MDPI stays neutral with regard to jurisdictional claims in published maps and institutional affiliations. |
© 2021 by the authors. Licensee MDPI, Basel, Switzerland. This article is an open access article distributed under the terms and conditions of the Creative Commons Attribution (CC BY) license (https://creativecommons.org/licenses/by/4.0/).
Share and Cite
Szelwicka, A.; Erfurt, K.; Jurczyk, S.; Boncel, S.; Chrobok, A. Outperformance in Acrylation: Supported D-Glucose-Based Ionic Liquid Phase on MWCNTs for Immobilized Lipase B from Candida antarctica as Catalytic System. Materials 2021, 14, 3090. https://doi.org/10.3390/ma14113090
Szelwicka A, Erfurt K, Jurczyk S, Boncel S, Chrobok A. Outperformance in Acrylation: Supported D-Glucose-Based Ionic Liquid Phase on MWCNTs for Immobilized Lipase B from Candida antarctica as Catalytic System. Materials. 2021; 14(11):3090. https://doi.org/10.3390/ma14113090
Chicago/Turabian StyleSzelwicka, Anna, Karol Erfurt, Sebastian Jurczyk, Slawomir Boncel, and Anna Chrobok. 2021. "Outperformance in Acrylation: Supported D-Glucose-Based Ionic Liquid Phase on MWCNTs for Immobilized Lipase B from Candida antarctica as Catalytic System" Materials 14, no. 11: 3090. https://doi.org/10.3390/ma14113090
APA StyleSzelwicka, A., Erfurt, K., Jurczyk, S., Boncel, S., & Chrobok, A. (2021). Outperformance in Acrylation: Supported D-Glucose-Based Ionic Liquid Phase on MWCNTs for Immobilized Lipase B from Candida antarctica as Catalytic System. Materials, 14(11), 3090. https://doi.org/10.3390/ma14113090














