Construction of Oxygen-Rich Carbon Foams for Rapid Carbon Dioxide Capture
Abstract
1. Introduction
2. Materials and Methods
2.1. Reagent
2.2. Preparation of PRF
2.3. Preparation of ACRF
2.4. Characterization
3. Results and Discussion
3.1. Carbonizing Process of ACRFs
3.2. Oxygen in Porous ACRFs
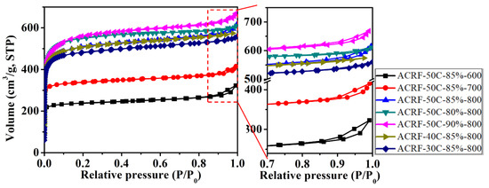
3.3. Porosity of ACRFs
3.4. CO2 Capacity of ACRFs at 1 Bar
3.5. Effect of Oxygen Content on the CO2 Capacities of ACRFs
3.6. Effect of Macropores on CO2 Adsorption Kinetics of ACRFs
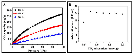
3.7. CO2 Adsorbing Properties of ACRF-40C-85%-800
4. Conclusions
Supplementary Materials
Author Contributions
Funding
Data Availability Statement
Conflicts of Interest
References
- Zeng, Y.; Zou, R.; Zhao, Y. Covalent organic frameworks for CO2 capture. Adv. Mater. 2016, 28, 2855–2873. [Google Scholar] [CrossRef] [PubMed]
- Jiang, Y.; Ling, J.; Xiao, P.; He, Y.; Zha, Q.; Chu, Z.; Liu, Y.; Li, Z.; Webley, P.A. Simultaneous biogas purification and CO2 capture by vacuum swing adsorption using zeolite NaUSY. Chem. Eng. J. 2018, 334, 2593–2602. [Google Scholar] [CrossRef]
- Howarth, A.J.; Peters, A.W.; Vermeulen, N.A.; Wang, T.C.; Hupp, J.T.; Fahar, O.K. Best practices for the synthesis, activation, and characterization of metal–organic frameworks. Chem. Mater. 2016, 29, 26–39. [Google Scholar] [CrossRef]
- Das, S.; Heasman, P.; Ben, T.; Qiu, S. Porous organic materials: Strategic design and structure–function correlation. Chem. Rev. 2016, 117, 1515–1563. [Google Scholar] [CrossRef]
- Xiong, S.; Fu, X.; Xiang, L.; Yu, G.; Guan, J.; Wang, Z.; Du, Y.; Xiong, X.; Pan, C. Liquid acid-catalysed fabrication of nanoporous 1,3,5-triazine frameworks with efficient and selective CO2 uptake. Polym. Chem. 2014, 5, 3424–3431. [Google Scholar] [CrossRef]
- Wang, Y.; Xiong, S.; Li, F.; Tao, J.; Tang, J.; Liu, C.; Yuan, K.; Pan, C.; Yu, G.; Liu, Y. Flexible Ketone-bridged organic porous nanospheres: Promoting porosity utilizing intramolecular hydrogen-bonding effects for effective gas separation. Chem. Eng. J. 2019, 358, 1383–1389. [Google Scholar] [CrossRef]
- David, S.-T.; Léonard, A.F.; Stergiopoulos, V.; Busby, Y.; Pireaux, J.-J.; Job, N. Effect of nitrogen doping on the pore texture of carbon xerogels based on resorcinol-melamine-formaldehyde precursors. Microporous Mesoporous Mater. 2018, 256, 190–198. [Google Scholar]
- Lee, J.-S.M.; Briggs, M.E.; Hasell, T.; Cooper, A.I. Hyperporous carbons from hypercrosslinked polymers. Adv. Mater. 2016, 28, 9804–9810. [Google Scholar] [CrossRef]
- Shao, L.; Sang, Y.; Huang, J.; Liu, Y.-N. Triazine-based hyper-cross-linked polymers with inorganic-organic hybrid framework derived porous carbons for CO2 capture. Chem. Eng. J. 2018, 353, 1–14. [Google Scholar] [CrossRef]
- Peng, A.; Qi, S.; Liu, X.; Xue, D.; Peng, S.; Yu, G.; Liu, X.; Sun, L. Fabrication of N-doped porous carbons for enhanced CO2 capture: Rational design of an ammoniated polymer precursor. Chem. Eng. J. 2019, 369, 170–179. [Google Scholar] [CrossRef]
