Band Gaps and Transmission Characteristics Analysis on a Two-Dimensional Multiple-Scatter Phononic Crystal Structure
Abstract
1. Introduction
2. The Analysis of Single-Scattering Prototype
3. Comparison of 2D Wrap-Around Multiple-Scatter PC Structure
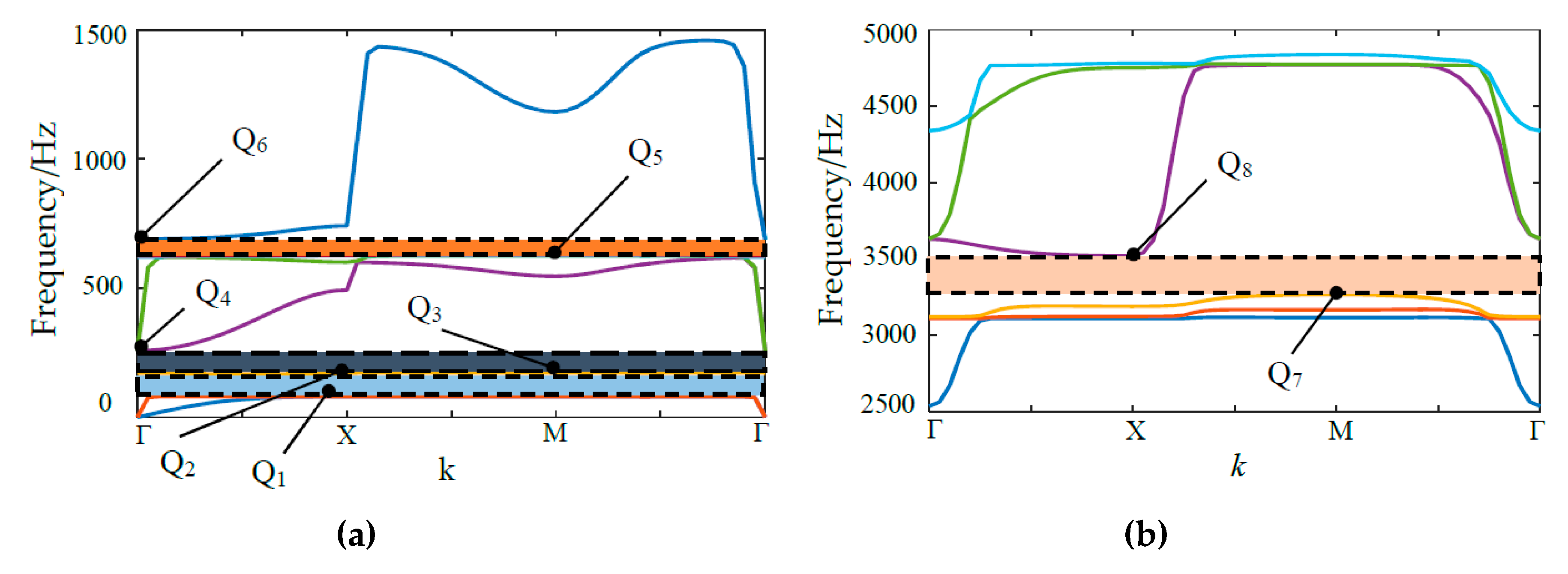
4. The Regular Pattern of Size Ratio on the 2 × 2 Model
5. Research on the Number of Connection Beams
6. Conclusions
Author Contributions
Funding
Acknowledgments
Conflicts of Interest
References
- Kushwaha, M.S.; Halevi, P.; Martínez, G.; Dobrzynski, L.; Djafari-Rouhani, B. Theory of acoustic band structure of periodic elastic composites. Phys. Rev. B 1994, 49, 2313. [Google Scholar] [CrossRef]
- Kushwaha, M.S.; Halevi, P.; Dobrzynsi, L.; Diafari-Rouhani, B. Acoustic band structure of periodic elastic composites. Phys. Rev. Lett. 1993, 71, 2022–2025. [Google Scholar] [CrossRef] [PubMed]
- Tanaka, Y.; Tamura, S.I. Surface acoustic waves in two-dimensional periodic elastic structures. Phys. Rev. B 1998, 58, 7958–7965. [Google Scholar] [CrossRef]
- Wang, G.; Yu, D.; Wen, J.; Liu, Y.; Wen, X. One-dimensional phononic crystals with locally resonant structures. Phys. Lett. A 2004, 327, 512–521. [Google Scholar] [CrossRef]
- Li, Y.F.; Huang, X.D.; Zhou, S.W. Topological design of cellular phononic band gap crystals. Materials 2016, 9, 186. [Google Scholar] [CrossRef]
- Wormser, M.; Wein, F.; Stingl, M.; Körner, C. Design and additive manufacturing of 3D phononic band gap structures based on gradient based optimization. Materials 2017, 10, 1125. [Google Scholar] [CrossRef]
- Hedayatrasa, S.; Kersemans, M.; Abhary, K.; Paepegem, W.V. Introducing obliquely perforated phononic plates for enhanced bandgap efficiency. Materials 2018, 11, 1309. [Google Scholar] [CrossRef]
- Elmadih, W.; Syam, W.P.; Maskery, L.; Chronopoulos, D.; Leach, R. Multidimensional phononic bandgaps in three-dimensional lattices for additive manufacturing. Materials 2019, 12, 1878. [Google Scholar] [CrossRef]
- Goffaux, C.; Sánchez-Dehesa, J. Two-dimensional phononic crystals studied using a variational method: Application to lattices of locally resonant materials. Phys. Rev. B 2003, 67, 144301. [Google Scholar] [CrossRef]
- Mohammadi, S.; Eftekhar, A.A.; Khelif, A.; Hunt, W.D.; Adibi, A. Evidence of large high frequency complete phononic band gaps in silicon phononic crystal plates. Appl. Phys. Lett. 2008, 92, 221905. [Google Scholar] [CrossRef]
- Oudich, M.; Badreddine-Assouar, M. Surface acoustic wave band gaps in a diamond-based two-dimensional locally resonant phononic crystal for high frequency applications. J. Appl. Phys. 2012, 111, 014504. [Google Scholar] [CrossRef]
