An Investigation on the Sound Absorption Performance of Granular Molecular Sieves under Room Temperature and Pressure
Abstract
1. Introduction
2. Acoustic Measurement of Molecular Sieve Pellets
2.1. Experimental Equipment and Samples
2.2. Measured Sound Absorption of Molecular Sieve Pellets with Different Pore Size
2.3. Measured Sound Absorption of Molecular Sieve Pellets with Different Thickness
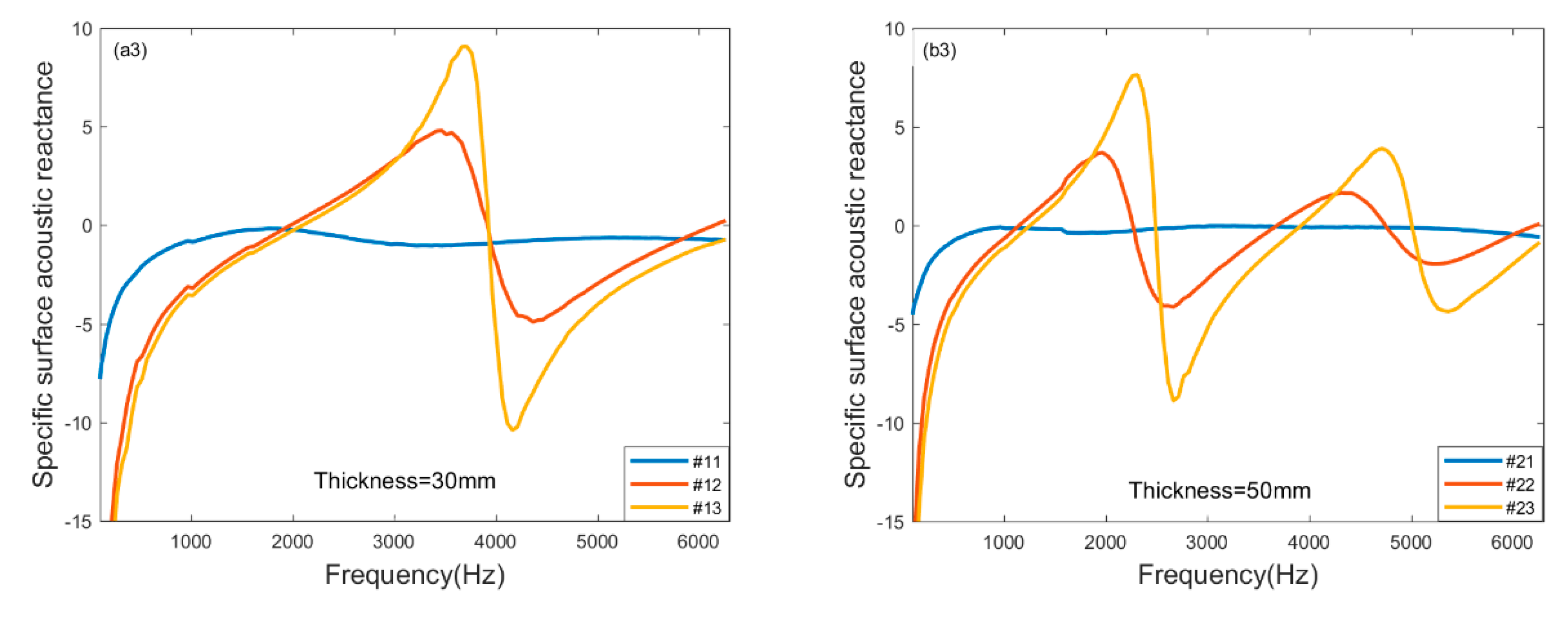
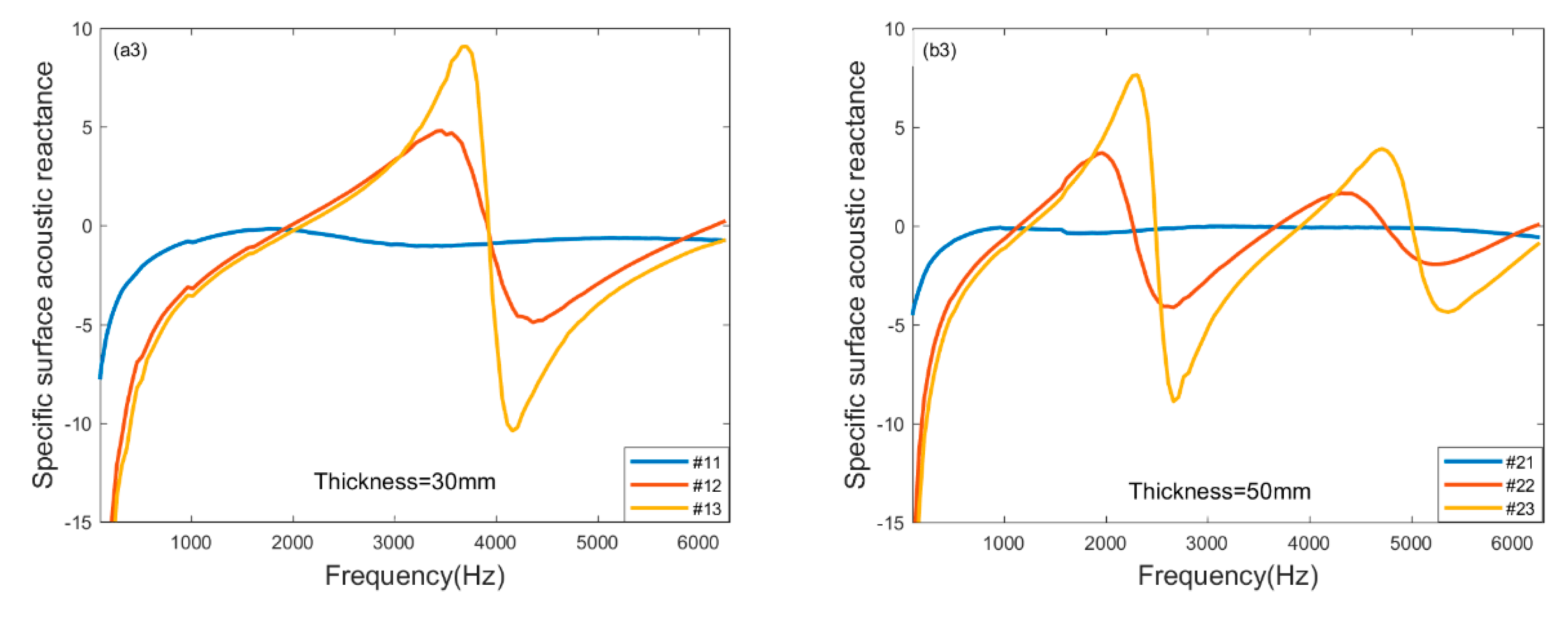
2.4. Measured Sound Absorption of Molecular Sieve Pellets with Different Pellet Sizes
3. JCA model and Inverse Parameters Estimation
3.1. Theoretical Model
3.2. Inversion of Non-Acoustic Parameters
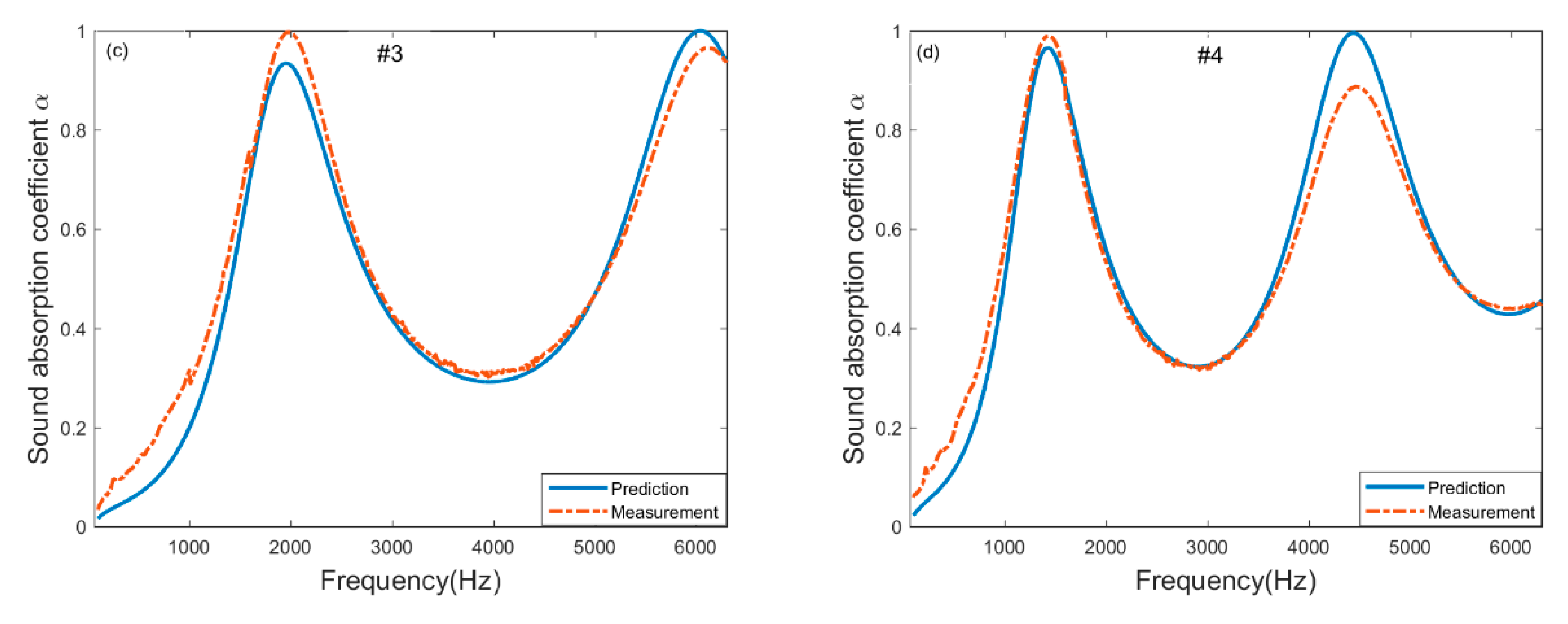
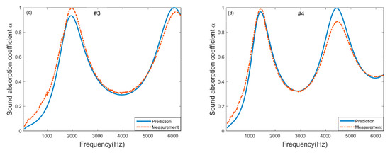
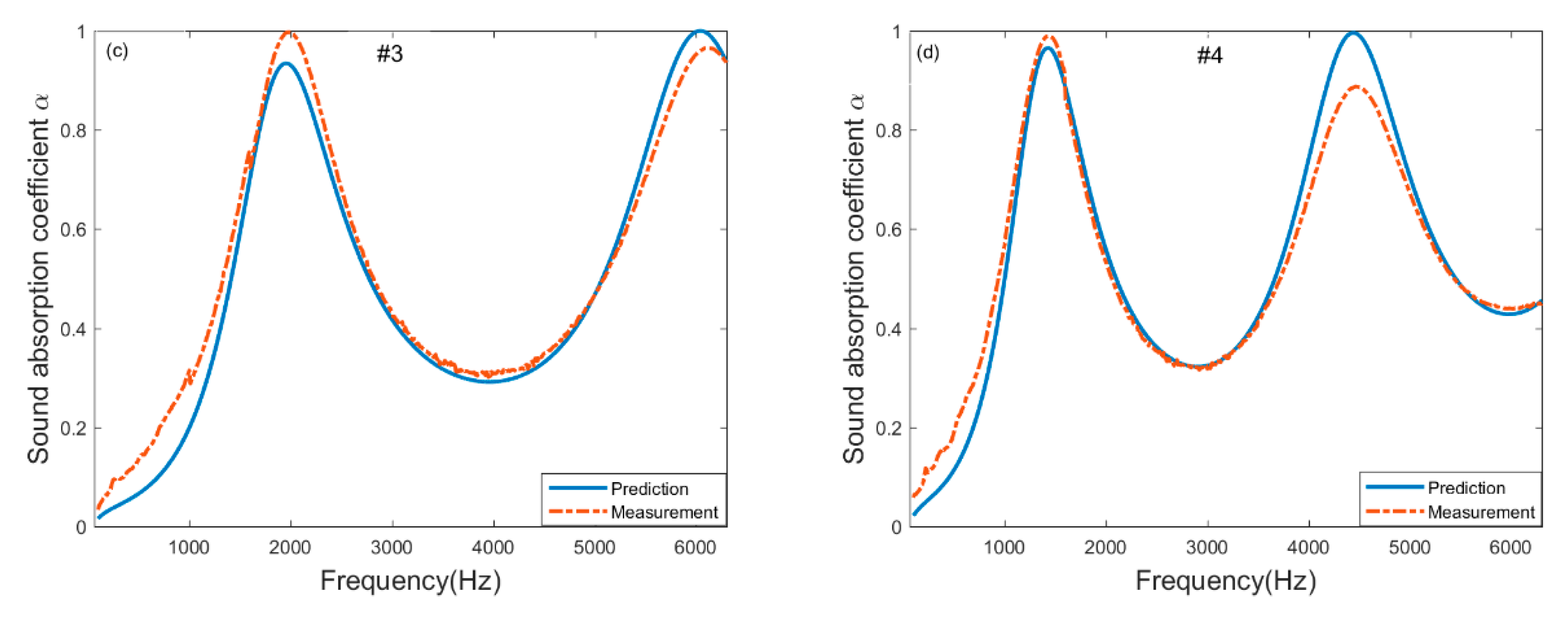
3.3. Validation
4. Conclusions
Author Contributions
Funding
Acknowledgments
Conflicts of Interest
References
- Cao, L.; Qiuxia, F.; Yang, S.; Bin, D.; Jianyong, Y. Porous materials for sound absorption. Compos. Commun. 2018, 10, 25–35. [Google Scholar] [CrossRef]
- Kidner, M.R.; Hansen, C.H. A comparison and review of theories of the acoustics of porous materials. Int. J. Acoust. Vib. 2008, 13, 112–119. [Google Scholar]
- Arenas, J.P.; Crocker, M.J. Recent trends in porous sound-absorbing materials. Sound Vibr. 2010, 44, 12–18. [Google Scholar]
- Pfretzschner, J.; Rodriguez, R.M. Acoustic properties of rubber crumbs. Polym. Test. 1999, 18, 81–92. [Google Scholar] [CrossRef]
- Voronina, N.; Horoshenkov, K. A new empirical model for the acoustic properties of loose granular media. Appl. Acoust. 2003, 64, 415–432. [Google Scholar] [CrossRef]