- Peng, A.; Qi, S.; Liu, X.; Xue, D.; Peng, S.; Yu, G.; Liu, X.; Sun, L. N-doped porous carbons derived from a polymer precursor with a record-high N content: Efficient adsorbents for CO2 capture. Chem. Eng. J. 2019, 372, 656–664. [Google Scholar] [CrossRef]
- Chen, C.; Huang, H.; Yu, Y.; Shi, J.; He, C.; Albilali, R.; Pan, H. Template-free synthesis of hierarchical porous carbon with controlled morphology for CO2 efficient capture. Chem. Eng. J. 2018, 353, 584–594. [Google Scholar] [CrossRef]
- Bing, X.; Wei, Y.; Wang, M.; Xu, S.; Long, D.; Wang, J.; Qiao, W.; Ling, L. Template-free synthesis of nitrogen-doped hierarchical porous carbons for CO2 adsorption and supercapacitor electrodes. J. Colloid Interface Sci. 2016, 488, 207–217. [Google Scholar] [CrossRef] [PubMed]
- Tian, W.; Zhang, H.; Sun, H.; Tadé, M.O.; Wang, S. One-step synthesis of flour-derived functional nanocarbons with hierarchical pores for versatile environmental applications. Chem. Eng. J. 2018, 347, 432–439. [Google Scholar] [CrossRef]
- Singh, J.; Bhunia, H.; Basu, S. Synthesis of sulphur enriched carbon monoliths for dynamic CO2 capture. Chem. Eng. J. 2019, 374, 1–9. [Google Scholar] [CrossRef]
- Kutorglo, E.M.; Hassouna, F.; Beltzung, A.; Kopecký, D.; Sedlářová, I.; Šoóš, M. Nitrogen-rich hierarchically porous polyaniline-based adsorbents for carbon dioxide (CO2) capture. Chem. Eng. J. 2019, 360, 1199–1212. [Google Scholar] [CrossRef]
- Zhang, S.; Fan, X.; Zhang, F.; Zhu, Y.; Chen, J. Synthesis of emulsion-templated magnetic porous hydrogel beads and their application for catalyst of fenton reaction. Langmuir 2018, 34, 3669–3677. [Google Scholar] [CrossRef]
- Zhang, N.; Zhou, Y.; Zhang, Y.; Jiang, W.; Wang, T.; Fu, J. Dual-templating synthesis of compressible and superhydrophobic spongy polystyrene for oil capture. Chem. Eng. J. 2018, 354, 245–253. [Google Scholar] [CrossRef]
- Azhar, U.; Huyan, C.; Wan, X.; Xu, A.; Li, H.; Geng, B.; Zhang, S. A cationic fluorosurfactant for fabrication of high-performance fluoropolymer foams with controllable morphology. Mater. Des. 2017, 124, 194–202. [Google Scholar] [CrossRef]
- Sethia1, G.; Sayari, A. Activated carbon with optimum pore size distribution for hydrogen storage. Carbon 2016, 99, 289–294. [Google Scholar] [CrossRef]
- Bedin, K.C.; Martins, A.C.; Cazetta, A.L.; Pezoti, O.; Almeida, V.C. KOH-activated carbon prepared from sucrose spherical carbon: Adsorption equilibrium, kinetic and thermodynamic studies for Methylene Blue removal. Chem. Eng. J. 2016, 286, 476–484. [Google Scholar] [CrossRef]
- Alabadi, A.; Razzaque, S.; Yang, Y.; Chen, S.; Tan, B. Highly porous activated carbon materials from carbonized biomass with high CO2 capturing capacity. Chem. Eng. J. 2016, 281, 606–612. [Google Scholar] [CrossRef]
- Liu, J.; Li, H.; Zhang, H.; Liu, Q.; Li, R.; Li, B.; Wang, J. Three-dimensional hierarchical and interconnected honeycomb-like porous carbon derived from pomelo peel for high performance supercapacitors. J. Solid State Chem. 2018, 257, 64–71. [Google Scholar] [CrossRef]