- Liu, Z.Y.; Zhang, X.; Mao, Y.; Zhu, Y.Y.; Yang, Z.; Chan, C.T.; Sheng, P. Locally Resonant Sonic Materials. Science 2000, 289, 1734–1736. [Google Scholar] [CrossRef] [PubMed]
- Liu, Z.Y.; Chan, C.T.; Sheng, P. Analytic model of phononic crystals with local resonances. Phys. Rev. B 2005, 71, 014103. [Google Scholar] [CrossRef]
- Liu, M.; Xiang, J.W.; Gao, H.F.; Jiang, Y.Y.; Zhou, Y.Q.; Li, F.P. Research on band structure of one-dimensional phononic crystals based on wavelet finite element method. CMES-Comp. Model. Eng. 2014, 97, 425–436. [Google Scholar]
- Liu, C.R.; Wu, J.H.; Lu, K.; Zhao, Z.T.; Huang, Z. Acoustical siphon effect for reducing the thickness in membrane-type metamaterials with low-frequency broadband absorption. Appl. Acoust. 2019, 148, 1–8. [Google Scholar] [CrossRef]
- Liang, X.; Wu, J.H.; Zhou, G.J. Quantitative analysis for acoustic characteristics of porous metal materials by improved Kolmogorov’s turbulence. Appl. Acoust. 2018, 130, 210–215. [Google Scholar] [CrossRef]
- Guan, D.; Wu, J.H.; Wu, J.L.; Li, J.; Zhao, W.T. Acoustic performance of aluminum foams with semiopen cells. Appl. Acoust. 2015, 87, 103–108. [Google Scholar] [CrossRef]
- Sun, F.G.; Chen, H.L.; Wu, J.H.; Feng, K. Sound absorbing characteristics of fibrous metal materials at high temperatures. Appl. Acoust. 2010, 71, 221–235. [Google Scholar] [CrossRef]
- Lu, K.; Wu, J.; Jing, L.; Guan, D. Flexural vibration bandgaps in local resonance beam with a novel two-degree-of-freedom local resonance system. Eur. Phys. J. Appl. Phys. 2017, 77, 20501. [Google Scholar] [CrossRef]
- Zhai, H.; Xiang, H.; Ma, X.; Xiang, J. Optimization scheme of geometric parameters for a 2D locally resonant phononic crystal structure. Jpn. J. Appl. Phys. 2019, 58, 051001. [Google Scholar] [CrossRef]
- Li, C.; Han, X.-Y. Study of the band-structure and the uncoupled modes in two-dimensional phononic crystals with the multiple-scatter theory. Acta. Phys. Sin. 2006, 55, 5866–5871. [Google Scholar]
- Mei, J.; Liu, Z.Y.; Qiu, C.Y. Multiple-scatter theory for out-of-plane propagation of elastic waves in two-dimensional phononic crystals. J. Phys.-Condens. Mat. 2005, 17, 3735–3757. [Google Scholar] [CrossRef] [PubMed]
- Sainidou, R.; Stefanou, N.; Psarobas, I.E.; Modinos, A. A layer-multiple-scatter method for phononic crystals and hetero structures of such. Comput. Phys. Commun. 2005, 166, 197–240. [Google Scholar] [CrossRef]
- Liu, M.; Xiang, J.W.; Zhong, Y.T. Band structures analysis method of two dimensional phononic crystals using wavelet-based element. Crystals 2017, 7, 328. [Google Scholar] [CrossRef]
- Liu, M.; Xiang, J.W.; Zhong, Y.T. The band gap and transmission characteristics investigation of local resonant quaternary phononic crystals with periodic coating. Appl. Acoust. 2015, 100, 10–17. [Google Scholar] [CrossRef]
