The Effect of Synovial Fluid Composition, Speed and Load on Frictional Behaviour of Articular Cartilage
Abstract
1. Introduction
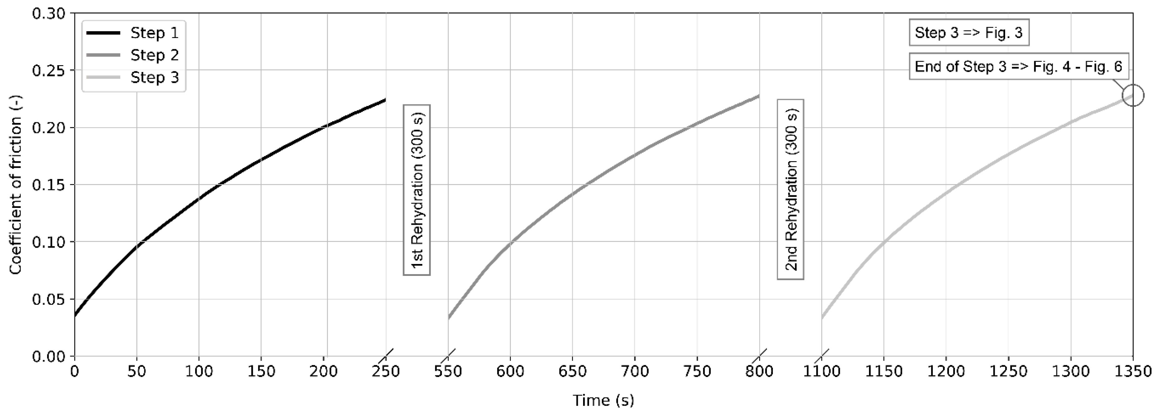
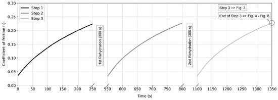
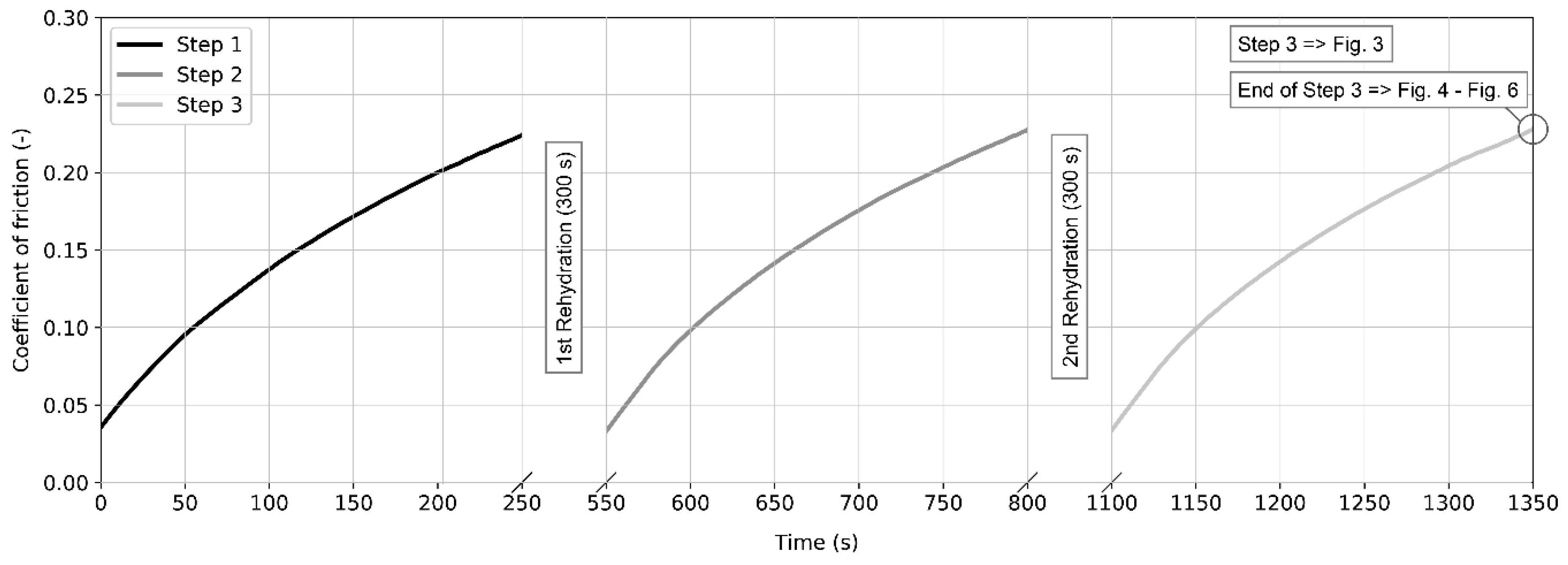
2. Material and Methods
3. Results
3.1. The Effect of Fluid Composition
3.2. The Effect of Concentration
3.3. The Effect of Speed
3.4. The Effect of Load
4. Discussion
5. Conclusion
- -
- Focusing on the differences in concentration of fluid constituents corresponding to physiologic and osteoarthritic synovial fluid, only a limited effect on friction was observed when protein-based lubricants were applied.
