Mechanical and Damping Properties of Recycled Aggregate Concrete Modified with Air-Entraining Agent and Polypropylene Fiber
Abstract
1. Introduction
2. Materials and Methods
2.1. Raw Materials
2.1.1. Cementitious Materials
2.1.2. Aggregate
2.1.3. Polypropylene Fiber
2.1.4. Admixture
2.2. Mixture Preparation
2.3. Test Methods
3. Results and Discussion
3.1. Static Properties
3.1.1. Compressive Strength
3.1.2. Young’s Modulus
3.1.3. Splitting Tensile Strength
3.2. Dynamic Behavior
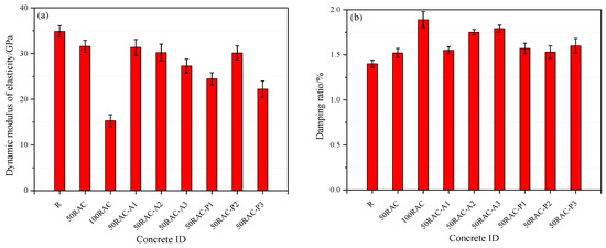
3.2.1. Dynamic Modulus of Elasticity
3.2.2. Damping Ratio
4. Conclusions
- The RCA had a marginal effect on the mechanical properties of RAC with a replacement aggregate percentage of 50% (reduced by approximately 5%). However, the mechanical properties of the RAC with 100% replacement aggregate were significantly affected (approximately decreased by 40%) than those of the reference concrete.
- The addition of both AGA and PP adversely affected the mechanical properties of the concrete, and the effect of PP addition on the reduction of the mechanical properties of RAC was stronger than that of AGA addition. The compressive strength and Young’s modulus reduced slightly when the AGA content was below 0.02%.
- The addition of both AGA and PP favorably affected the damping property of the concrete, and the addition of AGA was more effective than that of PP in increasing the damping ratio of the RAC. Furthermore, the AGA and PP contents to achieve the optimum dynamic property of the concrete with the least reduction in the mechanical performance were determined to be 0.02% and 0.10%, respectively.
Author Contributions
Funding
Conflicts of Interest
References
- Lu, D.; Tang, Z.; Zhang, L.; Zhou, J.; Gong, Y.; Tian, Y.; Zhong, J. Effects of combined usage of supplementary cementitious materials on the thermal properties and microstructure of high-performance concrete at high temperatures. Materials 2020, 13, 1833. [Google Scholar] [CrossRef] [PubMed]
- Saavedra, W.G.V.; de Gutiérrez, R.M. Performance of geopolymer concrete composed of fly ash after exposure to elevated temperatures. Constr. Build. Mater. 2017, 154, 229–235. [Google Scholar] [CrossRef]
- Wang, Z.; Li, L.; Zhang, Y.; Wang, W. Bond-slip model considering freeze-thaw damage effect of concrete and its application. Eng. Struct. 2019, 201, 109831. [Google Scholar] [CrossRef]
- Liang, C.; Liu, T.; Xiao, J.; Zou, D.; Yang, Q. The damping property of recycled aggregate concrete. Constr. Build. Mater. 2016, 102, 834–842. [Google Scholar] [CrossRef]
- Long, G.; Yang, J.; Xie, Y. The mechanical characteristics of steam-cured high strength concrete incorporating with lightweight aggregate. Constr. Build. Mater. 2017, 136, 456–464. [Google Scholar] [CrossRef]
- Zhang, Y.; Bicici, E.; Sezen, H.; Zheng, S. Reinforcement slip model considering corrosion effects. Constr. Build. Mater. 2020, 235, 117348. [Google Scholar] [CrossRef]
- Tian, Y.; Shi, S.; Jia, K.; Hu, S. Mechanical and dynamic properties of high strength concrete modified with lightweight aggregates presaturated polymer emulsion. Constr. Build. Mater. 2015, 93, 1151–1156. [Google Scholar] [CrossRef]
- Yoon, J.Y.; Kim, J.H. Mechanical properties of preplaced lightweight aggregates concrete. Constr. Build. Mater. 2019, 216, 440–449. [Google Scholar] [CrossRef]
- Li, W.; Lang, L.; Wang, D.; Wu, Y.; Li, F. Investigation on the dynamic shear modulus and damping ratio of steel slag sand mixtures. Constr. Build. Mater. 2018, 162, 170–180. [Google Scholar] [CrossRef]