- Lillo-Ródenas, M.A.; Cazorla-Amorós, D.; Linares-Solano, A. Understanding chemical reactions between carbons and NaOH and KOH: An insight into the chemical activation mechanism. Carbon 2003, 41, 267–275. [Google Scholar] [CrossRef]
- Liu, Z.; Du, Z.; Zou, W.; Mi, J.; Li, H.; Wang, Y.; Zhang, C. Moisture-resistant porous polymer from concentrated emulsion as low-cost and high-capacity sorbent for CO2 capture. RSC Adv. 2013, 3, 18849–18856. [Google Scholar] [CrossRef]
- Zhang, X.; Zou, W.; Du, Z.; Li, H.; Li, S.; Liu, M.; Zhang, C.; Guo, W. Fabrication of porous polyurethane monoliths on strengthening interface of concentrated emulsion polymerization. Mater. Chem. Phys. 2015, 164, 78–84. [Google Scholar] [CrossRef]
- Woodward, R.T.; Fam, D.W.; Anthony, D.B.; Hong, J.; McDonald, T.O.; Petit, C.; Shaffer, M.S.P.; Bismarck, A. Hierarchically porous carbon foams from pickering high internal phase emulsions. Carbon 2016, 101, 253–260. [Google Scholar] [CrossRef]
- Sing, K.S. Reporting physisorption data for gas/solid systems with special reference to the determination of surface area and porosity (Recommendations 1984). Pure Appl. Chem. 1985, 57, 603–619. [Google Scholar] [CrossRef]
- Lin, Y.; Chen, Z.; Yu, C.; Zhong, W. Heteroatom-doped sheet-like and hierarchical porous carbon based on natural biomass small molecule peach gum for high-performance supercapacitors. ACS Sustain. Chem. Eng. 2019, 7, 3389–3403. [Google Scholar] [CrossRef]
- Ren, X.; Li, H.; Chen, J.; Wei, L.; Modak, A.; Yang, H.; Yang, Q. N-doped porous carbons with exceptionally high CO2 selectivity for CO2 capture. Carbon 2017, 114, 473–481. [Google Scholar] [CrossRef]
- Gu, S.; He, J.; Zhu, Y.; Wang, Z.; Chen, D.; Yu, G.; Pan, C.; Guan, J.; Tao, K. Facile carbonization of microporous organic polymers into hierarchically porous carbons targeted for effective CO2 uptake at low pressures. ACS Appl. Mater. Interfaces 2016, 8, 18383–18392. [Google Scholar] [CrossRef] [PubMed]
- He, J.; To, J.W.; Psarras, P.C.; Yan, H.; Atkinson, T.; Holmes, R.T.; Nordlund, D.; Bao, Z.; Wilcox, J. Tunable polyaniline-based porous carbon with ultrahigh surface area for CO2 capture at elevated pressure. Adv. Energy Mater. 2016, 6, 1502491. [Google Scholar] [CrossRef]
- Zhu, X.; Tian, C.; Veith, G.M.; Abney, C.W.; Dehaudt, J.; Dai, S. In situ doping strategy for the preparation of conjugated triazine frameworks displaying efficient CO2 capture performance. J. Am. Chem. Soc. 2016, 136, 11497–11500. [Google Scholar] [CrossRef] [PubMed]
- Chen, W.; Wang, X.; Hashisho, Z.; Feizbakhshan, M.; Shariaty, P.; Niknaddaf, S.; Zhou, X. Template-free and fast one-step synthesis from enzymatic hydrolysis lignin to hierarchical porous carbon for CO2 capture. Microporous Mesoporous Mater. 2019, 280, 57–65. [Google Scholar] [CrossRef]
- Yuan, M.; Gao, G.; Hu, X.; Luo, X.; Huang, Y.; Jin, B.; Liang, Z. Premodified sepiolite functionalized with triethylenetetramine as an effective and inexpensive adsorbent for CO2 capture. Ind. Eng. Chem. Res. 2018, 57, 6189–6200. [Google Scholar] [CrossRef]