- -
- The lowest friction was generally observed for the mixture of γ-globulin, HA, and PHs, indicating the apparent role of interaction of the constituents. In addition, the importance of HA and PHs despite its lower concentration was demonstrated.
- -
- The effect of HA and PHs can be further discussed in relation to sliding speed. The results showed that these constituents lead to stabilized friction with a negligible speed effect.
- -
- An increased load led to lower friction, in general. This finding is in agreement with previous scientific observations.
- -
- Regarding the implication for biotribological testing of articular cartilage, the importance of the interaction of proteins with HA and PHs should be highlighted. Therefore, it is strongly recommended to employ complex model fluids when examining cartilage behaviour.
- -
- Further research should explore the role of transient kinematic and loading conditions, among other things [44]. In addition, the role of other constituents (e.g., lubricin) should be clarified, as it has been indicated in the literature that it may influence cartilage lubrication properties [25,26,45].
Author Contributions
Funding
Conflicts of Interest
References
- Hootman, J.M.; Helmick, C.G.; Barbour, K.; Theis, K.A.; Boring, M.A. Updated Projected Prevalence of Self-Reported Doctor-Diagnosed Arthritis and Arthritis-Attributable Activity Limitation Among US Adults, 2015–2040. Arthritis Rheumatol. 2016, 68, 1582–1587. [Google Scholar] [CrossRef] [PubMed]
- Kopec, J.; Sayre, E.C.; Schwartz, T.A.; Renner, J.B.; Helmick, C.G.; Badley, E.M.; Cibere, J.; Callahan, L.F.; Jordan, J.M. Occurrence of radiographic osteoarthritis of the knee and hip among African Americans and whites: A population-based prospective cohort study. Arthritis Care Res. 2013, 65, 928–935. [Google Scholar] [CrossRef] [PubMed]
- Yamamoto, M.; Chung, K.C. Joint Fusion and Arthroplasty in the Hand. Clin. Plast. Surg. 2019, 46, 479–488. [Google Scholar] [CrossRef] [PubMed]
- Haara, M.; Manninen, P.; Kröger, H.; Arokoski, J.; Kärkkäinen, A.; Knekt, P.; Aromaa, A.; Heliövaara, M. Osteoarthritis of finger joints in Finns aged 30 or over: Prevalence, determinants, and association with mortality. Ann. Rheum. Dis. 2003, 62, 151–158. [Google Scholar] [CrossRef]
- Australian Institute of Health and Welfare. Available online: https://www.aihw.gov.au/ (accessed on 10 January 2020).