- Lin, J.; Hong, J.; Xiao, Y. Dynamic characteristics of 100% cold recycled asphalt mixture using asphalt emulsion and cement. J. Clean. Prod. 2017, 156, 337–344. [Google Scholar] [CrossRef]
- Li, T.; Xiao, J.; Sui, T.; Liang, C.; Li, L. Effect of recycled coarse aggregate to damping variation of concrete. Constr. Build. Mater. 2018, 178, 445–452. [Google Scholar] [CrossRef]
- Wang, C.; Xiao, J.; Wang, C.; Zhang, C. Nonlinear damping and nonlinear responses of recycled aggregate concrete frames under earthquake loading. Eng. Struct. 2019, 201, 109575. [Google Scholar] [CrossRef]
- Giner, V.T.; Ivorra, S.; Baeza, F.J.; Zornoza, E.; Ferrer, B. Silica fume admixture effect on the dynamic properties of concrete. Constr. Build. Mater. 2011, 25, 3272–3277. [Google Scholar] [CrossRef]
- Tang, X.; Yan, X. Acoustic energy absorption properties of fibrous materials: A review. Compos. Appl. Sci. Manuf. 2017, 101, 360–380. [Google Scholar] [CrossRef]
- Cortés, F.; Castillo, G. Comparison between the dynamical properties of polymer concrete and grey cast iron for machine tool applications. Mater. Des. 2007, 28, 1461–1466. [Google Scholar] [CrossRef]
- Scalerandi, M.; Bentahar, M.; Mechri, C. Conditioning and elastic nonlinearity in concrete: Separation of damping and phase contributions. Constr. Build. Mater. 2018, 161, 208–220. [Google Scholar] [CrossRef]
- Liew, K.M.; Kai, M.F.; Zhang, L.W. Mechanical and damping properties of CNT-reinforced cementitious composites. Compos. Struct. 2017, 160, 81–88. [Google Scholar] [CrossRef]
- Bentz, D.P. Influence of internal curing using lightweight aggregates on interfacial transition zone percolation and chloride ingress in cement mortars. Cem. Concr. Compos. 2009, 31, 285–289. [Google Scholar] [CrossRef]
- Jeon, E.B.; Ahn, S.K.; Lee, I.G.; Koh, H.I.; Park, J.; Kim, H.S. Investigation of mechanical/dynamic properties of carbon fiber reinforced polymer concrete for low noise railway slab. Compos. Struct. 2015, 134, 27–35. [Google Scholar] [CrossRef]
- Wang, Z.; Li, L.; Zhang, Y.; Zheng, S. Reinforcement model considering slip effect. Eng. Struct. 2019, 198, 109493. [Google Scholar] [CrossRef]
- Al-Subaihawi, S.; Kolay, C.; Marullo, T.; Ricles, J.M.; Quiel, S.E. Assessment of wind-Induced vibration mitigation in a tall building with damped outriggers using real-time hybrid simulations. Eng. Struct. 2020, 205, 110044. [Google Scholar] [CrossRef]
- Fracois, D.L.; Horacio, C. Concrete Recycling: Research and Practice; CRC Press: Boca Raton, FL, USA, 2019; ISBN 9781138724723. [Google Scholar]
- Liu, W.H.; Li, H.; Zhu, H.M.; Xu, P.J. The Interfacial Adhesion Performance and Mechanism of a Modified Asphalt–Steel Slag Aggregate. Materials 2020, 13, 1180. [Google Scholar] [CrossRef] [PubMed]
- China Architecture and Building. Common Portland Cement (GB175-2007); China Architecture and Building Press: Beijing, China, 2007. (In Chinese) [Google Scholar]
- China Architecture and Building. Fly Ash Used for Cement and Concrete (GB/T1596-2005); China Architecture and Building Press: Beijing, China, 2005. (In Chinese) [Google Scholar]
- China Architecture and Building. Sand for Construction (GB/T 14684-2011); China Architecture and Building Press: Beijing, China, 2011. (In Chinese) [Google Scholar]
- China Architecture and Building. Pebble and Crushed Stone for Construction (GB/T14685-2011); China Architecture and Building Press: Beijing, China, 2011. (In Chinese) [Google Scholar]
- China Architecture and Building. Standard for Test Method of Mechanical Properties on Ordinary Concrete (GB/T 50081-2002); China Architecture and Building Press: Beijing, China, 2002. (In Chinese) [Google Scholar]