- Ruthven, D.M.; Farooq, S.; Knaebel, K.S. Pressure Swing Adsorption; VCH: New York, NY, USA, 1994. [Google Scholar]
- Kuang, W.; Liu, Y.N.; Huang, J. Phenol-modified hyper-cross-linked resins with almost all micro/mesopores and their adsorption to aniline. J. Colloid Interfaces Sci. 2017, 487, 31–37. [Google Scholar] [CrossRef] [PubMed]
- Myers, A.L.; Prausnitz, J.M. Thermodynamics of mixed-gas adsorption. AlChE J. 1965, 11, 121–127. [Google Scholar] [CrossRef]
- Kaur, B.; Gupta, R.K.; Bhunia, H. Chemically activated nanoporous carbon adsorbents from waste plastic for CO2 capture: Breakthrough adsorption study. Microporous Mesoporous Mater. 2019, 282, 146–158. [Google Scholar] [CrossRef]
- Wang, Q.; Liu, Y.; Chen, J.; Du, Z.; Mi, J. Control of uniform and interconnected macroporous structure in polyHIPE for enhanced CO2 adsorption/desorption kinetics. Environ. Sci. Technol. 2016, 50, 7879–7888. [Google Scholar] [CrossRef]












| Carbon Foam | Specific Surface Areas 1 m2/g | Total Pore Volume 2 cm3/g | Micropore Volume 3 cm3/g | Ultra–Micropore Volume 3 cm3/g | Micropore Volume/Total Pore Volume | CO2 Capacity 4 mg/g |
|---|---|---|---|---|---|---|
| ACRF-50C-85%-600 | 879 | 0.433 | 0.349 | 0.333 | 0.806 | 214 |
| ACRF-50C-85%-700 | 1237 | 0.558 | 0.489 | 0.466 | 0.876 | 248 |
| ACRF-50C-85%-800 | 1952 | 0.830 | 0.742 | 0.606 | 0.894 | 267 |
| ACRF-50C-80%-800 | 2024 | 0.827 | 0.796 | 0.657 | 0.963 | 269 |
| ACRF-50C-90%-800 | 2046 | 0.900 | 0.817 | 0.635 | 0.908 | 271 |
| ACRF-40C-85%-800 | 1944 | 0.783 | 0.737 | 0.616 | 0.941 | 271 |
| ACRF-30C-85%-800 | 1871 | 0.771 | 0.713 | 0.633 | 0.925 | 270 |
| Sample | Pseudo-First-Order Model | Pseudo-Second-Order model | ||
|---|---|---|---|---|
| ACRF-40C-85%-800 | qe (mg/g) | 87.8 | qe (mg/g) | 102 |
| k1 (min−1) | 0.544 | k2 (min−1) | 0.00655 | |
| R2 | 0.994 | R2 | 0.975 | |
Publisher’s Note: MDPI stays neutral with regard to jurisdictional claims in published maps and institutional affiliations. |
© 2020 by the authors. Licensee MDPI, Basel, Switzerland. This article is an open access article distributed under the terms and conditions of the Creative Commons Attribution (CC BY) license (http://creativecommons.org/licenses/by/4.0/).
Share and Cite
Duan, C.; Zou, W.; Du, Z.; Mi, J.; Han, J.; Zhang, C. Construction of Oxygen-Rich Carbon Foams for Rapid Carbon Dioxide Capture. Materials 2021, 14, 173. https://doi.org/10.3390/ma14010173
Duan C, Zou W, Du Z, Mi J, Han J, Zhang C. Construction of Oxygen-Rich Carbon Foams for Rapid Carbon Dioxide Capture. Materials. 2021; 14(1):173. https://doi.org/10.3390/ma14010173
Chicago/Turabian StyleDuan, Cheng, Wei Zou, Zhongjie Du, Jianguo Mi, Jiaxi Han, and Chen Zhang. 2021. "Construction of Oxygen-Rich Carbon Foams for Rapid Carbon Dioxide Capture" Materials 14, no. 1: 173. https://doi.org/10.3390/ma14010173
APA StyleDuan, C., Zou, W., Du, Z., Mi, J., Han, J., & Zhang, C. (2021). Construction of Oxygen-Rich Carbon Foams for Rapid Carbon Dioxide Capture. Materials, 14(1), 173. https://doi.org/10.3390/ma14010173