- Mohammed, G.; Benayad, C. Sound Absorption Measurements and Numerical Estimation of Non Acoustical Parameters of some Moroccan Raw Green Materials. In Advanced Materials Research; Trans Tech Publications: Bach, Switzerland, 2014; pp. 95–101. [Google Scholar]
- Cobo, P.; Moraes, E.; Simón, F. Inverse estimation of the non-acoustical parameters of loose granular absorbers by Simulated Annealing. Build. Environ. 2015, 94, 859–866. [Google Scholar] [CrossRef]
- Buratti, C.; Merli, F.; Moretti, E. Aerogel-based materials for building applications: Influence of granule size on thermal and acoustic performance. Energy Build. 2017, 152, 472–482. [Google Scholar] [CrossRef]
- Wang, D.; Schacht, A.; Leng, Z.; Leng, C.; Kollmann, J.; Oeser, M. Effects of material composition on mechanical and acoustic performance of poroelastic road surface (PERS). Constr. Build. Mater. 2017, 135, 352–360. [Google Scholar] [CrossRef]
- Oancea, I.; Bujoreanu, C.; Budescu, M.; Benchea, M.; Grădinaru, C.M. Considerations on sound absorption coefficient of sustainable concrete with different waste replacements. J. Clean. Prod. 2018, 203, 301–312. [Google Scholar] [CrossRef]
- Davis, M.E.; Lobo, R.F. Zeolite and molecular sieve synthesis. Chem. Mater. 1992, 4, 756–768. [Google Scholar] [CrossRef]
- Milton, R.M. Molecular Sieve Adsorbents. U.S. Patent 2882243A, 14 April 1959. [Google Scholar]
- Bose, A.G. Loudspeaker System. U.S. Patent 3582553A, 1 June 1971. [Google Scholar]