- China Architecture and Building. Standard for Test Method of Long-term Performance and Durability of Ordinary Concrete (GB/T 50082-2009); China Architecture and Building Press: Beijing, China, 2009. (In Chinese) [Google Scholar]
- Papagiannopoulos, G.A.; Hatzigeorgiou, G.D. On the Use of the Half-Power Bandwidth Method to Estimate Damping in Building Structures. Soil Dyn. Earthq. Eng. 2011, 31, 1075–1079. [Google Scholar] [CrossRef]
- Xuan, D.G.; Zhan, B.J.; Poon, C.S. Durability of Recycled Aggregate Concrete Prepared with Carbonated Recycled Concrete Aggregates. Cem. Concr. Compos. 2017, 84, 214–221. [Google Scholar] [CrossRef]










| Chemical Composition (wt.%) | Primary Physical Properties | |||||||||
|---|---|---|---|---|---|---|---|---|---|---|
| CaO | SiO2 | Al2O3 | Fe2O3 | SO3 | MgO | Na2O | K2O | Specific Surface Area (m2/kg) | Specific Gravity (kg/m3) | LOI (Loss on Ignition, %) | 
| 61.89 | 18.73 | 5.88 | 3.37 | 2.08 | 3.24 | 0.31 | 0.15 | 360 | 3170 | 3.03 | 
| SiO2 | Al2O3 | Fe2O3 | CaO | K2O | Na2O | MgO | SO3 | ZnO | TiO2 | P2O5 | 
|---|---|---|---|---|---|---|---|---|---|---|
| 49.72 | 31.09 | 6.04 | 3.81 | 0.41 | 0.17 | 1.53 | 1.49 | 0.08 | 2.58 | 0.42 | 
| Type | Water Absorption (%) | Crushing Value Index (%) | Apparent Density (kg/m3) | Bulk Density (kg/m3) | 
|---|---|---|---|---|
| NCA | 1.06 | 9.80 | 2561 | 1380 | 
| RCA | 5.48 | 15.7 | 2509 | 1253 | 
| Diameter (µm) | Density (kg/m3) | Tensile Strength (MPa) | Elastic Modulus (GPa) | Elongation (%) | 
|---|---|---|---|---|
| 15–40 | 920 | 450 | 3.81 | 20 | 
| Concrete ID | Cement | FA | RS | NCA | RCA | Water (Additional Water) | PP | SP | AGA | 
|---|---|---|---|---|---|---|---|---|---|
| R | 280 | 70 | 640 | 1040 | 0 | 175 (0) | 0 | 3.5 | 0 | 
| Concrete ID | NCA (%) | RCA (%) | PP (%) | AGA (%) | SP(%) | Water (Additional Water) (kg/m3) | 
|---|---|---|---|---|---|---|
| R | 100 | 0 | 0 | 0 | 1 | 175 (0) | 
| 50RAC | 50 | 50 | 0 | 0 | 1 | 175 (23.2) | 
| 100RAC | 0 | 100 | 0 | 0 | 1 | 175 (46.4) | 
| 50RAC-A1 | 50 | 50 | 0 | 0.01 | 1 | 175 (23.2) | 
| 50RAC-A2 | 50 | 50 | 0 | 0.02 | 1 | 175 (23.2) | 
| 50RAC-A3 | 50 | 50 | 0 | 0.03 | 1 | 175 (23.2) | 
| 50RAC-P1 | 50 | 50 | 0.1 | 0 | 1 | 175 (23.2) | 
| 50RAC-P2 | 50 | 50 | 0.5 | 0 | 1 | 175 (23.2) | 
| 50RAC-P3 | 50 | 50 | 1.0 | 0 | 1 | 175 (23.2) | 
© 2020 by the authors. Licensee MDPI, Basel, Switzerland. This article is an open access article distributed under the terms and conditions of the Creative Commons Attribution (CC BY) license (http://creativecommons.org/licenses/by/4.0/).
Share and Cite
Zhou, C.; Pei, X.; Li, W.; Liu, Y. Mechanical and Damping Properties of Recycled Aggregate Concrete Modified with Air-Entraining Agent and Polypropylene Fiber. Materials 2020, 13, 2004. https://doi.org/10.3390/ma13082004
Zhou C, Pei X, Li W, Liu Y. Mechanical and Damping Properties of Recycled Aggregate Concrete Modified with Air-Entraining Agent and Polypropylene Fiber. Materials. 2020; 13(8):2004. https://doi.org/10.3390/ma13082004
Chicago/Turabian StyleZhou, Chonggang, Xingwang Pei, Wenlong Li, and Yijun Liu. 2020. "Mechanical and Damping Properties of Recycled Aggregate Concrete Modified with Air-Entraining Agent and Polypropylene Fiber" Materials 13, no. 8: 2004. https://doi.org/10.3390/ma13082004
APA StyleZhou, C., Pei, X., Li, W., & Liu, Y. (2020). Mechanical and Damping Properties of Recycled Aggregate Concrete Modified with Air-Entraining Agent and Polypropylene Fiber. Materials, 13(8), 2004. https://doi.org/10.3390/ma13082004
 
        
 
       