- Lees, D.; Partington, P. Articular cartilage. Orthop. Trauma 2016, 30, 265–272. [Google Scholar] [CrossRef]
- Cherniakova, Y.M.; Pinchuk, L.S. Tribological aspects of joint intraaricular therapy. Acta Bioeng. Biomech. 2011, 13, 57. [Google Scholar]
- Colombo, F. Help Wanted? OECD Health Policy Studies; OECD: Paris, France, 2011; pp. 1–8. ISBN 9789264097582. [Google Scholar]
- Katta, J.; Pawaskar, S.S.; Jin, Z.; Ingham, E.; Fisher, J. Effect of load variation on the friction properties of articular cartilage. Proc. Inst. Mech. Eng. Part J J. Eng. Tribol. 2007, 221, 175–181. [Google Scholar] [CrossRef]
- Sakai, N.; Hagihara, Y.; Furusawa, T.; Hosoda, N.; Sawae, Y.; Murakami, T. Analysis of biphasic lubrication of articular cartilage loaded by cylindrical indenter. Tribol. Int. 2012, 46, 225–236. [Google Scholar] [CrossRef]
- Mow, V.C.; Kuei, S.C.; Lai, W.M.; Armstrong, C.G. Biphasic Creep and Stress Relaxation of Articular Cartilage in Compression: Theory and Experiments. J. Biomech. Eng. 1980, 102, 73–84. [Google Scholar] [CrossRef]
- Forster, H.; Fisher, J. The Influence of Loading Time and Lubricant on the Friction of Articular Cartilage. Proc. Inst. Mech. Eng. Part H J. Eng. Med. 1996, 210, 109–119. [Google Scholar] [CrossRef]
- Forster, H.; Fisher, J. The influence of continuous sliding and subsequent surface wear on the friction of articular cartilage. Proc. Inst. Mech. Eng. Part H J. Eng. Med. 1999, 213, 329–345. [Google Scholar] [CrossRef] [PubMed]
- Kienle, S.; Boettcher, K.; Wiegleb, L.; Urban, J.; Burgkart, R.H.; Lieleg, O.; Hugel, T. Comparison of friction and wear of articular cartilage on different length scales. J. Biomech. 2015, 48, 3052–3058. [Google Scholar] [CrossRef] [PubMed]
- Caligaris, M.; Ateshian, G.A. Effects of sustained interstitial fluid pressurization under migrating contact area, and boundary lubrication by synovial fluid, on cartilage friction. Osteoarthr. Cartil. 2008, 16, 1220–1227. [Google Scholar] [CrossRef] [PubMed]
- Bell, C.J.; Carrick, L.M.; Katta, J.; Jin, Z.; Ingham, E.; Aggeli, A.; Boden, N.; Waigh, T.A.; Fisher, J. Self-assembling peptides as injectable lubricants for osteoarthritis. J. Biomed. Mater. Res. Part A 2006, 78, 236–246. [Google Scholar] [CrossRef] [PubMed]
- Murakami, T.; Yarimitsu, S.; Nakashima, K.; Yamaguchi, T.; Sawae, Y.; Sakai, N.; Suzuki, A. Superior lubricity in articular cartilage and artificial hydrogel cartilage. Proc. Inst. Mech. Eng. Part J J. Eng. Tribol. 2014, 228, 1099–1111. [Google Scholar] [CrossRef]
- Nakashima, K.; Sawae, Y.; Murakami, T. Influence of protein conformation on frictional properties of poly (vinyl alcohol) hydrogel for artificial cartilage. Tribol. Lett. 2007, 26, 145–151. [Google Scholar] [CrossRef]
- Yarimitsu, S.; Nakashima, K.; Sawae, Y.; Murakami, T. Influences of lubricant composition on forming boundary film composed of synovia constituents. Tribol. Int. 2009, 42, 1615–1623. [Google Scholar] [CrossRef]
- A Hills, B.; Butler, B.D. Surfactants identified in synovial fluid and their ability to act as boundary lubricants. Ann. Rheum. Dis. 1984, 43, 641–648. [Google Scholar] [CrossRef]
- Bell, C.J.; Ingham, E.; Fisher, J. Influence of hyaluronic acid on the time-dependent friction response of articular cartilage under different conditions. Proc. Inst. Mech. Eng. Part H J. Eng. Med. 2006, 220, 23–31. [Google Scholar] [CrossRef]
- Forsey, R.W.; Fisher, J.; Thompson, J.; Stone, M.H.; Bell, C.; Ingham, E. The effect of hyaluronic acid and phospholipid based lubricants on friction within a human cartilage damage model. Biomaterials 2006, 27, 4581–4590. [Google Scholar] [CrossRef]
- Pickard, J.; Fisher, J.; Ingham, E.; Egan, J. Investigation into the effects of proteins and lipids on the frictional properties of articular cartilage. Biomaterials 1998, 19, 1807–1812. [Google Scholar] [CrossRef]