- Gao, Y.; Kang, X.; Li, J.; Zhang, F.; Kang, N.; Liu, H. Molecular Sieve, Sound Absorbing Material Using the Same, and Speaker. U.S. Patent 16/236336, 7 April 2019. [Google Scholar]
- Philip, B.; Abraham, J.K.; Varadan, V.K.; Natarajan, V.; Jayakumari, V.G. Passive underwater acoustic damping materials with Rho-C rubber–carbon fiber and molecular sieves. Smart Mater. Struct. 2004, 13, N99–N104. [Google Scholar] [CrossRef]
- Zwikker, C.; Kosten, C.W. Sound Absorbing Materials (F. Trendelenburg). Zeitschrift Naturforschung Teil A 1950, 5, 347. [Google Scholar]
- Delany, M.E.; Bazley, E.N. Acoustical properties of fibrous absorbent materials. Appl. Acoust. 1970, 3, 105–116. [Google Scholar] [CrossRef]
- Miki, Y. Acoustical properties of porous materials-Modifications of Delany-Bazley models. J. Acoust. Soc. Jpn. 1990, 11, 19–24. [Google Scholar] [CrossRef]
- Johnson, D.L.; Koplik, J.; Dashen, R. Theory of dynamic permeability and tortuosity in fluid-saturated porous media. J. Fluid Mech. 1987, 176, 379–402. [Google Scholar] [CrossRef]
- Champoux, Y.; Allard, J.F. Dynamic tortuosity and bulk modulus in air-saturated porous media. J. Appl. Phys. 1991, 70, 1975–1979. [Google Scholar] [CrossRef]
- Champoux, Y.; Stinson, M.R.; Daigle, G.A. Air-based system for the measurement of porosity. J. Acoust. Soc. Am. 1991, 89, 910–916. [Google Scholar] [CrossRef]
- Allard, J.F.; Champoux, Y. New empirical equations for sound propagation in rigid frame fibrous materials. J. Acoust. Soc. Am. 1992, 91, 3346–3353. [Google Scholar] [CrossRef]
- Champoux, Y.; Stinson, M.R. On acoustical models for sound propagation in rigid frame porous materials and the influence of shape factors. J. Acoust. Soc. Am. 1992, 92, 1120–1131. [Google Scholar] [CrossRef]