- Xiang, H.; Ma, X.F.; Xiang, J.W. Optimization for a locally resonant phononic crystal of square spiral with circle inside. IEEE Access 2019, 7, 145988–145995. [Google Scholar] [CrossRef]
- Zhai, H.F.; Xiang, H.; Ma, X.F.; Xiang, J.W. Optimal band gaps of a spiral structure based on locally resonant phononic crystals. Int. J. Mod. Phys. B 2019, 33, 1950256. [Google Scholar] [CrossRef]
- Zhai, H.F.; Xiang, H.; Ma, X.F.; Xiang, J.W. Structural parameters optimization of a comb-like structure using locally resonant phononic crystals. Mod. Phys. Lett. B 2019, 33, 1950312. [Google Scholar] [CrossRef]
- Hou, Z.; Assouar, B.M. Numerical investigation of the propagation of elastic wave modes in a one-dimensional phononic crystal plate coated on a uniform substrate. J. Phys. D Appl. Phys. 2009, 42, 085103. [Google Scholar] [CrossRef]
- Romero-Garcia, V.; Krynkin, A.; Garcia-Raffi, L.M.; Umnova, O.; Sanchez-Perez, J.V. Multi-resonant scatterers in sonic crystals: Locally multi-resonant acoustic metamaterial. J. Sound. Vib. 2013, 332, 184–198. [Google Scholar] [CrossRef]
- Zhang, Y.; Wen, J.H.; Zhao, H.G.; Yu, D.L.; Cai, L.; Wen, X.S. Sound insulation property of membrane-type acoustic metamaterials carrying different masses at adjacent cells. J. Appl. Phys. 2013, 114, 063515. [Google Scholar] [CrossRef]















| Materials | Density (ρ) (Kg/m) | Young’s Modules(E) Pa | Poisson’s Ratio (ν) |
|---|---|---|---|
| PA6 | 1180 | 2.32 × 109 | 0.39 |
| Piezoelectric Ceramic | 7500 | 76.5 × 109 | 0.32 |
© 2020 by the authors. Licensee MDPI, Basel, Switzerland. This article is an open access article distributed under the terms and conditions of the Creative Commons Attribution (CC BY) license (http://creativecommons.org/licenses/by/4.0/).
Share and Cite
Xiang, H.; Ma, X.; Xiang, J. Band Gaps and Transmission Characteristics Analysis on a Two-Dimensional Multiple-Scatter Phononic Crystal Structure. Materials 2020, 13, 2106. https://doi.org/10.3390/ma13092106
Xiang H, Ma X, Xiang J. Band Gaps and Transmission Characteristics Analysis on a Two-Dimensional Multiple-Scatter Phononic Crystal Structure. Materials. 2020; 13(9):2106. https://doi.org/10.3390/ma13092106
Chicago/Turabian StyleXiang, Hang, Xingfu Ma, and Jiawei Xiang. 2020. "Band Gaps and Transmission Characteristics Analysis on a Two-Dimensional Multiple-Scatter Phononic Crystal Structure" Materials 13, no. 9: 2106. https://doi.org/10.3390/ma13092106
APA StyleXiang, H., Ma, X., & Xiang, J. (2020). Band Gaps and Transmission Characteristics Analysis on a Two-Dimensional Multiple-Scatter Phononic Crystal Structure. Materials, 13(9), 2106. https://doi.org/10.3390/ma13092106