- Jay, G.D.; Torres, J.R.; Rhee, D.K.; Helminen, H.J.; Hytinnen, M.M.; Cha, C.-J.; Elsaid, K.A.; Kim, K.-S.; Cui, Y.; Warman, M.L. Association between friction and wear in diarthrodial joints lacking lubricin. Arthritis Rheum. 2007, 56, 3662–3669. [Google Scholar] [CrossRef] [PubMed]
- Ludwig, T.E.; Hunter, M.; Schmidt, T.A. Cartilage boundary lubrication synergism is mediated by hyaluronan concentration and PRG4 concentration and structure. BMC Musculoskelet. Disord. 2015, 16, 386. [Google Scholar] [CrossRef] [PubMed]
- Schmidt, T.A.; Gastelum, N.S.; Nguyen, Q.T.; Schumacher, B.L.; Sah, R.L. Boundary lubrication of articular cartilage: Role of synovial fluid constituents. Arthritis Rheum. 2007, 56, 882–891. [Google Scholar] [CrossRef]
- Nakashima, K.; Sawae, Y.; Murakami, T. Study on Wear Reduction Mechanisms of Artificial Cartilage by Synergistic Protein Boundary Film Formation. JSME Int. J. Ser. C 2005, 48, 555–561. [Google Scholar] [CrossRef]
- Murakami, T.; Yarimitsu, S.; Nakashima, K.; Sawae, Y.; Sakai, N. Influence of synovia constituents on tribological behaviors of articular cartilage. Friction 2013, 1, 150–162. [Google Scholar] [CrossRef]
- Yarimitsu, S.; Nakashima, K.; Sawae, Y.; Murakami, T. Influence of Phospholipid and Protein Constituents on Tribological Properties of Artificial Hydrogel Cartilage Material. J. Biomech. Sci. Eng. 2013, 8, 257–267. [Google Scholar] [CrossRef]
- Zhu, L.; Seror, J.; Day, A.; Kampf, N.; Klein, J. Ultra-low friction between boundary layers of hyaluronan-phosphatidylcholine complexes. Acta Biomater. 2017, 59, 283–292. [Google Scholar] [CrossRef]
- Seror, J.; Merkher, Y.; Kampf, N.; Collinson, L.; Day, A.; Maroudas, A.; Klein, J. Articular Cartilage Proteoglycans As Boundary Lubricants: Structure and Frictional Interaction of Surface-Attached Hyaluronan and Hyaluronan–Aggrecan Complexes. Biomacromolecules 2011, 12, 3432–3443. [Google Scholar] [CrossRef]
- Seror, J.; Zhu, L.; Goldberg, R.; Day, A.; Klein, J. Supramolecular synergy in the boundary lubrication of synovial joints. Nat. Commun. 2015, 6, 6497. [Google Scholar] [CrossRef]
- Stolz, M.; Raiteri, R.; Daniels, A.U.; VanLandingham, M.R.; Baschong, W.; Aebi, U. Dynamic Elastic Modulus of Porcine Articular Cartilage Determined at Two Different Levels of Tissue Organization by Indentation-Type Atomic Force Microscopy. Biophys. J. 2004, 86, 3269–3283. [Google Scholar] [CrossRef]
- Li, F.; Wang, A.; Wang, C. Analysis of friction between articular cartilage and polyvinyl alcohol hydrogel artificial cartilage. J. Mater. Sci. Mater. Electron. 2016, 27, 27. [Google Scholar] [CrossRef]
- Burris, D.L.; Moore, A. Cartilage and Joint Lubrication: New Insights Into the Role of Hydrodynamics. Biotribology 2017, 12, 8–14. [Google Scholar] [CrossRef]
- Galandakova, A.; Ulrichova, J.; Langová, K.; Hanáková, A.; Vrbka, M.; Hartl, M.; Gallo, J. Characteristics of synovial fluid required for optimization of lubrication fluid for biotribological experiments. J. Biomed. Mater. Res. Part B: Appl. Biomater. 2016, 105, 1422–1431. [Google Scholar] [CrossRef] [PubMed]
- Murakami, T.; Sawae, Y.; Nakashima, K.; Yarimitsu, S.; Sato, T. Micro- and nanoscopic biotribological behaviours in natural synovial joints and artificial joints. Proc. Inst. Mech. Eng. Part J J. Eng. Tribol. 2007, 221, 237–245. [Google Scholar] [CrossRef]
- Murakami, T.; Nakashima, K.; Yarimitsu, S.; Sawae, Y.; Sakai, N. Effectiveness of adsorbed film and gel layer in hydration lubrication as adaptive multimode lubrication mechanism for articular cartilage. Proc. Inst. Mech. Eng. Part J J. Eng. Tribol. 2011, 225, 1174–1185. [Google Scholar] [CrossRef]