- Lafarge, D.; Allard, J.F.; Brouard, B.; Verhaegen, C.; Lauriks, W. Characteristic dimensions and prediction at high frequencies of the surface impedance of porous layers. J. Acoust. Soc. Am. 1993, 93, 2474–2478. [Google Scholar] [CrossRef]
- Lafarge, D.; Lemarinier, P.; Allard, J.F.; Tarnow, V. Dynamic compressibility of air in porous structures at audible frequencies. J. Acoust. Soc. Am. 1997, 102, 1995–2006. [Google Scholar] [CrossRef]
- Atalla, Y.; Panneton, R. Inverse acoustical characterization of open cell porous media using impedance tube measurements. Can. Acoust. 2005, 33, 11–24. [Google Scholar]
- Bonfiglio, P.; Pompoli, F. Inversion problems for determining physical parameters of porous materials: Overview and comparison between different methods. Acta Acust. United Acust. 2013, 99, 341–351. [Google Scholar] [CrossRef]
- Zhang, B.; Zhu, J. Inverse methods of determining the acoustical parameters of porous sound absorbing metallic materials. Proceedings of 22nd International Congress on Acoustics (ICA2016), Buenos Aires, Argentina, 5–9 September 2016. [Google Scholar]
- Berardi, U.; Iannace, G. Predicting the sound absorption of natural materials: Best-fit inverse laws for the acoustic impedance and the propagation constant. Appl. Acoust. 2017, 115, 131–138. [Google Scholar] [CrossRef]
- Chung, J.Y.; Blaser, D.A. Transfer function method of measuring in-duct acoustic properties. II. Experiment. J. Acoust. Soc. Am. 1998, 68, 914–921. [Google Scholar] [CrossRef]
- Chang, Y.C.; Yeh, L.J.; Chiu, M.C. Optimization of constrained composite absorbers using simulated annealing. Appl. Acoust. 2005, 66, 341–352. [Google Scholar] [CrossRef]
- Ruiz, H.; Cobo, P.; Jacobsen, F. Optimization of multiple-layer microperforated panels by simulated annealing. Appl. Acoust. 2011, 72, 772–776. [Google Scholar] [CrossRef]
- Li, D.; Chang, D.; Liu, B. Enhancing the low frequency sound absorption of a perforated panel by parallel-arranged extended tubes. Appl. Acoust. 2016, 102, 126–132. [Google Scholar] [CrossRef]
- Li, X.; Wu, Q.; Kang, L.; Liu, B. Design of Multiple Parallel-Arranged Perforated Panel Absorbers for Low Frequency Sound Absorption. Materials 2019, 12, 2099. [Google Scholar] [CrossRef]








| 3Å | 5Å | ||||
|---|---|---|---|---|---|
| Number | Pellet Size (mm) | Thickness (mm) | Number | Pellet Size (mm) | Thickness (mm) |
| #1 | 3–5 | 30 | #1 | 3–5 | 30 |
| #2 | 3–5 | 50 | #2 | 3–5 | 50 |
| #3 | 1.6–2.5 | 30 | #3 | 1.6–2.5 | 30 |
| #4 | 1.6–2.5 | 50 | #4 | 1.6–2.5 | 50 |
| 3Å | 5Å | ||||
|---|---|---|---|---|---|
| Number | Pellet Size (mm) | Thickness (mm) | Number | Pellet Size (mm) | Thickness (mm) |
| #1 | 3–5 | 20 | #1 | 1.6–2.5 | 20 |
| #2 | 3–5 | 30 | #2 | 1.6–2.5 | 30 |
| #3 | 3–5 | 40 | #3 | 1.6–2.5 | 40 |
| 5Å | |||||
|---|---|---|---|---|---|
| Number | Pellet Size (mm) | Thickness (mm) | Number | Pellet Size (mm) | Thickness (mm) |
| #11 | 0.4–0.8 | 30 | #21 | 0.4–0.8 | 50 |
| #12 | 1.6–2.5 | 30 | #22 | 1.6–2.5 | 50 |
| #13 | 3–5 | 30 | #23 | 3–5 | 50 |
| Sample | Pellet Size (mm) | Thickness (mm) | (Pa·s·m−2) | (%) | α∞ | (μm) | (μm) | ||