- Walker, P.S.; Dowson, D.; Longfield, M.D.; Wright, V. Lubrication of human joints. Ann. Rheum. Dis. 1969, 28, 194. [Google Scholar] [CrossRef]
- Nečas, D.; Vrbka, M.; Urban, F.; Krupka, I.; Hartl, M. The effect of lubricant constituents on lubrication mechanisms in hip joint replacements. J. Mech. Behav. Biomed. Mater. 2016, 55, 295–307. [Google Scholar] [CrossRef]
- Nečas, D.; Vrbka, M.; Galandáková, A.; Křupka, I.; Hartl, M. On the observation of lubrication mechanisms within hip joint replacements. Part I: Hard-on-soft bearing pairs. J. Mech. Behav. Biomed. Mater. 2019, 89, 237–248. [Google Scholar] [CrossRef]
- Higaki, H.; Murakami, T.; Nakanishi, Y.; Miura, H.; Mawatari, T.; Iwamoto, Y. The lubricating ability of biomembrane models with dipalmitoyl phosphatidylcholine and γ-globulin. Proc. Inst. Mech. Eng. Part H J. Eng. Med. 1998, 212, 337–346. [Google Scholar] [CrossRef]
- Čípek, P.; Rebenda, D.; Nečas, D.; Vrbka, M.; Křupka, I.; Hartl, M. Visualization of Lubrication Film in Model of Synovial Joint. Tribol. Ind. 2019, 41, 387–393. [Google Scholar] [CrossRef]
- Myant, C.; Cann, P. The effect of transient conditions on synovial fluid protein aggregation lubrication. J. Mech. Behav. Biomed. Mater. 2014, 34, 349–357. [Google Scholar] [CrossRef] [PubMed]
- Mazzucco, D.; Spector, M. THE JOHN CHARNLEY AWARD PAPER: The Role of Joint Fluid in the Tribology of Total Joint Arthroplasty. Clin. Orthop. Relat. Res. 2004, 429, 17–32. [Google Scholar] [CrossRef] [PubMed]






| Model Fluid Constituents | |||||
|---|---|---|---|---|---|
| 1 | PBS | — | — | — | — |
| 2 | PBS | Albumin | — | — | — |
| 3 | PBS | — | γ-globulin | — | — |
| 4 | PBS | Albumin | γ-globulin | — | — |
| 5 | PBS | Albumin | — | Hyaluronic acid | — |
| 6 | PBS | — | γ-globulin | Hyaluronic acid | — |
| 7 | PBS | Albumin | γ-globulin | Hyaluronic acid | — |
| 8 | PBS | Albumin | — | — | Phospholipids |
| 9 | PBS | — | γ-globulin | — | Phospholipids |
| 10 | PBS | Albumin | γ-globulin | — | Phospholipids |
| 11 | PBS | Albumin | — | Hyaluronic acid | Phospholipids |
| 12 | PBS | — | γ-globulin | Hyaluronic acid | Phospholipids |
| 13 | PBS | Albumin | γ-globulin | Hyaluronic acid | Phospholipids |
| Constituents | Physiologic Concentration | Osteoarthritic Concentration |
|---|---|---|
| (mg/mL) | (mg/mL) | |
| Albumin | 20.00 | 24.90 |
| γ-globulin | 3.60 | 6.10 |
| Hyaluronic Acid | 2.50 | 1.49 |
| Phospholipids | 0.15 | 0.34 |
© 2020 by the authors. Licensee MDPI, Basel, Switzerland. This article is an open access article distributed under the terms and conditions of the Creative Commons Attribution (CC BY) license (http://creativecommons.org/licenses/by/4.0/).
Share and Cite
Furmann, D.; Nečas, D.; Rebenda, D.; Čípek, P.; Vrbka, M.; Křupka, I.; Hartl, M. The Effect of Synovial Fluid Composition, Speed and Load on Frictional Behaviour of Articular Cartilage. Materials 2020, 13, 1334. https://doi.org/10.3390/ma13061334
Furmann D, Nečas D, Rebenda D, Čípek P, Vrbka M, Křupka I, Hartl M. The Effect of Synovial Fluid Composition, Speed and Load on Frictional Behaviour of Articular Cartilage. Materials. 2020; 13(6):1334. https://doi.org/10.3390/ma13061334
Chicago/Turabian StyleFurmann, Denis, David Nečas, David Rebenda, Pavel Čípek, Martin Vrbka, Ivan Křupka, and Martin Hartl. 2020. "The Effect of Synovial Fluid Composition, Speed and Load on Frictional Behaviour of Articular Cartilage" Materials 13, no. 6: 1334. https://doi.org/10.3390/ma13061334
APA StyleFurmann, D., Nečas, D., Rebenda, D., Čípek, P., Vrbka, M., Křupka, I., & Hartl, M. (2020). The Effect of Synovial Fluid Composition, Speed and Load on Frictional Behaviour of Articular Cartilage. Materials, 13(6), 1334. https://doi.org/10.3390/ma13061334