|---|---|---|---|---|---|---|---|---|---|
| 3Å | 3–5 | 40 | 4535 | 39.39 | 1.62 | 360.32 | 540.77 | 1 | 0.66 |
| 5Å | 1.6–2.5 | 50 | 4503 | 44.62 | 1.68 | 216.20 | 345.93 | 1.60 | 1 |
| 3Å | 5Å | ||||
|---|---|---|---|---|---|
| Number | Pellet Size (mm) | Thickness (mm) | Number | Pellet Size (mm) | Thickness (mm) |
| #1 | 3–5 | 20 | #3 | 1.6–2.5 | 30 |
| #2 | 3–5 | 50 | #4 | 1.6–2.5 | 40 |
© 2020 by the authors. Licensee MDPI, Basel, Switzerland. This article is an open access article distributed under the terms and conditions of the Creative Commons Attribution (CC BY) license (http://creativecommons.org/licenses/by/4.0/).
Share and Cite
Zhou, B.; Zhang, J.; Li, X.; Liu, B. An Investigation on the Sound Absorption Performance of Granular Molecular Sieves under Room Temperature and Pressure. Materials 2020, 13, 1936. https://doi.org/10.3390/ma13081936
Zhou B, Zhang J, Li X, Liu B. An Investigation on the Sound Absorption Performance of Granular Molecular Sieves under Room Temperature and Pressure. Materials. 2020; 13(8):1936. https://doi.org/10.3390/ma13081936
Chicago/Turabian StyleZhou, Bing, Jiangong Zhang, Xin Li, and Bilong Liu. 2020. "An Investigation on the Sound Absorption Performance of Granular Molecular Sieves under Room Temperature and Pressure" Materials 13, no. 8: 1936. https://doi.org/10.3390/ma13081936
APA StyleZhou, B., Zhang, J., Li, X., & Liu, B. (2020). An Investigation on the Sound Absorption Performance of Granular Molecular Sieves under Room Temperature and Pressure. Materials, 13(8), 1936. https://doi.org/10.3390/ma13081936
